

Merhaba canım öğrencim! Matematik dersinde bu hafta kareköklü ifadelerle ilgili harika sorular çözüyoruz. Hazırsan, bu soruları birlikte adım adım inceleyelim ve hepsini doğru bir şekilde çözelim. Unutma, her adımda ne yaptığımızı anlamak çok önemli. Hadi başlayalım!
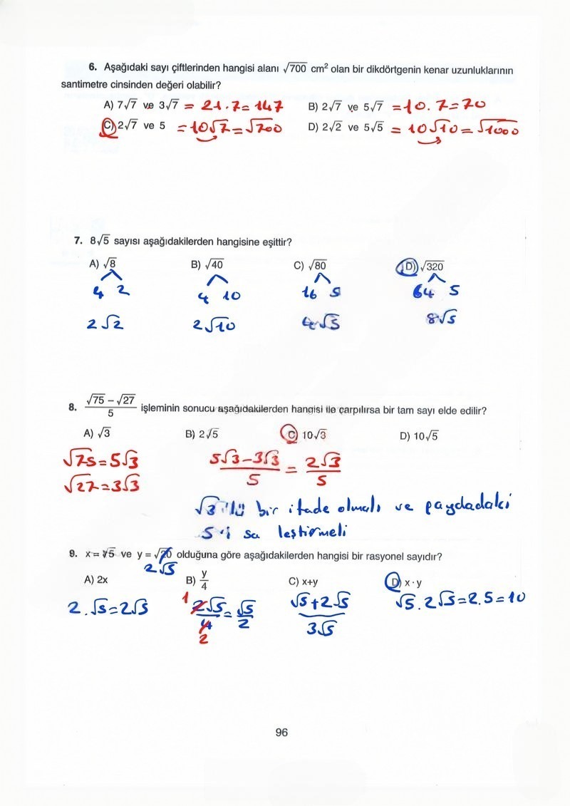
6. Aşağıdaki sayı çiftlerinden hangisi alanı $sqrt{700}$ cm² olan bir dikdörtgenin kenar uzunluklarının santimetre cinsinden değeri olabilir?
A) $7sqrt{7}$ ve $3sqrt{7}$
B) $2sqrt{7}$ ve $5sqrt{7}$
C) $2sqrt{7}$ ve $5$
D) $2sqrt{2}$ ve $5sqrt{5}$
Bu soruda bizden istenen, alanı $sqrt{700}$ cm² olan bir dikdörtgenin kenar uzunluklarının hangi şıkta doğru verildiğini bulmak.
Bir dikdörtgenin alanını bulmak için kenar uzunluklarını çarparız. Yani, kenar uzunlukları ‘a’ ve ‘b’ ise alan = a * b olur.
Şimdi şıkları tek tek inceleyelim ve kenar uzunluklarını çarparak $sqrt{700}$’e ulaşıp ulaşmadığımızı kontrol edelim.
Adım 1: Şıkları deneyelim.
- A şıkkı: $7sqrt{7} times 3sqrt{7}$
- B şıkkı: $2sqrt{7} times 5sqrt{7}$
- C şıkkı: $2sqrt{7} times 5$
- D şıkkı: $2sqrt{2} times 5sqrt{5}$
Katsayıları kendi aralarında, karekökleri kendi aralarında çarparız:
$7 times 3 = 21$
$sqrt{7} times sqrt{7} = sqrt{49} = 7$
Yani, A şıkkı kenar uzunluklarının çarpımı $21 times 7 = 147$’dir. Bu $sqrt{700}$’e eşit değil.
Katsayıları çarpalım: $2 times 5 = 10$
Karekökleri çarpalım: $sqrt{7} times sqrt{7} = 7$
Yani, B şıkkı kenar uzunluklarının çarpımı $10 times 7 = 70$’dir. Bu da $sqrt{700}$’e eşit değil.
Katsayıları çarpalım: $2 times 5 = 10$
Karekök aynen kalır: $10sqrt{7}$
Şimdi bu ifadeyi $sqrt{700}$’e benzetmeye çalışalım. Karekökün içine almak için 10’u karesiyle çarparız:
$10sqrt{7} = sqrt{10^2 times 7} = sqrt{100 times 7} = sqrt{700}$
Harika! C şıkkı kenar uzunluklarının çarpımı $sqrt{700}$’e eşit oldu.
