

Merhaba sevgili öğrenciler! Bugün 8. üniteye geldik ve bu ünitede öğrendiklerimizi pekiştireceğimiz harika sorular çözeceğiz. Hazırsanız başlayalım!
**1. Soru**
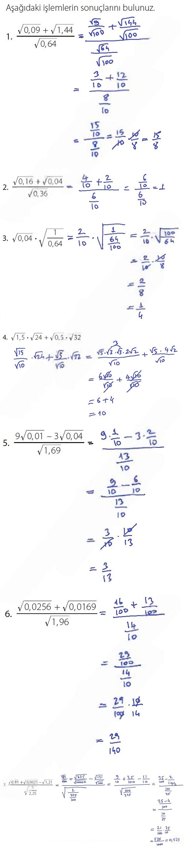
$frac{sqrt{0,09} + sqrt{1,44}}{sqrt{0,64}}$
Bu soruda pay ve paydadaki karekökleri hesaplayarak başlayacağız. Unutmayın, bir sayının karekökü, kendisiyle çarpıldığında o sayıyı veren sayıdır.
Adım 1: Paydaki karekökleri hesaplayalım.
$sqrt{0,09} = 0,3$ çünkü $0,3 times 0,3 = 0,09$.
$sqrt{1,44} = 1,2$ çünkü $1,2 times 1,2 = 1,44$.
Adım 2: Paydayı hesaplayalım.
$sqrt{0,64} = 0,8$ çünkü $0,8 times 0,8 = 0,64$.
Adım 3: Şimdi pay ve paydayı yerine koyup işlemi tamamlayalım.
$frac{0,3 + 1,2}{0,8} = frac{1,5}{0,8}$
Adım 4: Kesirli ifadeyi ondalık olarak yazalım.
$frac{1,5}{0,8} = frac{15}{8}$
Şimdi bu kesri bölme işlemi yaparak ondalık hale getirelim:
“`
1,875
_______
8 | 15,000
– 8
—
70
-64
—-
60
-56
—-
40
-40
—-
0
“`
Sonuç:
1,875
**2. Soru**
$frac{sqrt{0,16} + sqrt{0,04}}{sqrt{0,36}}$
Bu soruda da ilk sorudaki gibi adım adım ilerleyeceğiz.
Adım 1: Paydaki karekökleri hesaplayalım.
$sqrt{0,16} = 0,4$ çünkü $0,4 times 0,4 = 0,16$.
$sqrt{0,04} = 0,2$ çünkü $0,2 times 0,2 = 0,04$.
Adım 2: Paydayı hesaplayalım.
$sqrt{0,36} = 0,6$ çünkü $0,6 times 0,6 = 0,36$.
Adım 3: Elde ettiğimiz değerleri yerine koyalım.
$frac{0,4 + 0,2}{0,6} = frac{0,6}{0,6}$
Adım 4: Bölme işlemini yapalım.
$frac{0,6}{0,6} = 1$
Sonuç:
1
**3. Soru**
$sqrt{0,04} cdot sqrt{frac{1}{0,64}}$
Bu soruda çarpma işlemi yapacağız. Yine karekökleri hesaplayarak başlayacağız.
Adım 1: İlk karekökü hesaplayalım.
$sqrt{0,04} = 0,2$ (Daha önce hesaplamıştık, $0,2 times 0,2 = 0,04$).
Adım 2: İkinci karekökü hesaplayalım. Önce kesrin içindeki karekökü alacağız.
$sqrt{frac{1}{0,64}} = frac{sqrt{1}}{sqrt{0,64}} = frac{1}{0,8}$ (Çünkü $sqrt{1}=1$ ve $sqrt{0,64}=0,8$).
Adım 3: Şimdi bu iki sonucu çarpalım.
$0,2 cdot frac{1}{0,8}$
Adım 4: İşlemi ondalık sayılarla yapmak yerine kesirlerle yapalım. $0,2 = frac{2}{10}$ ve $0,8 = frac{8}{10}$.
$frac{2}{10} cdot frac{1}{frac{8}{10}} = frac{2}{10} cdot frac{10}{8}$
Adım 5: Çarpma işlemini yapalım.
$frac{2 times 10}{10 times 8} = frac{20}{80}$
Adım 6: Sadeleştirelim.
$frac{20}{80} = frac{2}{8} = frac{1}{4}$
Adım 7: Kesri ondalık olarak yazalım.
