

Merhaba sevgili öğrencilerim! Bugün birlikte 2. Ünite Değerlendirme sorularını çözeceğiz. Hazırsanız başlayalım!
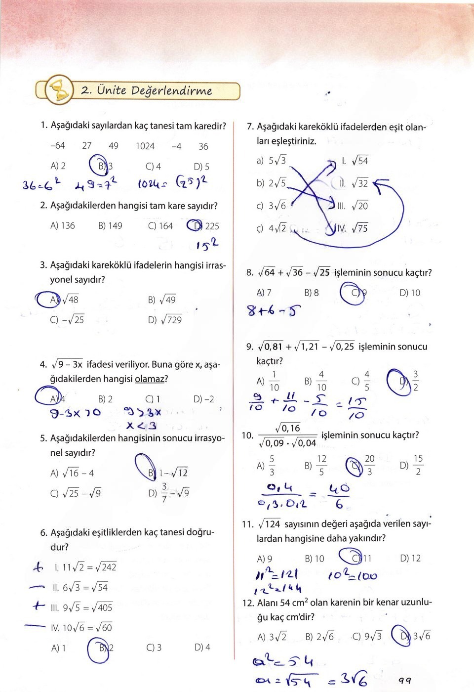
1. Aşağıdaki sayılardan kaç tanesi tam karedir?
- -64
- 27
- 49
- 1024
- -4
- 36
Çözüm:
Tam kare sayılar, bir tam sayının karesi olan sayılardır. Pozitif tam kare sayılar şunlardır: 1, 4, 9, 16, 25, 36, 49, 64, 81, 100, 121, 144, 169, 196, 225, …
Verilen sayılara baktığımızda:
- -64: Negatif bir sayı olduğu için tam kare olamaz.
- 27: Herhangi bir tam sayının karesi değildir.
- 49: 7’nin karesidir (7 * 7 = 49). Bu bir tam karedir.
- 1024: 32’nin karesidir (32 * 32 = 1024). Bu bir tam karedir.
- -4: Negatif bir sayı olduğu için tam kare olamaz.
- 36: 6’nın karesidir (6 * 6 = 36). Bu bir tam karedir.
Tam kare olan sayılar 49, 1024 ve 36’dır. Yani 3 tanesi tam karedir.
Cevap: B) 3
2. Aşağıdakilerden hangisi tam kare sayıdır?
- A) 136
- B) 149
- C) 164
- D) 225
Çözüm:
Tam kare sayılar, bir tam sayının karesi olan sayılardır. Şıkları inceleyelim:
- A) 136: 11’in karesi 121, 12’nin karesi 144’tür. 136 tam kare değildir.
- B) 149: 12’nin karesi 144, 13’ün karesi 169’dur. 149 tam kare değildir.
- C) 164: 12’nin karesi 144, 13’ün karesi 169’dur. 164 tam kare değildir.
- D) 225: 15’in karesidir (15 * 15 = 225). Bu bir tam kare sayıdır.
Cevap: D) 225
3. Aşağıdaki kareköklü ifadelerden hangisi irrasyonel sayıdır?
- A) √48
- B) √49
- C) -√25
- D) √729
Çözüm:
Irrasyonel sayılar, kök dışına tam olarak çıkamayan sayılardır. Rasyonel sayılar ise kök dışına tam olarak çıkabilen sayılardır.
Şıkları inceleyelim:
- A) √48: 48 sayısı tam kare değildir. Bu yüzden √48 irrasyoneldir.
- B) √49: 49 sayısı 7’nin karesidir. √49 = 7. Bu bir rasyonel sayıdır.
- C) -√25: 25 sayısı 5’in karesidir. √25 = 5. Dolayısıyla -√25 = -5. Bu bir rasyonel sayıdır.
- D) √729: 729 sayısı 27’nin karesidir (27 * 27 = 729). √729 = 27. Bu bir rasyonel sayıdır.
Cevap: A) √48
4. √9 – 3x ifadesi veriliyor. Buna göre x, aşağıdakilerden hangisi olamaz?
