

Merhaba sevgili öğrencilerim,
Bugün sizlerle birlikte 8. sınıf matematik konularımızı pekiştireceğimiz harika sorular çözeceğiz. Gönderdiğiniz görseldeki soruları tek tek, adım adım ve herkesin anlayacağı bir dille açıklayacağım. Kalemleriniz ve defterleriniz hazırsa, haydi başlayalım!
***
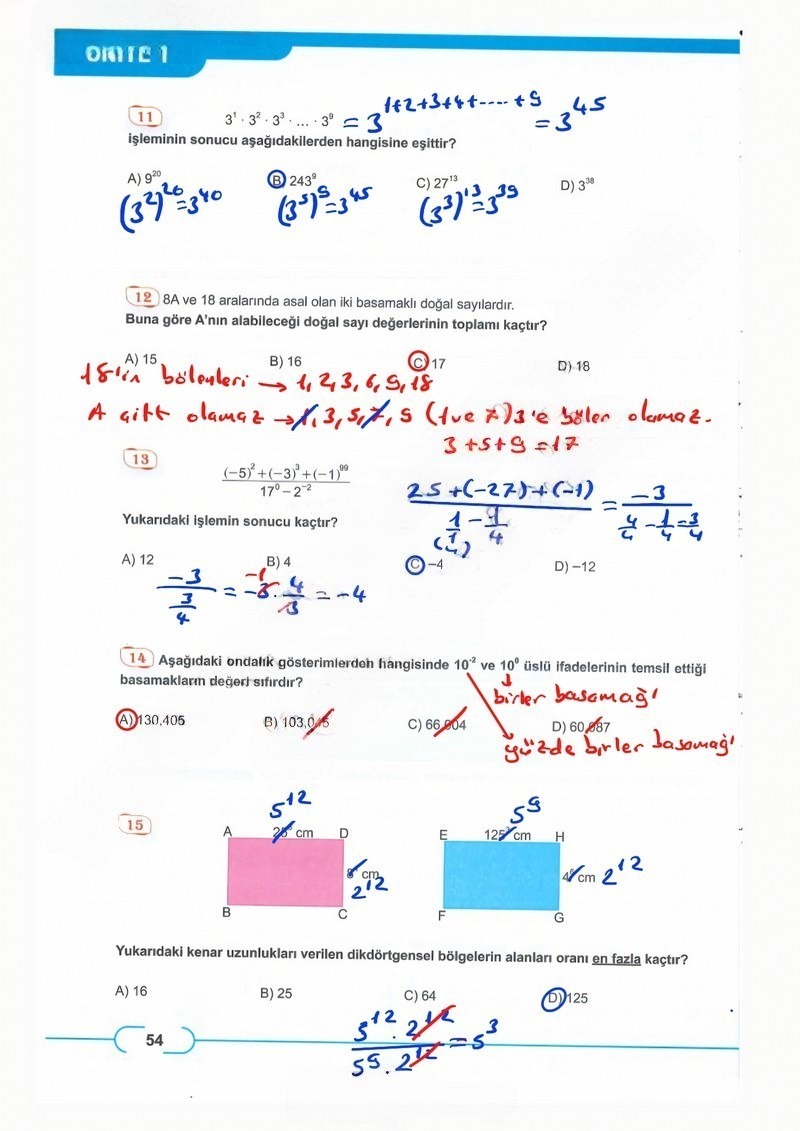
11. Soru: 31 · 32 · 33 · … · 39 işleminin sonucu aşağıdakilerden hangisine eşittir?
Sevgili arkadaşlar, bu soruda üslü sayılarda çarpma işleminin en temel kuralını hatırlamamız gerekiyor. Kuralımız neydi? “Tabanları aynı olan üslü sayılar çarpılırken üsler toplanır ve ortak tabana üs olarak yazılır.”
- Adım 1: Sorumuzdaki bütün sayıların tabanı 3. O zaman yapmamız gereken tek şey üsleri, yani 1’den 9’a kadar olan sayıları toplamak.
