

Merhaba sevgili öğrencilerim! Bugün sizlerle 1. Ünite konumuz olan En Küçük Ortak Kat (EKOK) konusunu pekiştireceğiz. Ders kitabımızdaki örnekleri inceledikten sonra, en altta yer alan “Sıra Sizde” bölümündeki soruları birlikte çözelim. Kağıdınız ve kaleminiz hazırsa başlayalım!
Bu sorularda bizden verilen sayı çiftlerinin EKOK’larını bulmamız isteniyor. Hatırlarsanız, EKOK bulurken en güvenilir yöntem, sayıları asal çarpanlarına ayırıp üslü ifade şeklinde yazmaktı. Kuralımız şuydu: Ortak olan asal çarpanlardan üssü büyük olanı ve ortak olmayanların tamamını alıp çarpıyorduk.
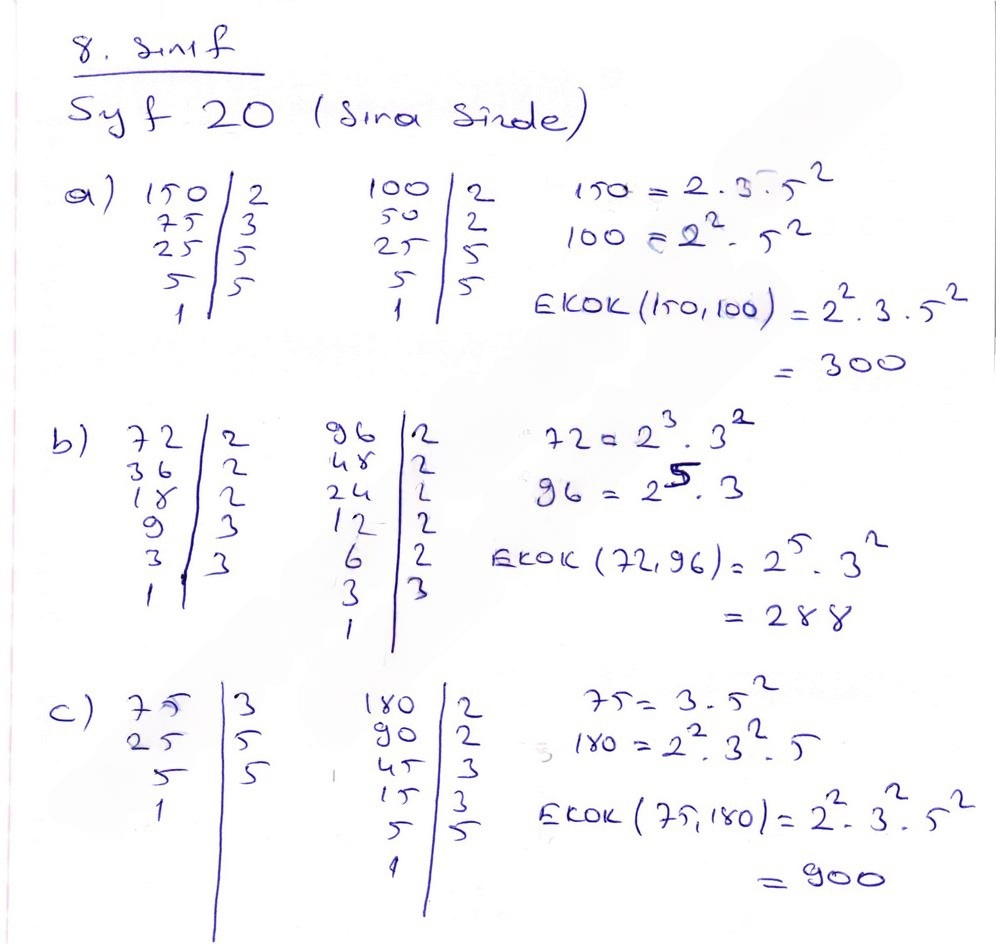
Soru: Aşağıdaki doğal sayı çiftlerinin EKOK’larını bulunuz.
a) 150 ve 100
b) 72 ve 96
c) 75 ve 180
a) 150 ve 100 Sayılarının EKOK’u
İlk olarak her iki sayıyı da asal çarpanlarına ayıralım. Bunu yaparken bölen listesi yöntemini (sayının yanına çizgi çekip bölme) zihnimizde canlandıralım.
Adım 1: Sayıları üslü biçimde yazalım.