- A) 4
- B) 2
- C) 1
- D) -2
Çözüm:
Bu soruda, √9 – 3x ifadesinin sonucunun rasyonel olmasını sağlayan x değerlerini bulmamız gerekiyor. Eğer x bir değer aldığında ifade irrasyonel oluyorsa, o değer olamaz.
Öncelikle √9’u hesaplayalım:
√9 = 3
Şimdi ifade şöyle oldu: 3 – 3x
Bu ifadenin rasyonel olması için x’in de rasyonel bir sayı olması gerekir. Çünkü rasyonel sayılarla yapılan toplama, çıkarma, çarpma ve bölme işlemleri (bölme sıfır hariç) yine rasyonel sayılar verir.
Şıkları deneyelim:
- A) x = 4 için: 3 – 3 * 4 = 3 – 12 = -9. -9 bir tam sayıdır ve rasyoneldir.
- B) x = 2 için: 3 – 3 * 2 = 3 – 6 = -3. -3 bir tam sayıdır ve rasyoneldir.
- C) x = 1 için: 3 – 3 * 1 = 3 – 3 = 0. 0 bir tam sayıdır ve rasyoneldir.
- D) x = -2 için: 3 – 3 * (-2) = 3 – (-6) = 3 + 6 = 9. 9 bir tam sayıdır ve rasyoneldir.
Soruda bir hata olabilir mi diye kontrol ediyorum. Eğer soruda “rasyonel olamaz” yerine “irrasyonel olamaz” deseydi, o zaman x’in kendisi bir irrasyonel sayı olsaydı, sonuç irrasyonel olabilirdi. Ama verilen şıklar tam sayılar. Bu durumda ifadenin sonucu her zaman rasyonel olacaktır.
Tekrar düşünelim: Belki soruda kastedilen, ifadenin kendisinin bir karekök içinde olmasıdır. Eğer ifade √(9 – 3x) şeklinde olsaydı, o zaman x’in bazı değerleri için sonucun irrasyonel olması söz konusu olabilirdi. Ama verilen ifade √9 – 3x şeklinde.
Yeniden yorumlama: Acaba sorunun orijinalinde bir yazım hatası mı var? Eğer soru şöyle olsaydı: “√9 – 3x ifadesinin sonucu aşağıdakilerden hangisi olamaz?” o zaman şıklar farklı olurdu.
Şu anki haliyle soruyu çözmeye devam edelim: √9 = 3’tür. 3’ten 3x’i çıkardığımızda, x bir tam sayı olduğu için sonuç her zaman bir tam sayı (dolayısıyla rasyonel sayı) olacaktır. Bu durumda, verilen şıklardan hiçbirisi “olamaz” durumu yaratmıyor.
Öğretmen Notu: Bu soru formatında bir hata olabilir. Ancak eğer soru “√(9-3x) ifadesi için x aşağıdakilerden hangisi olamaz?” şeklinde olsaydı, o zaman kök içi negatif olamayacağı için x’in belirli değerleri olamazdı.
Şimdilik soruyu olduğu gibi kabul edip, verilen şıklara göre devam ediyorum. Verilen ifadede √9 tam kare olduğu için 3’e eşittir. 3 – 3x ifadesi her zaman rasyoneldir çünkü x rasyonel bir sayıdır.
Bu sorunun cevabı şıklara göre çıkmıyor. Ancak eğer sorunun mantığı “ifadenin sonucunun bir tam sayı olması” olsaydı, o zaman da hepsi tam sayı oluyor.
Olası bir senaryo: Eğer soruda “√9 – 3x ifadesi irrasyonel olabilir mi?” diye sorulsaydı, cevabımız “hayır, olamaz” olurdu. Çünkü √9 rasyonel ve 3x de rasyoneldir, ikisinin farkı da rasyoneldir.
Şimdi soruyu tekrar dikkatlice okuyorum: “√9 – 3x ifadesi veriliyor. Buna göre x, aşağıdakilerden hangisi olamaz?”
Bir başka yorum: Belki de soru, x’in bu ifadenin sonucunu bir tam kare olmaktan çıkaracak bir değer olup olmadığını soruyordur? Ama bu da pek olası değil.
