

Merhaba sevgili öğrencilerim! Bugün sizlerle, 1. Ünite’nin önemli konularından biri olan Ondalık Gösterimle Verilen Sayıları Çözümleme konusunu pekiştireceğiz. Görseldeki “Sıra Sizde” bölümündeki alıştırmaları adım adım, tane tane çözeceğiz. Kağıdınızı kaleminizi hazırlayın, başlıyoruz!
Unutmayın, ondalık sayıları çözümlerken virgülün solundaki (tam kısım) sayıları 10’un sıfırıncı kuvvetinden başlayarak (100, 101, 102…) sola doğru arttırıyoruz. Virgülün sağındaki (ondalık kısım) sayıları ise -1’den başlayarak (10-1, 10-2, 10-3…) sağa doğru azaltıyoruz. Hadi sorulara bakalım.
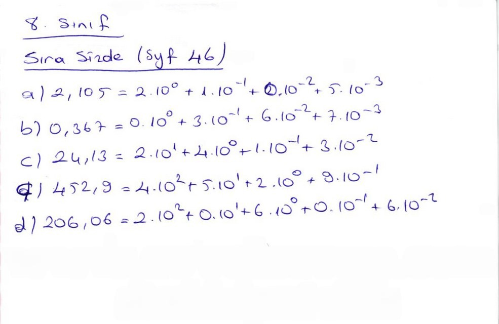
Soru: Aşağıdaki sayıları 10’un tam sayı kuvvetlerini kullanarak çözümleyiniz.
a) 2,105
Bu sayıyı basamaklarına ayıralım. Virgülün hemen solundaki sayı birler basamağıdır, sağındakiler sırasıyla onda birler, yüzde birler ve binde birler basamağıdır.
- Adım 1: Tam kısımdaki 2 rakamı birler basamağındadır. Yani 2 tane 10 üzeri 0 demektir (2 . 100).
- Adım 2: Ondalık kısımdaki ilk rakam 1’dir. Bu, onda birler basamağıdır (1 . 10-1).
- Adım 3: Sonraki rakam 0’dır. 0 olan basamakları çözümlemede yazmasak da olur çünkü değeri yoktur.
- Adım 4: Sondaki rakam 5’tir. Bu rakam binde birler basamağındadır (5 . 10-3).
Sonuç: 2 . 100 + 1 . 10-1 + 5 . 10-3
b) 0,367
Burada tam kısmımız 0 olduğu için 10’un pozitif kuvvetleriyle bir işimiz yok, doğrudan virgülden sonrasına, yani negatif kuvvetlere odaklanıyoruz.
- Adım 1: Tam kısım 0 olduğu için yazmıyoruz.
- Adım 2: Virgülden sonraki ilk rakam 3 (onda birler basamağı): 3 . 10-1
- Adım 3: İkinci rakam 6 (yüzde birler basamağı): 6 . 10-2
- Adım 4: Üçüncü rakam 7 (binde birler basamağı): 7 . 10-3
Sonuç: 3 . 10-1 + 6 . 10-2 + 7 . 10-3
c) 24,13
Hem tam kısmımız (24) hem de ondalık kısmımız (13) var. Sırayla gidelim.
- Adım 1: 2 rakamı onlar basamağındadır: 2 . 101
- Adım 2: 4 rakamı birler basamağındadır: 4 . 100
- Adım 3: Şimdi virgülden sonraya geçtik. 1 rakamı onda birler basamağındadır: 1 . 10-1
- Adım 4: 3 rakamı yüzde birler basamağındadır: 3 . 10-2
Sonuç: 2 . 101 + 4 . 100 + 1 . 10-1 + 3 . 10-2
ç) 452,9
Burada tam kısım üç basamaklı. Yüzler basamağından başlayacağız.
- Adım 1: 4 rakamı yüzler basamağındadır: 4 . 102
- Adım 2: 5 rakamı onlar basamağındadır: 5 . 101
- Adım 3: 2 rakamı birler basamağındadır: 2 . 100
- Adım 4: Virgülden sonra sadece 9 var, bu da onda birler basamağıdır: 9 . 10-1
Sonuç: 4 . 102 + 5 . 101 + 2 . 100 + 9 . 10-1
d) 206,06
Bu soru çok önemli çünkü içinde “0”lar var. Çözümlerken değeri 0 olan basamakları atlayarak yazacağız.
- Adım 1: 2 rakamı yüzler basamağındadır: 2 . 102
- Adım 2: Onlar basamağı 0 olduğu için atlıyoruz.
- Adım 3: 6 rakamı birler basamağındadır: 6 . 100
- Adım 4: Virgülden sonraki ilk basamak (onda birler) 0 olduğu için atlıyoruz.
- Adım 5: Sondaki 6 rakamı yüzde birler basamağındadır: 6 . 10-2
Sonuç: 2 . 102 + 6 . 100 + 6 . 10-2
İşte bu kadar arkadaşlar! Gördüğünüz gibi basamakların yerini doğru bildiğimizde çözümleme yapmak bulmaca çözmek kadar keyifli. Bir sonraki derste görüşmek üzere, iyi çalışmalar!