Üsler toplamı = 1 + 2 + 3 + 4 + 5 + 6 + 7 + 8 + 9 - Adım 2: Bu toplamı pratik yoldan yapabiliriz. 1’den n’e kadar olan sayıların toplamı formülü n·(n+1)/2 idi. Burada n=9 olduğu için;
Toplam = 9 · (9 + 1) / 2 = 9 · 10 / 2 = 90 / 2 = 45
Yani işlemimizin sonucu 345‘tir. - Adım 3: Şimdi şıklarda 345‘e eşit olan ifadeyi bulmalıyız. Bunun için şıklardaki sayıları da 3 tabanında yazalım.
- a) 920 = (32)20 = 32·20 = 340
- b) 2439 = (35)9 = 35·9 = 345
- c) 2713 = (33)13 = 33·13 = 339
- d) 338
Gördüğünüz gibi, doğru cevabımız B şıkkıdır.
Sonuç: B) 2439
***
12. Soru: 8A ve 18 aralarında asal olan iki basamaklı doğal sayılardır. Buna göre A’nın alabileceği doğal sayı değerlerinin toplamı kaçtır?
Çocuklar, “aralarında asal” ne demekti, bir hatırlayalım. İki sayının 1’den başka ortak böleni yoksa bu sayılar aralarında asaldır.
- Adım 1: Öncelikle 18 sayısının asal çarpanlarını bulalım. Bu bize çok yardımcı olacak.
18 = 2 · 9 = 2 · 32
Yani 18’in asal bölenleri 2 ve 3’tür. - Adım 2: 8A sayısının 18 ile aralarında asal olabilmesi için 18’in asal bölenlerine, yani 2’ye ve 3’e bölünmemesi gerekir.
- Adım 3: A yerine gelebilecek rakamları düşünelim ve 8A sayısının alabileceği değerleri yazalım: 80, 81, 82, 83, 84, 85, 86, 87, 88, 89.
- 2’ye bölünmemesi gerektiği için çift sayıları eleyelim:
80, 81,82, 83,84, 85,86, 87,88, 89. - Kalan sayılar: 81, 83, 85, 87, 89.
- Şimdi de 3’e bölünmemesi kuralını uygulayalım. Rakamları toplamı 3’ün katı olanları eleyeceğiz.
- 81 → 8 + 1 = 9 (3’ün katı, elendi)
- 83 → 8 + 3 = 11 (3’ün katı değil, olabilir)
- 85 → 8 + 5 = 13 (3’ün katı değil, olabilir)
- 87 → 8 + 7 = 15 (3’ün katı, elendi)
- 89 → 8 + 9 = 17 (3’ün katı değil, olabilir)
- 2’ye bölünmemesi gerektiği için çift sayıları eleyelim:
- Adım 4: Demek ki A yerine gelebilecek rakamlar 3, 5 ve 9‘muş. Soruda bizden bu değerlerin toplamını istiyor.
Toplam = 3 + 5 + 9 = 17
Doğru cevabımız C şıkkıdır. Harikasınız!
Sonuç: C) 17
***
13. Soru: Yukarıdaki işlemin sonucu kaçtır? ((-5)2 + (-3)3 + (-1)99) / (170 – 2-2)
Bu soruda üslü sayıların değerini bulma, negatif üs ve sıfırıncı kuvvet gibi birkaç kuralı bir arada kullanacağız. Sakin bir şekilde adım adım ilerleyelim.
- Adım 1: Önce kesrin pay (üst) kısmını hesaplayalım.
- (-5)2 = (-5)·(-5) = 25 (Unutmayın, negatif bir sayının çift kuvveti pozitiftir.)
- (-3)3 = (-3)·(-3)·(-3) = -27 (Negatif bir sayının tek kuvveti negatiftir.)
- (-1)99 = -1 ((-1)’in tek kuvvetleri her zaman -1’dir.)
- Payın toplamı: 25 + (-27) + (-1) = 25 – 27 – 1 = -2 – 1 = -3
- Adım 2: Şimdi de kesrin payda (alt) kısmını hesaplayalım.
- 170 = 1 (Sıfır hariç her sayının sıfırıncı kuvveti 1’dir.)