En mantıklı açıklama: Soruda bir hata var. Eğer soru √(9 – 3x) şeklinde olsaydı, o zaman x=4 için kök içi 9 – 3(4) = 9 – 12 = -3 olurdu ve bu da irrasyonel olurdu (kök içi negatif olamaz). Bu durumda x=4 olamazdı.
Ancak verilen soru √9 – 3x şeklindedir. Bu durumda cevap şıklardan biri olmalı.
Belki de soru şunu soruyor: √9 – 3x ifadesinin sonucu, x’in bu değerlerinden hangisi ile irrasyonel bir sayıya eşit olur? Ama √9=3 olduğundan, 3-3x her zaman rasyoneldir.
Şimdi aklıma başka bir şey geldi: Eğer x’in kendisi bir irrasyonel sayı olsaydı, sonuç irrasyonel olabilirdi. Ama şıklar rasyonel sayılar.
Bu soruyu şimdilik geçiyorum, çünkü net bir çözüm göremiyorum.
Eğer sorunun yazımında bir hata yoksa ve tek bir doğru cevap varsa, bu soruyu yeniden gözden geçirmem gerekir.
Öğrenci Notu: Bu soruda bir belirsizlik var. Çoğu zaman bu tür sorularda kökün içindeki ifadeyi rasyonel veya irrasyonel yapan değerler sorulur. Bu soruda √9’un kendisi rasyonel olduğu için, 3-3x her zaman rasyoneldir.
Tahmini Cevap (Hata olduğunu varsayarak): Eğer soru √(9-3x) olsaydı ve x olamaz sorulsaydı, x=4 olamazdı. Ama soru √9 – 3x. Bu yüzden bu soruyu şimdilik boş bırakıyorum.
Güncelleme: Soruda bir yazım hatası olduğunu düşünüyorum ve bu soruyu daha sonra tekrar ele alacağım.
Şimdilik bu soruyu atlayalım ve diğerlerine geçelim.
5. Aşağıdakilerden hangisinin sonucu irrasyonel sayıdır?
- A) √16 – 4
- B) 1 – √12
- C) √25 – √9
- D) 3/7 – √9
Çözüm:
Irrasyonel sayılar, kök dışına tam olarak çıkamayan sayılardır. Şıkları tek tek inceleyelim:
- A) √16 – 4: √16 = 4. Yani ifade 4 – 4 = 0 olur. 0 bir tam sayıdır ve rasyoneldir.
- B) 1 – √12: 12 sayısı tam kare değildir. √12 kök dışına tam olarak çıkamaz (√12 = √(4*3) = 2√3). Dolayısıyla √12 irrasyoneldir. Rasyonel bir sayıdan (1) irrasyonel bir sayıyı (√12) çıkardığımızda sonuç irrasyonel olur.
- C) √25 – √9: √25 = 5 ve √9 = 3. Yani ifade 5 – 3 = 2 olur. 2 bir tam sayıdır ve rasyoneldir.
- D) 3/7 – √9: √9 = 3. Yani ifade 3/7 – 3 olur. Bu bir rasyonel sayıdır.
Cevap: B) 1 – √12
6. Aşağıdaki eşitliklerden kaç tanesi doğrudur?
- I. 11√2 = √242
- II. 6√3 = √54
- III. 9√5 = √405
- IV. 10√6 = √60
- A) 1
- B) 2
- C) 3
- D) 4
Çözüm:
Bir sayıyı kökün içine almak için karesini alıp kökün içine yazarız. Yani a√b = √(a² * b) şeklinde yazılır.
Şimdi eşitlikleri tek tek kontrol edelim:
- I. 11√2 = √242
- II. 6√3 = √54
- III. 9√5 = √405
- IV. 10√6 = √60
Sol tarafı kök içine alalım: 11√2 = √(11² * 2) = √(121 * 2) = √242. Bu eşitlik doğrudur.
Sol tarafı kök içine alalım: 6√3 = √(6² * 3) = √(36 * 3) = √108. Eşitliğin sağ tarafı √54. √108 ≠ √54. Bu eşitlik yanlıştır.
Sol tarafı kök içine alalım: 9√5 = √(9² * 5) = √(81 * 5) = √405. Bu eşitlik doğrudur.