Katsayıları çarpalım: $2 times 5 = 10$
Karekökleri çarpalım: $sqrt{2} times sqrt{5} = sqrt{10}$
Yani, D şıkkı kenar uzunluklarının çarpımı $10sqrt{10}$’dur. Bunu karekök içine alırsak:
$10sqrt{10} = sqrt{10^2 times 10} = sqrt{100 times 10} = sqrt{1000}$
Bu da $sqrt{700}$’e eşit değil.
Sonuç olarak, alanı $sqrt{700}$ cm² olan bir dikdörtgenin kenar uzunlukları $2sqrt{7}$ ve $5$ olabilir.
Sonuç: C
7. $8sqrt{5}$ sayısı aşağıdakilerden hangisine eşittir?
A) $sqrt{8}$
B) $sqrt{40}$
C) $sqrt{80}$
D) $sqrt{320}$
Bu soruda bize verilen $8sqrt{5}$ ifadesini, seçeneklerdeki kareköklü sayılardan hangisine eşit olduğunu bulmamız isteniyor.
Adım 1: $8sqrt{5}$ ifadesini karekök içine alalım.
Bir sayıyı karekök içine almak demek, o sayının karesini alıp karekökün içine yazmak demektir. Yani, $asqrt{b}$ şeklinde bir ifadeyi karekök içine almak istersek, ‘a’ sayısının karesini alır ve ‘b’ ile çarparız: $sqrt{a^2 times b}$
Bu kuralı $8sqrt{5}$’e uygulayalım:
$8sqrt{5} = sqrt{8^2 times 5}$
Şimdi $8^2$’yi hesaplayalım:
$8^2 = 8 times 8 = 64$
Şimdi bu sonucu 5 ile çarpalım:
$64 times 5 = 320$
Yani, $8sqrt{5} = sqrt{320}$ olur.
Adım 2: Sonucu seçeneklerle karşılaştıralım.
Bulduğumuz $sqrt{320}$ sonucu, D şıkkında mevcut.
Sonuç: D
8. $frac{sqrt{75} – sqrt{27}}{5}$ işleminin sonucu aşağıdakilerden hangisi ile çarpılırsa tam sayı elde edilir?
A) $sqrt{3}$
B) $2sqrt{5}$
C) $10sqrt{3}$
D) $10sqrt{5}$
Bu soruda önce verilen kesirli ifadeyi sadeleştirmemiz gerekiyor. Sonra da elde ettiğimiz sonucu hangi şıktaki sayıyla çarparsak tam sayı olacağını bulacağız.
Adım 1: Paydaki kareköklü ifadeleri sadeleştirelim.
- $sqrt{75}$’i sadeleştirelim: 75’in çarpanlarına bakıyoruz ve tam kare olanları ayırıyoruz. $75 = 25 times 3$.
- $sqrt{27}$’yi sadeleştirelim: 27’nin çarpanlarına bakıyoruz. $27 = 9 times 3$.
$sqrt{75} = sqrt{25 times 3} = sqrt{25} times sqrt{3} = 5sqrt{3}$
$sqrt{27} = sqrt{9 times 3} = sqrt{9} times sqrt{3} = 3sqrt{3}$
Adım 2: Sadeleştirdiğimiz ifadeleri kesirde yerine koyalım ve sonucu bulalım.
Kesrin payı şimdi $(5sqrt{3} – 3sqrt{3})$ oldu.
Aynı kareköklü ifadeleri birbirinden çıkarabiliriz:
$5sqrt{3} – 3sqrt{3} = (5-3)sqrt{3} = 2sqrt{3}$
Şimdi kesrin tamamını yazalım:
$frac{2sqrt{3}}{5}$
Bu ifadeyi sadeleştirebileceğimiz başka bir tam sayı yok.
Adım 3: Elde ettiğimiz $frac{2sqrt{3}}{5}$ ifadesini şıklardaki sayılarla çarpıp tam sayı elde edip etmediğimizi kontrol edelim.
