

Harika bir çalışma! Merhaba sevgili öğrencim, gönderdiğin bu soruları senin için adım adım, tane tane çözeceğim. Kareköklü sayılar konusu başta biraz zorlayıcı gelebilir ama mantığını kavradığımızda ne kadar keyifli olduğunu göreceksin. Haydi başlayalım!
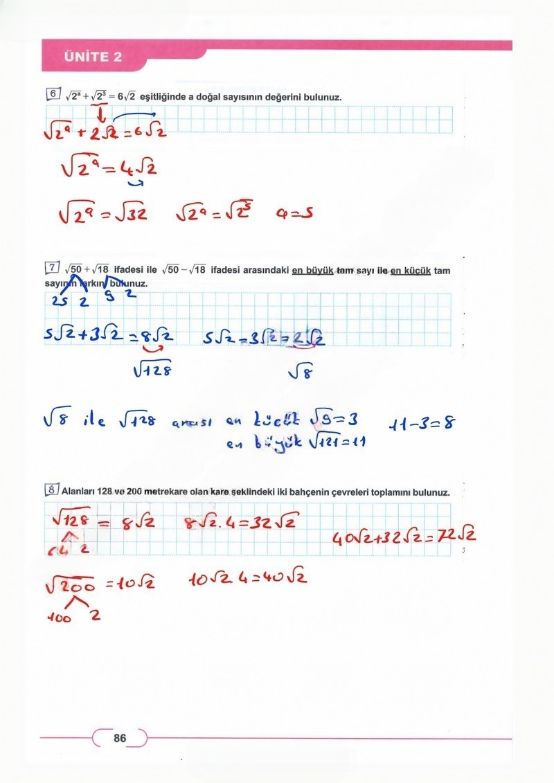
Soru 6: √2ᵃ + √2³ = 6√2 eşitliğinde a doğal sayısının değerini bulunuz.
Bu soruyu çözmek için elma ile armudu toplayamayacağımız gibi, kök içleri farklı olan sayıları da toplayamayız. Bu yüzden önce ifadeleri birbirine benzetmemiz gerekiyor. Haydi adım adım ilerleyelim.
- Adım 1: Eşitlikteki √2³ ifadesini düzenleyelim. 2³ demek 2’nin 3 kere kendisiyle çarpımıdır, yani 2x2x2 = 8’dir. O halde ifademiz √8 oldu. Şimdi √8’i a√b şeklinde yazalım. 8’i çarpanlarına ayırdığımızda 4×2 olduğunu görürüz. 4, tam kare bir sayıdır ve kök dışına 2 olarak çıkar.
√2³ = √8 = √(4 x 2) = 2√2 - Adım 2: Şimdi bulduğumuz bu değeri sorudaki eşitlikte yerine yazalım.
√2ᵃ + 2√2 = 6√2 - Adım 3: Bu bir denklem! Bilinmeyeni, yani √2ᵃ’yı yalnız bırakmak için 2√2’yi eşitliğin diğer tarafına atalım. Karşıya geçerken işareti değişir, biliyorsun.
√2ᵃ = 6√2 – 2√2
√2ᵃ = (6 – 2)√2
√2ᵃ = 4√2 - Adım 4: Eşitliğin sol tarafında kök içinde bir ifade varken, sağ tarafında hem katsayı hem de köklü bir ifade var. Karşılaştırma yapabilmek için sağ taraftaki katsayıyı (4’ü) kök içine alalım. Bir sayı kök içine girerken karesi alınarak girer.
4√2 = √(4² x 2) = √(16 x 2) = √32 - Adım 5: Şimdi eşitliğimiz son halini aldı.
√2ᵃ = √32
Bu durumda kök içleri de birbirine eşit olmalıdır. Yani, 2ᵃ = 32’dir. - Adım 6: “2’nin kaçıncı kuvveti 32’dir?” diye kendimize soralım. 2×2=4, 4×2=8, 8×2=16, 16×2=32. Gördüğün gibi 2’yi 5 defa kendisiyle çarptık.
Yani a = 5‘tir.
Sonuç: a = 5
Soru 7: √50 + √18 ifadesi ile √50 – √18 ifadesi arasındaki en büyük tam sayı ile en küçük tam sayının farkını bulunuz.