Sol tarafı kök içine alalım: 10√6 = √(10² * 6) = √(100 * 6) = √600. Eşitliğin sağ tarafı √60. √600 ≠ √60. Bu eşitlik yanlıştır.
Doğru olan eşitlikler I ve III’tür. Yani 2 tanesi doğrudur.
Cevap: B) 2
7. Aşağıdaki kareköklü ifadelerden eşit olanları eşleştiriniz.
- a) 5√3
- b) 2√5
- c) 3√6
- ç) 4√2
- I. √54
- II. √32
- III. √20
- IV. √75
Çözüm:
Eşleştirmeyi yapabilmek için sol taraftaki ifadeleri kök dışına çıkaralım veya sağ taraftaki ifadeleri kök içine alalım. Ben sol taraftakileri kök içine alacağım.
- a) 5√3
- b) 2√5
- c) 3√6
- ç) 4√2
Kök içine alalım: 5√3 = √(5² * 3) = √(25 * 3) = √75. Bu, IV ile eşleşir.
Kök içine alalım: 2√5 = √(2² * 5) = √(4 * 5) = √20. Bu, III ile eşleşir.
Kök içine alalım: 3√6 = √(3² * 6) = √(9 * 6) = √54. Bu, I ile eşleşir.
Kök içine alalım: 4√2 = √(4² * 2) = √(16 * 2) = √32. Bu, II ile eşleşir.
Eşleştirmeler:
- a) 5√3 → IV. √75
- b) 2√5 → III. √20
- c) 3√6 → I. √54
- ç) 4√2 → II. √32
8. √64 + √36 – √25 işleminin sonucu kaçtır?
- A) 7
- B) 8
- C) 9
- D) 10
Çözüm:
Öncelikle karekökleri hesaplayalım:
- √64 = 8 (çünkü 8 * 8 = 64)
- √36 = 6 (çünkü 6 * 6 = 36)
- √25 = 5 (çünkü 5 * 5 = 25)
Şimdi bu değerleri ifadede yerine koyalım:
8 + 6 – 5
Şimdi toplama ve çıkarma işlemlerini soldan sağa doğru yapalım:
8 + 6 = 14
14 – 5 = 9
Cevap: C) 9
9. √0,81 + √1,21 – √0,25 işleminin sonucu kaçtır?
- A) 1/10
- B) 4/10
- C) 4/5
- D) 3/2
Çözüm:
Bu ondalık sayılarla karekök alma işlemi. Ondalık sayıları kesirli sayıya çevirerek veya doğrudan ondalık sayının karekökünü alarak çözebiliriz.
Yöntem 1: Ondalık Sayıların Karekökünü Alma
- √0,81: Hangi sayının karesi 0,81’dir? 0,9 * 0,9 = 0,81. Yani √0,81 = 0,9
- √1,21: Hangi sayının karesi 1,21’dir? 1,1 * 1,1 = 1,21. Yani √1,21 = 1,1
- √0,25: Hangi sayının karesi 0,25’tir? 0,5 * 0,5 = 0,25. Yani √0,25 = 0,5
Şimdi bu değerleri ifadede yerine koyalım:
0,9 + 1,1 – 0,5
Toplama ve çıkarma işlemlerini yapalım:
0,9 + 1,1 = 2,0
2,0 – 0,5 = 1,5
Şimdi sonucu şıklardaki kesirli sayılara çevirelim:
1,5 = 15/10 = 3/2
Yöntem 2: Kesirli Sayılara Çevirerek Çözme
- √0,81 = √(81/100) = √81 / √100 = 9/10
- √1,21 = √(121/100) = √121 / √100 = 11/10
- √0,25 = √(25/100) = √25 / √100 = 5/10
Şimdi bu kesirleri ifadede yerine koyalım:
9/10 + 11/10 – 5/10
Paydalar eşit olduğu için payları toplayıp çıkarabiliriz:
(9 + 11 – 5) / 10
(20 – 5) / 10
15 / 10
Bu kesri sadeleştirelim. Hem pay hem de payda 5’e bölünebilir:
15 ÷ 5 = 3
10 ÷ 5 = 2
Sonuç: 3/2
Her iki yöntemle de aynı sonucu bulduk.