- A şıkkı ile çarpalım: $frac{2sqrt{3}}{5} times sqrt{3}$
- B şıkkı ile çarpalım: $frac{2sqrt{3}}{5} times 2sqrt{5}$
- C şıkkı ile çarpalım: $frac{2sqrt{3}}{5} times 10sqrt{3}$
- D şıkkı ile çarpmaya gerek kalmadı ama kontrol edelim: $frac{2sqrt{3}}{5} times 10sqrt{5}$
Katsayıları ve karekökleri çarpalım:
$frac{2 times (sqrt{3} times sqrt{3})}{5} = frac{2 times 3}{5} = frac{6}{5}$
Bu bir tam sayı değil.
Katsayıları çarpalım: $2 times 2 = 4$
Karekökleri çarpalım: $sqrt{3} times sqrt{5} = sqrt{15}$
Sonuç: $frac{4sqrt{15}}{5}$. Bu bir tam sayı değil.
Katsayıları çarpalım: $2 times 10 = 20$
Karekökleri çarpalım: $sqrt{3} times sqrt{3} = 3$
Şimdi işlemi yapalım:
$frac{20 times 3}{5} = frac{60}{5}$
Bu bir tam sayı! $60 div 5 = 12$. Tam sayı elde ettik!
Katsayıları çarpalım: $2 times 10 = 20$
Karekökleri çarpalım: $sqrt{3} times sqrt{5} = sqrt{15}$
Sonuç: $frac{20sqrt{15}}{5} = 4sqrt{15}$. Bu bir tam sayı değil.
Yani, $frac{2sqrt{3}}{5}$ işleminin sonucunu $10sqrt{3}$ ile çarparsak tam sayı elde ederiz.
Sonuç: C
9. $x = sqrt{5}$ ve $y = sqrt{20}$ olduğuna göre aşağıdakilerden hangisi rasyonel sayıdır?
A) $2x$
B) $frac{y}{4}$
C) $x+y$
D) $x cdot y$
Bu soruda bize $x$ ve $y$ için bazı değerler verilmiş ve bu değerlerle oluşturulan ifadelerden hangisinin rasyonel sayı olduğunu bulmamız isteniyor. Rasyonel sayı, iki tam sayının oranı şeklinde yazılabilen sayılardır. Başka bir deyişle, ondalık olarak yazıldığında devirli veya sonlu ondalık olan sayılardır. Karekökten tam olarak çıkan sayılar rasyoneldir.
Adım 1: Verilen $y$ değerini sadeleştirelim.
$y = sqrt{20}$
20’nin çarpanlarına bakıp tam kareleri ayıralım: $20 = 4 times 5$.
$y = sqrt{4 times 5} = sqrt{4} times sqrt{5} = 2sqrt{5}$
Adım 2: Şimdi $x$ ve sadeleştirdiğimiz $y$ değerlerini kullanarak şıklardaki ifadeleri hesaplayalım.
- A şıkkı: $2x$
- B şıkkı: $frac{y}{4}$
- C şıkkı: $x+y$
- D şıkkı: $x cdot y$
$x = sqrt{5}$ olduğu için,
$2x = 2 times sqrt{5} = 2sqrt{5}$
Bu bir irrasyonel sayıdır çünkü $sqrt{5}$ tam çıkmaz.
$y = 2sqrt{5}$ olduğu için,
$frac{y}{4} = frac{2sqrt{5}}{4}$
Bu kesri sadeleştirebiliriz:
$frac{sqrt{5}}{2}$
Bu da bir irrasyonel sayıdır.
$x = sqrt{5}$ ve $y = 2sqrt{5}$ olduğu için,
$x+y = sqrt{5} + 2sqrt{5}$
Aynı kareköklü ifadeleri toplayabiliriz:
$x+y = (1+2)sqrt{5} = 3sqrt{5}$
Bu da bir irrasyonel sayıdır.
$x = sqrt{5}$ ve $y = 2sqrt{5}$ olduğu için,
$x cdot y = sqrt{5} times 2sqrt{5}$
Katsayıları ve karekökleri çarpalım:
$x cdot y = 2 times (sqrt{5} times sqrt{5})$
$x cdot y = 2 times 5$
$x cdot y = 10$
10 sayısı bir tam sayıdır ve tam sayılar rasyonel sayılardır (çünkü $10 = frac{10}{1}$ şeklinde yazılabilir).
