

Merhaba sevgili öğrencilerim,
Bugün sizlerle birlikte gönderdiğiniz görseldeki kareköklü ifadeler ve alan hesaplamaları ile ilgili soruları çözeceğiz. Her bir soruyu adım adım, tane tane anlatacağım. Anlamadığınız bir yer olursa hiç çekinmeyin, tekrar üzerinden geçeriz. Haydi başlayalım!
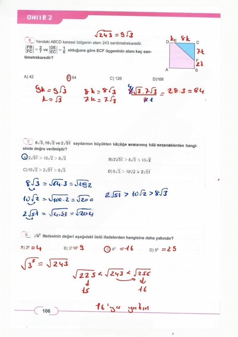
6. Soru: Yandaki ABCD karesel bölgesinin alanı 243 santimetrekaredir. |FB|/|FC| = 2/7 ve |DE|/|EC| = 1/8 olduğuna göre ECF üçgeninin alanı kaç santimetrekaredir?
Bu soruyu çözmek için önce karenin bir kenar uzunluğunu bulmalı, sonra da bu kenar uzunluğunu kullanarak bizden istenen üçgenin kenarlarını hesaplamalıyız. Hazır mısınız?
Çözüm:
- Adım 1: Karenin bir kenarını bulalım.
Bir karenin alanı, bir kenarının kendisiyle çarpımına, yani karesine eşittir. Alanı 243 cm² olan bir karenin bir kenar uzunluğunu bulmak için alanın karekökünü alırız.
Kenar = √243
243 sayısını a√b şeklinde yazalım. 243, 81 ile 3’ün çarpımıdır. 81 de 9’un karesidir.
√243 = √(81 x 3) = 9√3 cm.
Demek ki ABCD karesinin her bir kenarı 9√3 cm imiş.- Adım 2: ECF üçgeninin kenarlarını bulalım.
Soruda bize bazı oranlar verilmiş. Bu oranları kullanarak |FC| ve |EC| uzunluklarını bulacağız.
|FB|/|FC| = 2/7 oranı, BC kenarının toplam 2 + 7 = 9 eş parçaya ayrıldığını gösterir. |FC| bu parçalardan 7 tanesidir.
Karenin kenarı |BC| = 9√3 cm idi. O zaman:
|FC| = (7/9) * 9√3 = 7√3 cm olur.
Aynı şekilde |DE|/|EC| = 1/8 oranı da DC kenarının toplam 1 + 8 = 9 eş parçaya ayrıldığını gösterir. |EC| bu parçalardan 8 tanesidir.
Karenin kenarı |DC| = 9√3 cm idi. O zaman:
|EC| = (8/9) * 9√3 = 8√3 cm olur.- Adım 3: ECF üçgeninin alanını hesaplayalım.
ECF üçgeni, karenin C köşesinde olduğu için bir dik üçgendir. Dik üçgenin alanı, dik kenarlarının çarpımının yarısına eşittir.
Alan(ECF) = (|EC| * |FC|) / 2
Alan(ECF) = (8√3 * 7√3) / 2
Alan(ECF) = (56 * 3) / 2 (Unutmayın, √3 * √3 = 3 eder)
Alan(ECF) = 168 / 2
Alan(ECF) = 84 cm²Sonuç: 84 (Doğru seçenek B şıkkıdır.)
7. Soru: 8√3, 10√2 ve 2√51 sayılarının büyükten küçüğe sıralanmış hâli seçeneklerden hangisinde doğru verilmiştir?
Sevgili arkadaşlar, köklü sayıları sıralarken en kolay yöntem, katsayıları kökün içine almaktır. Bir sayıyı kökün içine alırken karesini alarak içeriye çarpan olarak yazarız. Hadi bu sayılara uygulayalım.
Çözüm:
- Adım 1: Tüm sayıların katsayılarını kök içine alalım.
8√3 = √(8² * 3) = √(64 * 3) = √192
10√2 = √(10² * 2) = √(100 * 2) = √200
2√51 = √(2² * 51) = √(4 * 51) = √204- Adım 2: Kök içindeki sayıları karşılaştıralım.
Artık elimizde √192, √200 ve √204 var. Kök içindeki sayısı büyük olan daha büyüktür.
204 > 200 > 192 olduğuna göre,
√204 > √200 > √192 olur.- Adım 3: Sayıları orijinal halleriyle sıralayalım.
Bulduğumuz sıralamayı sayıların ilk hallerine göre yazarsak:
2√51 > 10√2 > 8√3Bu sıralama A şıkkında verilmiştir.
Sonuç: 2√51 > 10√2 > 8√3 (Doğru seçenek A şıkkıdır.)
8. Soru: √3⁵ ifadesinin değeri aşağıdaki üslü ifadelerden hangisine daha yakındır?
Bu soruda hem köklü ifadeyi düzenlememiz hem de yaklaşık değerini bulmamız gerekiyor. En doğru sonuca ulaşmak için sayıların karelerini karşılaştırmak harika bir yöntemdir.