- 150: Önce 2’ye böldük 75, sonra 3’e böldük 25, sonra 5’e böldük 5 ve tekrar 5’e böldük 1.
Yani: 150 = 2¹ · 3¹ · 5² - 100: Önce 2’ye böldük 50, tekrar 2’ye böldük 25, 5’e böldük 5, tekrar 5’e böldük 1.
Yani: 100 = 2² · 5²
Adım 2: EKOK kuralını uygulayalım.
Şimdi tabanları aynı olanlardan üssü büyük olanları, ortak olmayanları ise aynen alacağız.
- 2’ler için: 2¹ ve 2² var. Büyük olan 2²‘yi alıyoruz.
- 3’ler için: Sadece 150’de 3¹ var, 100’de yok. O zaman 3¹‘i aynen alıyoruz.
- 5’ler için: Her ikisinde de 5² var. Eşit olduğu için birini, yani 5²‘yi alıyoruz.
Adım 3: Sonucu bulalım.
EKOK(150, 100) = 2² · 3¹ · 5²
EKOK(150, 100) = 4 · 3 · 25
Önce 4 ile 25’i çarpmak işimizi kolaylaştırır: 4 x 25 = 100 eder.
Sonra 100 ile 3’ü çarparız: 100 x 3 = 300.
Cevap a: 300
b) 72 ve 96 Sayılarının EKOK’u
Şimdi de 72 ve 96 sayılarını inceleyelim. Aynı yöntemi kullanıyoruz arkadaşlar, hiç panik yok.
Adım 1: Sayıları üslü biçimde yazalım.
- 72: 72’yi 2’ye böle böle gidersek (72, 36, 18, 9) üç tane 2 elde ederiz. Sonra 9’u 3’e böleriz.
Yani: 72 = 2³ · 3² - 96: 96’yı sürekli 2’ye bölelim (96, 48, 24, 12, 6, 3). Tam beş tane 2 çıkar, sonunda bir tane 3 kalır.
Yani: 96 = 2⁵ · 3¹
Adım 2: EKOK kuralını uygulayalım.
- 2’ler için: 2³ ve 2⁵ var. Hangisi büyük? Tabii ki 2⁵. Bunu sepete atalım.
- 3’ler için: 3² ve 3¹ var. Büyük olan 3²‘yi de sepete atalım.
Adım 3: Sonucu bulalım.
EKOK(72, 96) = 2⁵ · 3²
EKOK(72, 96) = 32 · 9
Bu çarpma işlemini zihinden yapmak zor olabilir, hemen kenarda çarpalım:
32 x 9 = 288
Cevap b: 288
c) 75 ve 180 Sayılarının EKOK’u
Son sorumuzdayız. Biraz daha büyük sayılar gibi görünüyor ama yöntemimiz bizi asla yarı yolda bırakmaz.
Adım 1: Sayıları üslü biçimde yazalım.
- 75: 75 sayısı 2’ye bölünmez. 3’e böldük 25, sonra iki kere 5’e böldük.
Yani: 75 = 3¹ · 5² - 180: 180 çift sayı, 2’ye bölelim: 90. Tekrar 2’ye bölelim: 45. Şimdi 3’e bölelim: 15. Tekrar 3’e bölelim: 5. Son olarak 5’e bölelim: 1.
Yani: 180 = 2² · 3² · 5¹
Adım 2: EKOK kuralını uygulayalım.
- 2’ler için: 75’te hiç 2 yok, 180’de 2² var. O zaman 2²‘yi alıyoruz.
- 3’ler için: 3¹ ve 3² var. Büyük olan 3²‘yi alıyoruz.
- 5’ler için: 5² ve 5¹ var. Büyük olan 5²‘yi alıyoruz.
Adım 3: Sonucu bulalım.
EKOK(75, 180) = 2² · 3² · 5²
Değerlerini yazalım: 4 · 9 · 25
Yine pratik çarpma yapalım. 4 ile 25’i çarpmak çok kolaydır, 100 yapar.
Geriye 9 kaldı. 9 ile 100’ü çarparsak sonuç hemen çıkar.
9 x 100 = 900
Cevap c: 900
Gördüğünüz gibi arkadaşlar, sayıları asal çarpanlarına doğru ayırdıktan sonra “büyük olanı seç” kuralını uyguladığımızda EKOK bulmak çok zevkli bir hale geliyor. Anlamadığınız bir yer olursa sormaktan çekinmeyin. İyi çalışmalar!