Bu soruda önce bize verilen iki ifadenin de yaklaşık değerlerini bulmamız gerekiyor. Sonra bu iki değer arasındaki tam sayıları düşüneceğiz.
- Adım 1: İfadeleri toplayıp çıkarabilmek için önce kökleri a√b şeklinde yazarak sadeleştirelim.
√50 = √(25 x 2) = 5√2
√18 = √(9 x 2) = 3√2 - Adım 2: Şimdi bu sadeleşmiş halleriyle birinci ifadeyi bulalım.
√50 + √18 = 5√2 + 3√2 = 8√2 - Adım 3: Aynı şekilde ikinci ifadeyi bulalım.
√50 – √18 = 5√2 – 3√2 = 2√2 - Adım 4: Şimdi bulduğumuz 2√2 ve 8√2 sayılarının hangi tam sayılar arasında olduğunu bulalım. Bunun için katsayıları tekrar kök içine alalım.
2√2 = √(2² x 2) = √(4 x 2) = √8
8√2 = √(8² x 2) = √(64 x 2) = √128
Yani bizden √8 ile √128 arasındaki tam sayıları bulmamız isteniyor. - Adım 5: √8’den büyük en küçük tam sayıyı bulalım. √4 = 2 ve √9 = 3 olduğuna göre, √8 sayısı 2 ile 3 arasındadır. Dolayısıyla √8’den büyük en küçük tam sayı3‘tür.
- Adım 6: √128’den küçük en büyük tam sayıyı bulalım. √121 = 11 ve √144 = 12 olduğuna göre, √128 sayısı 11 ile 12 arasındadır. Dolayısıyla √128’den küçük en büyük tam sayı11‘dir.
- Adım 7: Soru bizden bu iki tam sayının farkını istiyor.
11 – 3 = 8
Sonuç: 8
Soru 8: Alanları 128 ve 200 metrekare olan kare şeklindeki iki bahçenin çevreleri toplamını bulunuz.
Harika bir problem! Alan ve çevre arasındaki ilişkiyi hatırlayarak kolayca çözeceğiz. Unutma, bir karenin alanı bir kenarının karesidir. Çevresi ise bir kenar uzunluğunun 4 katıdır.
- Adım 1: Önce birinci bahçenin bir kenar uzunluğunu bulalım. Alanı 128 m² ise, bir kenarı bu sayının kareköküdür.
Birinci bahçenin kenarı = √128 metredir.
√128’i a√b şeklinde yazalım: √128 = √(64 x 2) = 8√2 m. - Adım 2: Şimdi de ikinci bahçenin bir kenar uzunluğunu bulalım. Alanı 200 m² ise, bir kenarı √200 metredir.
√200’ü de a√b şeklinde yazalım: √200 = √(100 x 2) = 10√2 m. - Adım 3: Kenar uzunluklarını bulduğumuza göre şimdi çevrelerini hesaplayabiliriz. Karenin çevresi 4 x (bir kenar uzunluğu) formülüyle bulunur.
Birinci bahçenin çevresi = 4 x 8√2 = 32√2 m.
İkinci bahçenin çevresi = 4 x 10√2 = 40√2 m. - Adım 4: Soru bizden bu iki çevrenin toplamını istiyor. Kök içleri aynı olduğu için katsayıları toplayabiliriz.
Toplam Çevre = 32√2 + 40√2 = (32 + 40)√2 = 72√2 m.
Sonuç: 72√2 metre
Soru 9: √12 + 2√12 + 3√12 + 4√12 toplamının √3 + 2√3 + 3√3 + 4√3 + 5√3 toplamından ne kadar fazla olduğunu bulunuz.
Bu soru, kareköklü sayılarda toplama ve çıkarma işlemini ne kadar iyi anladığını ölçüyor. “Ne kadar fazla” dendiğinde çıkarma yapmamız gerektiğini biliyoruz.
- Adım 1: Önce ilk toplamı hesaplayalım. Gördüğün gibi hepsinin kökü aynı (√12). Bu yüzden katsayıları toplayabiliriz. Unutma, √12’nin başında gizli bir 1 katsayısı vardır.
(1 + 2 + 3 + 4)√12 = 10√12 - Adım 2: Şimdi bu ifadeyi daha da sadeleştirelim. √12’yi a√b şeklinde yazabiliriz.