Çözüm:
- Adım 1: Verilen köklü ifadeyi düzenleyelim.
√3⁵ = √(3 * 3 * 3 * 3 * 3) = √(3⁴ * 3) = 3²√3 = 9√3- Adım 2: Karşılaştırma için sayıların karesini alalım.
Sorumuzdaki sayının karesi: (9√3)² = 9² * (√3)² = 81 * 3 = 243.
Şimdi şıklardaki sayıların değerlerini ve karelerini bulalım:
A) 2² = 4 => 4² = 16
B) 3² = 9 => 9² = 81
C) 4² = 16 => 16² = 256
D) 5² = 25 => 25² = 625- Adım 3: Kareleri karşılaştırarak en yakın olanı bulalım.
Bizim sayımızın karesi 243 idi. Şıklardaki sayıların kareleri ise 16, 81, 256 ve 625.
243’e en yakın olan hangisi? Tabii ki 256.
256, 16’nın karesiydi ve 16 da 4²’ye eşitti.Demek ki √3⁵ ifadesi, değeri 16 olan 4² ifadesine en yakındır.
Sonuç: 4² (Doğru seçenek C şıkkıdır.)
9. Soru: Yandaki şekilde kırmızı, mavi ve mor boyalı karesel bölgeler kenarları çakışacak şekilde birleştirilmiştir. Kırmızı boyalı karesel bölgeler eştir… Kırmızı boyalı karesel bölgelerin her birinin alanı 24 santimetrekare, A ile C noktaları arasındaki en kısa mesafe ise 9√6 santimetredir. Buna göre mavi boyalı karesel bölgenin alanı, mor boyalı karesel bölgenin alanından kaç santimetrekare fazladır?
Bu soru biraz uzun gibi görünse de aslında parçaları birleştirdiğimizde çok kolay! Adım adım ilerleyelim.
Çözüm:
- Adım 1: Kırmızı karenin bir kenarını bulalım.
Kırmızı karenin alanı 24 cm² ise bir kenarı √24 cm’dir.
√24 = √(4 * 6) = 2√6 cm.- Adım 2: Mor karenin bir kenarını bulalım.
A ile C arasındaki mesafe; bir kırmızı karenin kenarı, bir mor karenin kenarı ve diğer kırmızı karenin kenarının toplamına eşittir.
Mor karenin kenarına ‘b’ diyelim.
|AC| = (Kırmızı Kenar) + (Mor Kenar) + (Kırmızı Kenar)
9√6 = 2√6 + b + 2√6
9√6 = 4√6 + b
b = 9√6 – 4√6 = 5√6 cm. Mor karenin bir kenarı 5√6 cm imiş.- Adım 3: Mavi karenin bir kenarını bulalım.
Şekle dikkatli bakarsanız, mavi karenin bir kenarının A’dan C’ye kadar olan mesafeye eşit olduğunu görürsünüz. Yani mavi karenin bir kenarı 9√6 cm’dir.- Adım 4: Mavi ve mor karelerin alanlarını hesaplayalım.
Alan(Mavi) = (9√6)² = 9² * (√6)² = 81 * 6 = 486 cm².
Alan(Mor) = (5√6)² = 5² * (√6)² = 25 * 6 = 150 cm².- Adım 5: Alanlar arasındaki farkı bulalım.
Fark = Alan(Mavi) – Alan(Mor)
Fark = 486 – 150 = 336 cm².Sonuç: 336 (Doğru seçenek B şıkkıdır.)
10. Soru: √396 sayısının a√b biçiminde yazılmış hâli aşağıdakilerden hangisi olabilir?
Bir sayıyı a√b şeklinde yazmanın en garanti yolu, sayıyı asal çarpanlarına ayırmaktır. Çift olan çarpanlar kök dışına çıkar, tek kalanlar içeride kalır. Hadi yapalım!
Çözüm:
- Adım 1: 396 sayısını asal çarpanlarına ayıralım.
396 | 2
198 | 2
99 | 3
33 | 3
11 | 11
1Yani, 396 = 2 * 2 * 3 * 3 * 11 = 2² * 3² * 11
- Adım 2: Karekök içindeki ifadeyi düzenleyelim.
√396 = √(2² * 3² * 11)- Adım 3: Kök dışına çıkaralım.
Kök dışına çıkarken üsleri 2’ye bölünür. Yani 2² dışarıya 2 olarak, 3² de 3 olarak çıkar. 11 ise içeride kalır.
√396 = 2 * 3 * √11 = 6√11Şıklara baktığımızda D seçeneğinin 6√11 olduğunu görüyoruz.
Sonuç: 6√11 (Doğru seçenek D şıkkıdır.)
Umarım tüm çözümler anlaşılır olmuştur. Unutmayın, matematik bol bol pratik yaparak öğrenilir. Başarılar dilerim!