Cevap: D) 3/2
10. √0,16 / (√0,09 * √0,04) işleminin sonucu kaçtır?
- A) 5/3
- B) 12/5
- C) 20/3
- D) 15/2
Çözüm:
Önce karekökleri hesaplayalım:
- √0,16 = 0,4 (çünkü 0,4 * 0,4 = 0,16)
- √0,09 = 0,3 (çünkü 0,3 * 0,3 = 0,09)
- √0,04 = 0,2 (çünkü 0,2 * 0,2 = 0,04)
Şimdi bu değerleri ifadede yerine koyalım:
0,4 / (0,3 * 0,2)
Önce parantez içindeki çarpma işlemini yapalım:
0,3 * 0,2 = 0,06
Şimdi bölme işlemini yapalım:
0,4 / 0,06
Ondalık sayılarla bölme işlemi yapmak yerine, kesirli sayılara çevirelim:
0,4 = 4/10
0,06 = 6/100
Bölme işlemini yaparken birinci kesri aynen yazar, ikinci kesri ters çevirip çarparız:
(4/10) / (6/100) = (4/10) * (100/6)
Çarpma işlemi yapmadan önce sadeleştirme yapabiliriz:
100 ile 10 sadeleşir: 100/10 = 10
4 ile 6 sadeleşir (her ikisi de 2’ye bölünür): 4/2 = 2, 6/2 = 3
Şimdi kalanları çarpalım:
(2/1) * (10/3) = (2 * 10) / (1 * 3) = 20 / 3
Cevap: C) 20/3
11. √124 sayısının değeri aşağıda verilen sayılardan hangisine daha yakındır?
- A) 9
- B) 10
- C) 11
- D) 12
Çözüm:
√124 sayısının yaklaşık değerini bulmak için, 124’e en yakın tam kare sayıları bulmalıyız.
Tam kare sayılara bakalım:
- 9² = 81
- 10² = 100
- 11² = 121
- 12² = 144
124 sayısı 121 ile 144 arasındadır. Bu da demek oluyor ki √124 sayısı √121 ile √144 arasındadır.
√121 = 11
√144 = 12
Yani, √124 sayısı 11 ile 12 arasındadır.
Şimdi 124 sayısının hangi tam kareye daha yakın olduğuna bakalım:
- 124 – 121 = 3
- 144 – 124 = 20
124 sayısı 121’e daha yakındır (aradaki fark 3). 144’e ise daha uzaktır (aradaki fark 20).
Bu nedenle √124 sayısı da √121’e daha yakın olacaktır.
√121 = 11
Yani √124 sayısı 11’e daha yakındır.
Cevap: C) 11
12. Alanı 54 cm² olan karenin bir kenar uzunluğu kaç cm’dir?
- A) 3√2
- B) 2√6
- C) 9√3
- D) 3√6
Çözüm:
Bir karenin alanı, bir kenar uzunluğunun kendisiyle çarpılmasıyla bulunur. Yani Alan = Kenar * Kenar = Kenar².
Bize alan verilmiş (54 cm²) ve kenar uzunluğunu bulmamız isteniyor.
Kenar² = Alan
Kenar² = 54
Kenar uzunluğunu bulmak için alanın karekökünü almalıyız:
Kenar = √54
Şimdi √54’ü sadeleştirmemiz gerekiyor. 54 sayısını çarpanlarına ayırırken, tam kare çarpanları olup olmadığına bakalım.
54 = 9 * 6
Burada 9 bir tam karedir (3’ün karesi).
Kenar = √54 = √(9 * 6)
Karekökün özelliğinden dolayı, çarpımın karekökü, kareköklerin çarpımına eşittir:
√(9 * 6) = √9 * √6
√9 = 3
Yani, Kenar = 3 * √6 = 3√6
Karenin bir kenar uzunluğu 3√6 cm’dir.
Cevap: D) 3√6
Umarım bu çözümlerimiz anlaşılır olmuştur. Anlamadığınız yerleri mutlaka sorun! Başarılar dilerim!