$frac{1}{4} = 0,25$
Sonuç:
0,25
**4. Soru**
$sqrt{1,5} cdot sqrt{24} + sqrt{0,5} cdot sqrt{32}$
Bu soruda iki çarpma işlemi ve bir toplama işlemi var. Kareköklerin özelliklerini kullanarak işlemi kolaylaştırabiliriz. $sqrt{a} cdot sqrt{b} = sqrt{a cdot b}$ kuralını kullanacağız.
Adım 1: Birinci çarpma işlemini yapalım.
$sqrt{1,5} cdot sqrt{24} = sqrt{1,5 times 24}$
Şimdi çarpma işlemini yapalım:
$1,5 times 24 = 15 times 2,4 = 36$
Yani, $sqrt{1,5 times 24} = sqrt{36}$
Adım 2: $sqrt{36}$’yı hesaplayalım. Hangi sayıyı kendisiyle çarparsak 36 elde ederiz? Tabii ki 6!
$sqrt{36} = 6$
Adım 3: İkinci çarpma işlemini yapalım.
$sqrt{0,5} cdot sqrt{32} = sqrt{0,5 times 32}$
Şimdi çarpma işlemini yapalım:
$0,5 times 32 = frac{1}{2} times 32 = 16$
Yani, $sqrt{0,5 times 32} = sqrt{16}$
Adım 4: $sqrt{16}$’yı hesaplayalım. Hangi sayıyı kendisiyle çarparsak 16 elde ederiz? 4!
$sqrt{16} = 4$
Adım 5: Şimdi bulduğumuz sonuçları toplayalım.
$6 + 4 = 10$
Sonuç:
10
**5. Soru**
$frac{9sqrt{0,01} – 3sqrt{0,04}}{sqrt{1,69}}$
Bu soruda da pay ve paydadaki karekökleri hesaplayarak başlayacağız.
Adım 1: Paydaki ilk karekökü hesaplayalım.
$sqrt{0,01} = 0,1$ çünkü $0,1 times 0,1 = 0,01$.
Adım 2: Paydaki ikinci karekökü hesaplayalım.
$sqrt{0,04} = 0,2$ (Daha önce hesaplamıştık).
Adım 3: Paydaki işlemleri yapalım. Önce çarpma, sonra çıkarma.
$9 times sqrt{0,01} = 9 times 0,1 = 0,9$
$3 times sqrt{0,04} = 3 times 0,2 = 0,6$
Şimdi payın tamamını hesaplayalım:
$0,9 – 0,6 = 0,3$
Adım 4: Paydadaki karekökü hesaplayalım.
$sqrt{1,69} = 1,3$ çünkü $1,3 times 1,3 = 1,69$.
Adım 5: Şimdi pay ve paydayı yerine koyup sonucu bulalım.
$frac{0,3}{1,3}$
Adım 6: Kesri ondalık olarak ifade etmek için pay ve paydayı 10 ile çarpalım.
$frac{0,3 times 10}{1,3 times 10} = frac{3}{13}$
Sonuç:
$frac{3}{13}$
**6. Soru**
$frac{sqrt{0,0256} + sqrt{0,0169}}{sqrt{1,96}}$
Yine karekökleri hesaplayarak başlayacağız.
Adım 1: Paydaki ilk karekökü hesaplayalım.
$sqrt{0,0256}$. Bu sayının karekökünü bulmak için 256’nın karekökünü düşünelim, o da 16’dır. Ondalık kısım için de yarısı kadar basamak alacağız. Yani 0,16.
$sqrt{0,0256} = 0,16$ çünkü $0,16 times 0,16 = 0,0256$.
Adım 2: Paydaki ikinci karekökü hesaplayalım.
$sqrt{0,0169}$. 169’un karekökü 13’tür. Ondalık kısım için yarısı kadar basamak alacağız. Yani 0,13.
$sqrt{0,0169} = 0,13$ çünkü $0,13 times 0,13 = 0,0169$.
Adım 3: Payın tamamını toplayalım.
$0,16 + 0,13 = 0,29$
Adım 4: Paydadaki karekökü hesaplayalım.
$sqrt{1,96}$. 196’nın karekökü 14’tür. Ondalık kısım için yarısı kadar basamak alacağız. Yani 1,4.
$sqrt{1,96} = 1,4$ çünkü $1,4 times 1,4 = 1,96$.
Adım 5: Şimdi pay ve paydayı yerine koyup sonucu bulalım.
$frac{0,29}{1,4}$
Adım 6: Kesri ondalık olarak ifade etmek için pay ve paydayı 100 ile çarpalım.
$frac{0,29 times 100}{1,4 times 100} = frac{29}{140}$
Sonuç:
$frac{29}{140}$
**7. Soru**
$frac{sqrt{0,81} + sqrt{0,0625} – sqrt{1,21}}{sqrt{2,25}}$
Bu soruda da pay ve paydadaki karekökleri hesaplayarak başlayacağız.