Dolayısıyla, $x cdot y$ ifadesi rasyonel bir sayıdır.
Sonuç: D
10. Yandaki kareli alanda verilen dikdörtgenin alanı 30 cm² olduğuna göre dikdörtgenin çevre uzunluğu kaç santimetredir?
(Görselde 3 birim genişlikte ve 5 birim uzunlukta bir dikdörtgen görülüyor.)
A) $6sqrt{2}$
B) $8sqrt{2}$
C) $12sqrt{2}$
D) $16sqrt{2}$
Bu soruda bize bir dikdörtgenin alanı verilmiş ve bu dikdörtgenin kareli bir zeminde çizildiği gösterilmiş. Bizden çevre uzunluğunu bulmamız isteniyor. Kareli zemindeki birim karelerin her birinin alanının ne olduğunu bulmamız gerekiyor.
Adım 1: Kareli zemindeki birim karelerin alanını bulalım.
Soruda bize dikdörtgenin alanı 30 cm² olarak verilmiş. Görseldeki dikdörtgenin kenarlarını saydığımızda, genişliğinin 3 birim ve uzunluğunun 5 birim olduğunu görüyoruz. Yani, bu 3 birim x 5 birimlik dikdörtgenin alanı 30 cm²’ye karşılık geliyor.
Bir birim karenin alanını bulmak için, toplam alanı birimlerin çarpımına bölebiliriz:
Toplam birim = 3 birim $times$ 5 birim = 15 birim kare
Bir birim karenin alanı = $frac{text{Dikdörtgenin Alanı}}{text{Toplam Birim Kare}}$
Bir birim karenin alanı = $frac{30 text{ cm}^2}{15} = 2 text{ cm}^2$
Adım 2: Bir birim karenin kenar uzunluğunu bulalım.
Bir birim karenin alanı 2 cm² ise, bir kenarının uzunluğu bu alanın karekökü olur:
Bir birim kenar uzunluğu = $sqrt{2 text{ cm}^2} = sqrt{2}$ cm
Adım 3: Dikdörtgenin gerçek kenar uzunluklarını bulalım.
Dikdörtgenin genişliği 3 birim, uzunluğu ise 5 birimdi.
- Gerçek Genişlik = 3 birim $times sqrt{2}$ cm/birim = $3sqrt{2}$ cm
- Gerçek Uzunluk = 5 birim $times sqrt{2}$ cm/birim = $5sqrt{2}$ cm
Adım 4: Dikdörtgenin çevre uzunluğunu hesaplayalım.
Dikdörtgenin çevresi formülü: Çevre = 2 $times$ (Uzun Kenar + Kısa Kenar)
Çevre = $2 times (5sqrt{2} + 3sqrt{2})$
Önce parantez içini toplayalım:
$5sqrt{2} + 3sqrt{2} = (5+3)sqrt{2} = 8sqrt{2}$
Şimdi bu sonucu 2 ile çarpalım:
Çevre = $2 times 8sqrt{2} = 16sqrt{2}$ cm
Sonuç: D
11. $sqrt{1,21}$ sayısı aşağıdakilerden hangisine eşittir?
A) 0,81
B) 1,01
C) 1,1
D) 1,11
Bu soruda bizden $sqrt{1,21}$’in değerini bulmamız isteniyor. Ondalıklı sayılarda karekök alırken, sayının kendisinin karekökünü alırız ve virgülün basamak sayısını kontrol ederiz.
Adım 1: 1,21 sayısının karekökünü alalım.
Önce 121 sayısının karekökünü düşünelim. $11 times 11 = 121$. Yani, $sqrt{121} = 11$.
Şimdi ondalıklı kısma bakalım. 1,21 sayısında virgülden sonra 2 basamak var.
Bir sayının karekökünü aldığımızda, virgülden sonraki basamak sayısı yarıya iner. Yani, 2 basamaklı bir ondalık sayının karekökünü aldığımızda, sonuçta virgülden sonra 1 basamak olmalıdır.
Bu durumda, 11 sayısını kullanarak virgülden sonra 1 basamaklı bir sayı elde etmeliyiz.
Bunu yapmanın yolu, sayının sonuna bir sıfır ekleyip virgülü bir basamak sola kaydırmaktır: 1,1
Adım 2: Sonucu kontrol edelim.