√12 = √(4 x 3) = 2√3
O halde ilk toplam: 10 x (2√3) = 20√3 - Adım 3: Şimdi ikinci toplamı hesaplayalım. Burada da tüm terimlerin kökü aynı (√3).
(1 + 2 + 3 + 4 + 5)√3 = 15√3 - Adım 4: Soru, birinci toplamın ikinci toplamdan ne kadar fazla olduğunu soruyor. Yani farklarını bulacağız.
20√3 – 15√3 = (20 – 15)√3 = 5√3
Sonuç: 5√3
Soru 10: Yukarıda kısa kenar uzunluğu √8 cm, uzun kenar uzunlukları sırasıyla √50 cm, √72 cm ve √98 cm olan paralelkenarlar verilmiştir. Bu paralelkenarlar sırasıyla 2, 3 ve 5 eş parçaya ayrılmış, birer parçaları Şekil 1’deki gibi kısa kenarları çakışacak şekilde birleştirilmiştir. Buna göre şekil 1’de verilen paralelkenarın çevresinin uzunluğunu santimetre cinsinden bulunuz.
Bu soru biraz uzun görünebilir ama adımlara ayırdığımızda ne kadar kolay olduğunu göreceksin. Sakin sakin ilerleyelim.
- Adım 1: Öncelikle soruda verilen tüm köklü ifadeleri a√b şeklinde yazarak işimizi kolaylaştıralım.
Kısa Kenar: √8 = √(4×2) = 2√2 cm
1. Uzun Kenar: √50 = √(25×2) = 5√2 cm
2. Uzun Kenar: √72 = √(36×2) = 6√2 cm
3. Uzun Kenar: √98 = √(49×2) = 7√2 cm - Adım 2: Şimdi bu paralelkenarların bölündüğü parçaların uzun kenarlarını hesaplayalım.
– Birinci paralelkenar (uzun kenarı 5√2) 2 parçaya bölünmüş. Bir parçanın uzun kenarı: (5√2) / 2 cm olur.
– İkinci paralelkenar (uzun kenarı 6√2) 3 parçaya bölünmüş. Bir parçanın uzun kenarı: (6√2) / 3 = 2√2 cm olur.
– Üçüncü paralelkenar (uzun kenarı 7√2) 5 parçaya bölünmüş. Bir parçanın uzun kenarı: (7√2) / 5 cm olur. - Adım 3: Şekil 1’de bu üç parça birleştirilerek yeni bir paralelkenar oluşturulmuş. Bu yeni paralelkenarın kenar uzunluklarını bulalım.
– Yeni Kısa Kenar: Parçaların kısa kenarları değişmedi, yani hala 2√2 cm.
– Yeni Uzun Kenar: Üç parçanın uzun kenarlarının toplamıdır.
Yeni Uzun Kenar = (5√2 / 2) + 2√2 + (7√2 / 5) - Adım 4: Bu toplama işlemini yapabilmek için paydaları eşitlememiz gerekiyor. Paydalarımız 2, 1 ve 5. Ortak payda 10’dur.
(5√2 / 2)(5) + (2√2 / 1)(10) + (7√2 / 5)(2)
= (25√2 / 10) + (20√2 / 10) + (14√2 / 10)
= (25 + 20 + 14)√2 / 10
= 59√2 / 10 cm. Bu bizim yeni uzun kenarımız. - Adım 5: Son olarak, yeni paralelkenarın çevresini hesaplayalım. Çevre = 2 x (kısa kenar + uzun kenar).
Çevre = 2 x ( 2√2 + 59√2 / 10 )
Parantez içindeki toplama için yine payda eşitleyelim.
Çevre = 2 x ( (20√2 / 10) + (59√2 / 10) )
Çevre = 2 x ( 79√2 / 10 )
Çevre = 158√2 / 10
Bu kesri 2 ile sadeleştirebiliriz.
Çevre = 79√2 / 5 cm
Sonuç: 79√2 / 5 cm
Umarım çözümler anlaşılır olmuştur. Gördüğün gibi, adım adım ilerleyince en zor görünen sorular bile çözülebiliyor. Anlamadığın bir yer olursa çekinmeden sorabilirsin. Başarılar dilerim