Adım 1: Paydaki ilk karekökü hesaplayalım.
$sqrt{0,81} = 0,9$ çünkü $0,9 times 0,9 = 0,81$.
Adım 2: Paydaki ikinci karekökü hesaplayalım.
$sqrt{0,0625}$. 625’in karekökü 25’tir. Ondalık kısım için yarısı kadar basamak alacağız. Yani 0,25.
$sqrt{0,0625} = 0,25$ çünkü $0,25 times 0,25 = 0,0625$.
Adım 3: Paydaki üçüncü karekökü hesaplayalım.
$sqrt{1,21} = 1,1$ çünkü $1,1 times 1,1 = 1,21$.
Adım 4: Paydaki işlemleri yapalım. Önce toplama, sonra çıkarma.
$0,9 + 0,25 = 1,15$
$1,15 – 1,1 = 0,05$
Adım 5: Paydadaki karekökü hesaplayalım.
$sqrt{2,25} = 1,5$ çünkü $1,5 times 1,5 = 2,25$.
Adım 6: Şimdi pay ve paydayı yerine koyup sonucu bulalım.
$frac{0,05}{1,5}$
Adım 7: Kesri ondalık olarak ifade etmek için pay ve paydayı 100 ile çarpalım.
$frac{0,05 times 100}{1,5 times 100} = frac{5}{150}$
Adım 8: Sadeleştirelim.
$frac{5}{150} = frac{1}{30}$
Sonuç:
$frac{1}{30}$
Harikasınız çocuklar! Bu sorularla karekök alma ve ondalık sayılarla işlem yapma becerilerimizi iyice pekiştirdik. Şimdi sıra geldi gerçek sayılar konusuna!
**2.1.8. Gerçek Sayılar**
Derslerimizde doğal sayılar, tam sayılar ve kesirleri gördük. Bu sayıların özelliklerini ve bu sayılarla nasıl işlem yapacağımızı öğrendik. Günlük hayatımızda kullandığımız sayılar da bu sayılardır. Aynı zamanda kesirleri ondalık gösterimle, ondalık gösterimleri de kesir olarak ifade edebiliyoruz.
**Kesirleri Ondalık Gösterimle İfade Etme**
Şimdi verilen kesirleri ondalık gösterimle ifade edelim.
Kesirler: $frac{9}{10}$ ve $frac{21}{200}$
**Birinci Kesir: $frac{9}{10}$**
Bu kesri ondalık olarak ifade etmek çok kolay. Paydadaki 10, virgülden sonra bir basamak olacağını gösterir.
$frac{9}{10} = 0,9$
**İkinci Kesir: $frac{21}{200}$**
Bu kesri ondalık yapmak için paydasını 10, 100, 1000 gibi 10’un kuvvetleri şeklinde yazmaya çalışmalıyız. 200’ü 1000 yapmak için 5 ile çarpmamız gerekiyor. Paydayı 5 ile çarptığımız için payı da 5 ile çarpmalıyız.
Adım 1: Paydayı 1000 yapalım.
$200 times 5 = 1000$
Adım 2: Payı da 5 ile çarpalım.
$21 times 5 = 105$
Adım 3: Yeni kesrimiz oluştu: $frac{105}{1000}$
Adım 4: Bu kesri ondalık olarak yazalım. Paydadaki 1000, virgülden sonra üç basamak olacağını gösterir.
$frac{105}{1000} = 0,105$
İşte bu kadar! $frac{9}{10} = 0,9$ ve $frac{21}{200} = 0,105$ olarak bulduk.
**Kesir Halindeki Ondalık Gösterimin Kesir Haline Dönüştürülmesi**
Şimdi de $frac{10}{3}$ kesrinin ondalık gösterimini bulalım. Bunu bulmak için bölme işlemi yapacağız.
Adım 1: 10’u 3’e bölelim.
“`
3,333…
_______
3 | 10,000
– 9
—
10
– 9
—-
10
– 9
—-
10
– 9
—-
1
“`
Gördüğünüz gibi, bölme işlemi hiç bitmiyor ve hep aynı rakam (3) tekrar ediyor. Bu tür ondalık gösterimlere devirli ondalık gösterim denir.
Sonuç:
$frac{10}{3} = 3,333…$ (Buradaki üç noktalar, 3’ün sonsuza kadar devam ettiğini gösterir. Bu durumu $3,overline{3}$ şeklinde de gösterebiliriz.)