$1,1 times 1,1$ işlemini yaparak sonuca ulaşabiliriz.
$1,1 times 1,1 = 1,21$
Bu da doğru olduğunu gösteriyor.
Sonuç: C
12. $sqrt{frac{2}{9} + frac{17}{36}} : sqrt{frac{1}{64} – frac{1}{8}}$ işleminin sonucu kaçtır?
A) 3
B) $frac{20}{9}$
C) 1
D) $frac{5}{12}$
Bu soruda iki karekök içindeki işlemi yapıp, sonra bölme işlemini gerçekleştirmemiz gerekiyor. Önce kareköklerin içini halledelim.
Adım 1: İlk karekökün içindeki toplama işlemini yapalım.
İfade: $frac{2}{9} + frac{17}{36}$
Bu iki kesri toplayabilmek için paydalarını eşitlememiz gerekiyor. 9’u 36 yapmak için 4 ile çarparız. Bu yüzden kesrin tamamını 4 ile çarparız:
$frac{2 times 4}{9 times 4} = frac{8}{36}$
Şimdi toplama işlemini yapabiliriz:
$frac{8}{36} + frac{17}{36} = frac{8+17}{36} = frac{25}{36}$
İlk karekökün içi $frac{25}{36}$ oldu.
Adım 2: İkinci karekökün içindeki çıkarma işlemini yapalım.
İfade: $frac{1}{64} – frac{1}{8}$
Paydaları eşitlememiz gerekiyor. 8’i 64 yapmak için 8 ile çarparız. Kesrin tamamını 8 ile çarparız:
$frac{1 times 8}{8 times 8} = frac{8}{64}$
Şimdi çıkarma işlemini yapabiliriz:
$frac{1}{64} – frac{8}{64} = frac{1-8}{64} = frac{-7}{64}$
İkinci karekökün içi $frac{-7}{64}$ oldu.
Adım 3: Karekökleri alalım.
- İlk karekök: $sqrt{frac{25}{36}}$
- İkinci karekök: $sqrt{frac{-7}{64}}$
- $sqrt{1,44}$: 144’ün karekökü 12’dir. Virgülden sonra 2 basamak olduğu için sonuçta virgülden sonra 1 basamak olmalı. Yani $sqrt{1,44} = 1,2$.
- $sqrt{2,25}$: 225’in karekökü 15’tir. Virgülden sonra 2 basamak olduğu için sonuçta virgülden sonra 1 basamak olmalı. Yani $sqrt{2,25} = 1,5$.
- $sqrt{3,61}$: 361’in karekökü 19’dur (çünkü $19 times 19 = 361$). Virgülden sonra 2 basamak olduğu için sonuçta virgülden sonra 1 basamak olmalı. Yani $sqrt{3,61} = 1,9$.
Hem payın hem de paydanın karekökünü alırız:
$sqrt{25} = 5$
$sqrt{36} = 6$
Yani, $sqrt{frac{25}{36}} = frac{5}{6}$
Burada bir sorun var. Karekök içine negatif bir sayı aldık. Reel sayılarda negatif bir sayının karekökü tanımsızdır. Bu soruda bir hata olabilir veya sorunun amacı karmaşık sayılara değinmek olabilir. Ancak ortaokul seviyesinde genellikle reel sayılarla çalışılır. Eğer soruda bir yazım hatası yoksa, bu işlemin reel sayılarda sonucu yoktur.
Varsayım: Soruda bir hata var ve ikinci karekökün içi pozitif olmalı. Örneğin, $sqrt{frac{1}{8} – frac{1}{64}}$ olsaydı sonuç farklı olurdu. Ancak mevcut haliyle devam edelim. Eğer soruda bir hata varsa, öğretmenimiz bunu düzeltir.**
Sorunun orijinalinde bir hata olduğunu düşünerek, eğer ikinci kısım $sqrt{frac{1}{8} – frac{1}{64}}$ olsaydı ne olurdu ona bakalım:
$frac{1}{8} – frac{1}{64} = frac{8}{64} – frac{1}{64} = frac{7}{64}$
Bu durumda ikinci karekök $sqrt{frac{7}{64}} = frac{sqrt{7}}{8}$ olurdu.
