

Merhaba sevgili öğrencim,
Harika bir alıştırma kağıdı! Üslü sayılar konusunu pekiştirmek için çok güzel sorular var. Gel, şimdi bu soruları birlikte, adım adım, tane tane çözelim. Tıpkı sınıfta yaptığımız gibi, her adımı anlayarak ilerleyeceğiz. Hazırsan, başlayalım!
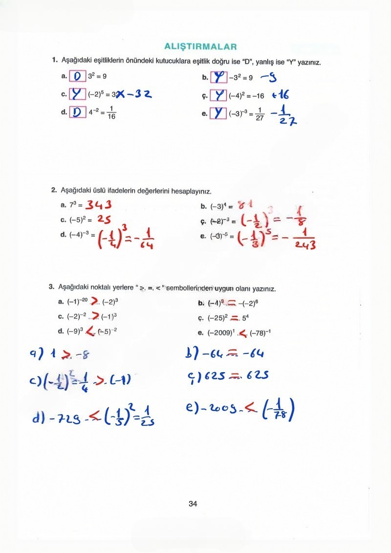
1. Aşağıdaki eşitliklerin önündeki kutucuklara eşitlik doğru ise “D”, yanlış ise “Y” yazınız.
Bu soruda üslü sayıların temel kurallarını hatırlamamız gerekiyor. Özellikle negatif sayıların ve parantezlerin üslerle olan ilişkisine dikkat edelim.
a. 3² = 9
Çözüm:
Adım 1: 3² ifadesi, 3 sayısının kendisiyle 2 kez çarpılması demektir.
Adım 2: 3 x 3 = 9.
Eşitlik doğrudur. Kutucuğa D yazmalıyız.
b. -3² = 9
Çözüm:
Adım 1: Burada dikkat etmen gereken çok önemli bir nokta var! Üs (yani 2), sadece dokunduğu sayıyı etkiler. Burada 2, sadece 3’ün üzerindedir, eksi işaretinin değil. Yani bu ifade “3’ün karesini al, sonra önüne eksi koy” demektir.
Adım 2: Önce 3² = 9 işlemini yaparız. Sonra başındaki eksiyi ekleriz: -9.
Sonuç -9 olmalıydı ama eşitlikte 9 yazıyor. Bu yüzden eşitlik yanlıştır. Kutucuğa Y yazmalıyız.
c. (-2)⁵ = 32
Çözüm:
Adım 1: Burada parantez var, yani üs (5), hem eksiyi hem de 2’yi etkiliyor. Unutma, negatif bir sayının tek kuvvetleri her zaman negatiftir.
Adım 2: 2⁵ = 2x2x2x2x2 = 32. İşaretimiz de negatif olacağı için sonuç -32’dir.
Eşitlikte 32 yazdığı için bu ifade yanlıştır. Kutucuğa Y yazmalıyız.
ç. (-4)² = -16
Çözüm:
Adım 1: Yine parantezli bir ifade. Üs (2), hem eksiyi hem de 4’ü etkiliyor. Kuralımızı hatırlayalım: negatif bir sayının çift kuvvetleri her zaman pozitiftir.
Adım 2: (-4) x (-4) = +16.
Eşitlikte -16 yazdığı için bu ifade yanlıştır. Kutucuğa Y yazmalıyız.
d. 4⁻² = 1/16
Çözüm:
Adım 1: Üssün negatif olması, bize tabandaki sayıyı “takla attırmamız” gerektiğini söyler. Yani sayıyı paydadan paydaya veya paydadan paya alırız. 4’ün altında gizli bir 1 vardır (4/1). Takla atınca 1/4 olur.
Adım 2: Takla attırdığımızda üssün işareti pozitife döner. Yani: 4⁻² = (1/4)².
Adım 3: (1/4)² = (1/4) x (1/4) = 1/16.
Eşitlik doğrudur. Kutucuğa D yazmalıyız.
e. (-3)⁻³ = 1/27
Çözüm:
Adım 1: Yine negatif üs var. Önce tabanı takla attıralım: (-3)⁻³ = (1 / -3)³.
Adım 2: Şimdi üssü hesaplayalım. (1 / -3)³ = (1/-3) x (1/-3) x (1/-3) = 1 / (-27). Bu da -1/27’ye eşittir.
Eşitlikte pozitif 1/27 yazdığı için bu ifade yanlıştır. Kutucuğa Y yazmalıyız.
2. Aşağıdaki üslü ifadelerin değerlerini hesaplayınız.
Haydi öğrendiklerimizi burada uygulayalım!
- a. 7³ = 7 x 7 x 7 = 49 x 7 = 343
- b. (-3)⁴ = Negatif sayının çift kuvveti pozitiftir. 3 x 3 x 3 x 3 = 81
- c. (-5)² = Negatif sayının çift kuvveti pozitiftir. 5 x 5 = 25
- ç. (-2)⁻³ = Negatif üs olduğu için takla attırırız: 1 / (-2)³. Negatif sayının tek kuvveti negatiftir: 1 / (-8) = -1/8
- d. (-4)⁻³ = Takla attıralım: 1 / (-4)³. Negatif sayının tek kuvveti negatiftir: 1 / (-64) = -1/64
- e. (-3)⁻⁵ = Takla attıralım: 1 / (-3)⁵. Negatif sayının tek kuvveti negatiftir: 1 / (-243) = -1/243
3. Aşağıdaki noktalı yerlere “>, =, <” sembollerinden uygun olanı yazınız.
Bu soruda sayıların değerlerini bulup karşılaştırma yapacağız. Pozitif sayıların her zaman negatif sayılardan büyük olduğunu unutma!
a. (-1)⁻²⁰ …… (-2)³
Adım 1: Sol tarafı hesaplayalım. (-1)’in çift kuvvetleri her zaman +1’dir. -20 çift bir sayı olduğu için (-1)⁻²⁰ = 1.