- 2-2 = 1 / 22 = 1/4 (Negatif üs, sayıyı ters çevir demektir.)
- Paydanın farkı: 1 – 1/4 = 4/4 – 1/4 = 3/4
- Adım 3: Son olarak, payı paydaya bölelim.
(-3) / (3/4)
Rasyonel sayılarda bölme yaparken birinci sayıyı aynen yazar, ikinci sayıyı ters çevirip çarparız.
= (-3) · (4/3) = -12 / 3 = -4
İşte bu kadar! Cevabımız C şıkkı.
Sonuç: C) -4
***
14. Soru: Aşağıdaki ondalık gösterimlerden hangisinde 102 ve 100 üslü ifadelerinin temsil ettiği basamakların değeri sıfırdır?
Bu soru, ondalık sayıların çözümlenmesi ve basamak değerleri ile ilgili. Önce basamakları temsil eden üslü ifadeleri hatırlayalım.
…, 103(Binler), 102(Yüzler), 101(Onlar), 100(Birler) , 10-1(Onda birler), …
Soru bizden, yüzler basamağında ve birler basamağında sıfır (0) rakamı olan sayıyı bulmamızı istiyor.
- Adım 1: Şıkları tek tek inceleyelim.
- a) 130.405 → Yüzler basamağında 4, birler basamağında 0 var. Bu değil.
- b) 103.045 → Yüzler basamağında 0, birler basamağında 3 var. Bu da değil.
- c) 66.004 → Yüzler basamağında 0, birler basamağında 6 var. Bu da istediğimiz değil.
- d) 60.087 → Yüzler basamağında 0, birler basamağında 0 var. İşte aradığımız sayı bu!
(Bir sayının yüzler basamağının olmaması, o basamağın değerinin 0 olduğu anlamına gelir.)
60,087 sayısının çözümlenmiş hali: 6·101 + 0·100 + 0·10-1 + 8·10-2 + 7·10-3
Ayrıca bu sayıyı 060,087 gibi düşündüğümüzde yüzler basamağında da 0 olduğunu görebiliriz.
Doğru cevap D seçeneğidir.
Sonuç: D) 60,087
***
15. Soru: Yukarıda kenar uzunlukları verilen dikdörtgen bölgelerin alanları oranı en fazla kaçtır?
“Oranın en fazla olması” demek, büyük alanı küçük alana bölmemiz gerektiği anlamına gelir. Önce her iki dikdörtgenin alanını da hesaplayalım ve sonra hangisinin daha büyük olduğuna karar verip oranlayalım.
- Adım 1: Pembe (ABCD) dikdörtgenin alanını bulalım.
AlanABCD = 256 · 84
İşlem yapmak için sayıları asal tabanlarına çevirelim: 25 = 52 ve 8 = 23.
AlanABCD = (52)6 · (23)4 = 512 · 212
Üsler aynı olduğu için tabanları çarpabiliriz: (5·2)12 = 1012 - Adım 2: Mavi (EFGH) dikdörtgenin alanını bulalım.
AlanEFGH = 1253 · 46
Yine sayıları asal tabanlarına çevirelim: 125 = 53 ve 4 = 22.
AlanEFGH = (53)3 · (22)6 = 59 · 212 - Adım 3: Alanları karşılaştıralım ve büyük olanı küçüğe bölelim.
AlanABCD = 512 · 212
AlanEFGH = 59 · 212
İki alanda da 212 çarpanı ortak. 512, 59‘dan daha büyük olduğu için pembe dikdörtgenin alanı daha büyüktür. - Adım 4: Oranı hesaplayalım.
Oran = (AlanABCD) / (AlanEFGH) = (512 · 212) / (59 · 212)
212‘ler birbirini götürür (sadeleşir). Geriye şu kalır:
Oran = 512 / 59
Tabanlar aynıysa bölme işleminde üsler çıkarılır: 512-9 = 53
53 = 5 · 5 · 5 = 125
Böylece en büyük oranı 125 olarak bulduk. Cevabımız D şıkkı.
Sonuç: D) 125