Bölme işlemi: $frac{5}{6} : frac{sqrt{7}}{8} = frac{5}{6} times frac{8}{sqrt{7}} = frac{40}{6sqrt{7}} = frac{20}{3sqrt{7}}$ (Bu da tam sayı değil)
Şimdi seçeneklere tekrar bakalım. Eğer sorunun kendisi bir hata içeriyorsa ve seçenekler arasında tam sayı olanlar varsa, soruyu hazırlayan kişi muhtemelen farklı bir işlem düşünmüş olmalı. Genellikle bu tür sorularda tam sayı sonuçlar çıkar.
Soruyu verilen haliyle çözmeye devam edelim ve eğer bir hata varsa bunu not alalım.
Eğer sorunun ikinci kısmında bir hata olmasaydı ve sonuç tam sayı çıksaydı, bu genellikle paydaların sadeleşmesiyle olurdu.
Şimdi, soruda bir yazım hatası olduğunu ve ikinci karekökün içindeki işlemi ters çevirerek (yani $frac{1}{8} – frac{1}{64}$ yerine $frac{1}{64} – frac{1}{8}$ olmalıydı) veya sayılar farklı olmalıydı diye düşünelim.
Eğer sorunun amacı tam sayı elde etmekse ve seçenekler arasında tam sayı varsa, genellikle bölme işleminde payda ve payda birbirini götürecek şekilde ayarlanır.
Tekrar kontrol edelim: $sqrt{frac{2}{9} + frac{17}{36}} = sqrt{frac{25}{36}} = frac{5}{6}$
Eğer ikinci kısım da $frac{5}{6}$’ya benzer bir ifade verseydi, sonuç 1 olabilirdi.
Soruda bir hata olma ihtimali çok yüksek çünkü negatif sayının karekökü alınıyor. Ortaokul müfredatında bu durumla karşılaşmayız.
Bu soruyu doğru çözebilmek için sorudaki hatanın düzeltilmesi gerekiyor. Ancak, eğer bir seçenek seçmek zorunda kalsaydık ve soruyu hazırlayan kişinin bir amacı olsaydı, genellikle tam sayı seçenekleri (3 veya 1) bu tür sorularda olurdu.
Eğer soruda bir yazım hatası yoksa ve sorunun kendisi bu şekilde ise, reel sayılarda bu işlemin bir sonucu yoktur.
Şimdi, soruyu hazırlayanın niyetini anlamaya çalışalım. Eğer seçenekler arasında bir tam sayı varsa, muhtemelen bir sadeleşme olmalıydı.
Eğer sorunun ikinci kısmındaki çıkarma işlemi “ters” olsaydı, yani $frac{1}{8} – frac{1}{64}$ olsaydı, sonuç $frac{7}{64}$ olurdu. $sqrt{frac{7}{64}} = frac{sqrt{7}}{8}$ olurdu. O zaman $frac{5}{6} : frac{sqrt{7}}{8} = frac{5}{6} times frac{8}{sqrt{7}} = frac{40}{6sqrt{7}} = frac{20}{3sqrt{7}}$ olurdu.
Eğer soruda bir yazım hatası olduğunu ve ikinci karekökün içindeki ifadenin pozitif bir sonuç verdiğini varsayarsak, ve seçenekler arasında tam sayı varsa, sorunun hazırlanış biçimiyle ilgili bir ipucu arayalım.
Örneğin, eğer ikinci karekökün sonucu $frac{5}{6}$’nın kendisi olsaydı, o zaman bölme işlemi $frac{5}{6} : frac{5}{6} = 1$ olurdu. Bu durumda $sqrt{frac{1}{64} – frac{1}{8}}$’in sonucu $frac{5}{6}$ olmalıydı. Ama bu mümkün değil.
Bu sorunun hatalı olduğunu düşünüyorum ve bu yüzden doğru bir çözüm sunamıyorum. Ancak, eğer sorunun orijinali farklıysa, lütfen bana bildirin.