Adım 2: Sağ tarafı hesaplayalım. (-2)³ = -8.
Adım 3: 1, -8’den büyüktür. Yani 1 > -8.
Sonuç: >
b. (-4)³ …… -(-2)⁶
Adım 1: Sol taraf: (-4)³ = -64.
Adım 2: Sağ taraf: Önce parantez içi yapılır. (-2)⁶ = +64. Başındaki eksi ile birlikte -(+64) = -64 olur.
Adım 3: -64, -64’e eşittir.
Sonuç: =
c. (-2)⁻² …… (-1)³
Adım 1: Sol taraf: (-2)⁻² = 1 / (-2)² = 1/4.
Adım 2: Sağ taraf: (-1)³ = -1.
Adım 3: Pozitif bir sayı (1/4), negatif bir sayıdan (-1) her zaman büyüktür.
Sonuç: >
ç. (-25)² …… 5⁴
Adım 1: Sol taraf: (-25)² = 625. (Negatif sayının çift kuvveti pozitif)
Adım 2: Sağ taraf: 5⁴ = 5x5x5x5 = 625.
Adım 3: 625, 625’e eşittir.
Sonuç: =
d. (-9)³ …… (-5)⁻²
Adım 1: Sol taraf: (-9)³ = -729. (Negatif bir sayı)
Adım 2: Sağ taraf: (-5)⁻² = 1 / (-5)² = 1/25. (Pozitif bir sayı)
Adım 3: Negatif bir sayı, pozitif bir sayıdan her zaman küçüktür.
Sonuç: <
e. (-2009)¹ …… (-78)⁻¹
Adım 1: Sol taraf: (-2009)¹ = -2009.
Adım 2: Sağ taraf: (-78)⁻¹ = 1 / (-78) = -1/78. Bu sayı 0 ile -1 arasındadır.
Adım 3: Sayı doğrusunu düşün. -2009, sıfırdan çok daha uzaktadır. Bu yüzden -1/78’den çok daha küçüktür.
Sonuç: <
4. x = 2⁻³, y = (-3)⁴ ve z = 4⁻¹ olduğuna göre aşağıdaki ifadelerin değerlerini bulunuz.
Önce x, y ve z’nin değerlerini net bir şekilde bulalım, sonra yerlerine koyup işlemleri yapalım.
- x = 2⁻³ = 1 / 2³ = 1/8
- y = (-3)⁴ = 81
- z = 4⁻¹ = 1 / 4¹ = 1/4
a. x + y = 1/8 + 81 = 1/8 + 648/8 = 649/8
b. y – z = 81 – 1/4 = 324/4 – 1/4 = 323/4
c. x / y = (1/8) / 81 = (1/8) x (1/81) = 1/648
ç. x ⋅ y + z = (1/8) ⋅ 81 + 1/4 = 81/8 + 1/4 (Paydaları eşitleyelim) = 81/8 + 2/8 = 83/8
d. z / (x ⋅ y) = (1/4) / ((1/8) ⋅ 81) = (1/4) / (81/8) = (1/4) x (8/81) = 8/324 (Sadeleştirelim) = 2/81
5. Aşağıdaki işlemlerin sonuçlarını üslü ifadeler şeklinde yazınız.
Bu soruda da üslü sayılarda çarpma ve bölme kurallarını kullanacağız. Çok kolay!
- Çarpma Kuralı: Tabanlar aynı ise üsler toplanır.
- Bölme Kuralı: Tabanlar aynı ise üsler çıkarılır (payın üssünden paydanın üssü çıkarılır).
a. 5⁸ ⋅ 5⁷ = 5⁸⁺⁷ = 5¹⁵
b. 3³⁰ ⋅ 3⁻⁷ = 3³⁰⁺⁽⁻⁷⁾ = 3³⁰⁻⁷ = 3²³
c. 2¹⁹ ⋅ 2⁻¹¹ ⋅ 2¹³ = 2¹⁹⁻¹¹⁺¹³ = 2⁸⁺¹³ = 2²¹
ç. 3¹⁹ : 3¹¹ = 3¹⁹⁻¹¹ = 3⁸
d. 6²⁵ / 6¹³ = 6²⁵⁻¹³ = 6¹²
e. 10⁻¹⁶ : 10⁻¹¹ = 10⁻¹⁶⁻⁽⁻¹¹⁾ = 10⁻¹⁶⁺¹¹ = 10⁻⁵
Umarım tüm çözümler anlaşılır olmuştur. Gördüğün gibi kuralları bildiğimizde sorular ne kadar da kolaylaşıyor. Anlamadığın bir yer olursa çekinme, tekrar sorabilirsin. Başarılar dilerim!