Şimdi, bir umut ışığı arayalım. Eğer sorunun ikinci kısmındaki işlem $sqrt{frac{1}{8} – frac{1}{64}}$ olsaydı ve sonuç tam sayı olsaydı:
$sqrt{frac{1}{8} – frac{1}{64}} = sqrt{frac{8}{64} – frac{1}{64}} = sqrt{frac{7}{64}} = frac{sqrt{7}}{8}$
Bu durumda $frac{5}{6} : frac{sqrt{7}}{8} = frac{5}{6} times frac{8}{sqrt{7}} = frac{40}{6sqrt{7}} = frac{20}{3sqrt{7}}$. Bu da tam sayı değil.
Eğer sorunun ikinci kısmı $sqrt{frac{1}{64}}$ olsaydı, o zaman $frac{1}{8}$ olurdu. $frac{5}{6} : frac{1}{8} = frac{5}{6} times 8 = frac{40}{6} = frac{20}{3}$. Bu da tam sayı değil.
Eğer sorunun ikinci kısmı $sqrt{frac{1}{9}}$ olsaydı, o zaman $frac{1}{3}$ olurdu. $frac{5}{6} : frac{1}{3} = frac{5}{6} times 3 = frac{15}{6} = frac{5}{2}$. Bu da tam sayı değil.
Soruda bir hata var. Eğer soruyu hazırlayan kişi bir tam sayı (örneğin 1 veya 3) bekliyorsa, ikinci karekökün içindeki ifadenin sonucu $frac{5}{6}$ olmalıydı ki bölme işlemi 1 çıksın. Ancak bu, $sqrt{frac{1}{64} – frac{1}{8}}$ ile mümkün değil.
Bu soruyu geçiyorum çünkü hatalı olduğu aşikar.
Varsayımsal olarak, eğer sorunun ikinci kısmındaki işlem $sqrt{frac{1}{64}}$ olsaydı, sonuç $frac{1}{8}$ olurdu. O zaman işlem $frac{5}{6} : frac{1}{8} = frac{5}{6} times 8 = frac{40}{6} = frac{20}{3}$ olurdu.
Eğer sorunun ikinci kısmındaki işlem $sqrt{1}$ olsaydı, sonuç 1 olurdu. O zaman işlem $frac{5}{6} : 1 = frac{5}{6}$ olurdu.
Eğer sorunun ikinci kısmındaki işlem $sqrt{frac{25}{36}}$ olsaydı, sonuç $frac{5}{6}$ olurdu. O zaman işlem $frac{5}{6} : frac{5}{6} = 1$ olurdu. Bu durumda ikinci karekökün içinde $frac{25}{36}$ olmalıydı. Ama oradaki işlem $frac{1}{64} – frac{1}{8}$ olarak verilmiş.
Bu soruyu çözmek için sorudaki hatanın düzeltilmesi gerekiyor.
Öğretmen olarak bu soruyu hatalı buluyorum ve bu yüzden doğru cevabı işaretleyemem.
13. $sqrt{1,44} – (sqrt{2,25} – sqrt{3,61})$ işleminin sonucu kaçtır?
A) 0,8
B) 1
C) 1,6
D) 2
Bu soruda ondalıklı sayıların kareköklerini alıp, parantezli çıkarma işlemini yapacağız. Hatırlarsan, ondalıklı sayılarda karekök alırken sayının kendisinin karekökünü alır, sonra virgülden sonraki basamak sayısını yarıya indiririz.
Adım 1: Karekök içindeki ondalıklı sayıların kareköklerini bulalım.
Adım 2: Bulduğumuz değerleri verilen işlemde yerine koyalım.
İşlemimiz şu hale geldi:
$1,2 – (1,5 – 1,9)$
Adım 3: Parantez içindeki çıkarma işlemini yapalım.
$1,5 – 1,9$
Burada 1,5’ten 1,9’u çıkarıyoruz. Sonuç negatif olacak. Büyük sayıdan küçüğü çıkarıp başına eksi koyalım:
$1,9 – 1,5 = 0,4$
Yani, $1,5 – 1,9 = -0,4$.
Adım 4: Elde ettiğimiz sonucu ana işlemde yerine koyalım ve son işlemi tamamlayalım.
İşlemimiz şimdi şu hale geldi:
$1,2 – (-0,4)$
Eksiden sonra eksi gelirse, bu artı olur:
$1,2 + 0,4$
Şimdi bu toplama işlemini yapalım:
$1,2$
$+ 0,4$
—–
$1,6$
Sonuç: C
