

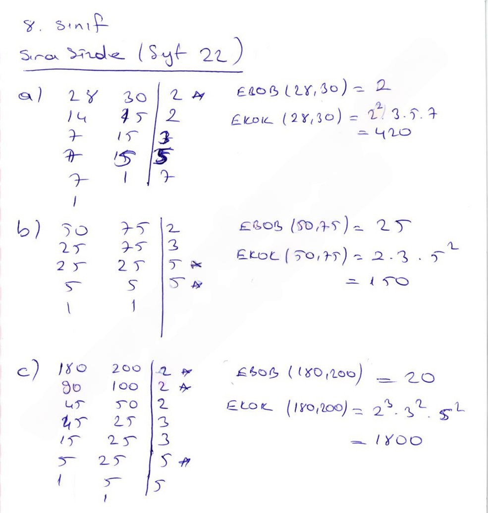
Merhaba sevgili öğrencim! Seninle 8. sınıfın en temel ve önemli konularından biri olan Çarpanlar ve Katlar konusundaki EBOB ve EKOK sorularını inceleyeceğiz. Görseldeki “Sıra Sizde” bölümündeki alıştırmaları senin için adım adım, tane tane çözeceğim. Kağıdını kalemini hazırla, başlıyoruz!
Soru: Aşağıda verilen sayı çiftlerinin EBOB ve EKOK’larını bulunuz.
a) 28 ve 30 Sayılarının EBOB ve EKOK’unu Bulalım
Bu iki sayıyı yan yana yazıp bölen listesi (asal çarpan algoritması) yöntemini uygulayacağız. Unutma, her iki sayıyı da aynı anda bölen asal sayıları işaretleyeceğiz (yanına yıldız * koyacağız). Bu işaretli sayıların çarpımı bize EBOB’u verecek.
Adım 1: Bölen Listesini Oluşturma
28 – 30 | 2* (İkisi de 2’ye bölünür, işaretledik)
14 – 15 | 2 (Sadece 14 bölünür)
7 – 15 | 3 (Sadece 15 bölünür)
7 – 5 | 5 (Sadece 5 bölünür)
7 – 1 | 7 (Sadece 7 bölünür)
1 – 1 |
Adım 2: EBOB Hesaplama
Listemize baktığımızda her iki sayıyı da bölen tek sayının 2 olduğunu görüyoruz. Başka ortak bölen çıkmadı.
EBOB(28, 30) = 2
Adım 3: EKOK Hesaplama
EKOK için çizginin sağındaki tüm sayıları çarpmamız gerekiyor.
EKOK(28, 30) = 2 . 2 . 3 . 5 . 7
İşlemi kolaylaştıralım: 2 . 2 = 4 ve 3 . 5 = 15
4 . 15 = 60
Son olarak 60 ile 7’yi çarpalım:
60 . 7 = 420
Sonuç olarak: EKOK(28, 30) = 420 bulunur.
b) 50 ve 75 Sayılarının EBOB ve EKOK’unu Bulalım
Yine aynı yöntemi kullanıyoruz. Ortak bölenleri yakalamaya dikkat et!
Adım 1: Bölen Listesini Oluşturma
50 – 75 | 2 (Sadece 50 bölünür)
25 – 75 | 3 (Sadece 75 bölünür)
25 – 25 | 5* (İkisi de 5’e bölünür, işaretledik)
5 – 5 | 5* (İkisi de tekrar 5’e bölünür, işaretledik)
1 – 1 |
Adım 2: EBOB Hesaplama
İşaretlediğimiz (yıldızlı) sayıları çarpıyoruz.
EBOB(50, 75) = 5 . 5 = 25
Adım 3: EKOK Hesaplama
Çizginin sağındaki tüm sayıları çarpıyoruz.
EKOK(50, 75) = 2 . 3 . 5 . 5
Önce 2 ile 3’ü çarpalım: 6
Sonra 5 ile 5’i çarpalım: 25
Şimdi 6 ile 25’i çarpalım:
6 . 25 = 150
Sonuç olarak: EKOK(50, 75) = 150 bulunur.
c) 180 ve 200 Sayılarının EBOB ve EKOK’unu Bulalım
Sayılar biraz büyüdü ama korkmak yok! Yöntemimiz hala aynı. Adım adım bölerek ilerleyelim.
Adım 1: Bölen Listesini Oluşturma
180 – 200 | 2* (İkisi de bölünür)
90 – 100 | 2* (İkisi de bölünür)
45 – 50 | 2 (Sadece 50 bölünür)
45 – 25 | 3 (Sadece 45 bölünür)
15 – 25 | 3 (Sadece 15 bölünür)
5 – 25 | 5* (İkisi de bölünür)
1 – 5 | 5 (Sadece 5 bölünür)
1 – 1 |
Adım 2: EBOB Hesaplama
Her ikisini de bölen işaretli sayıları çarpalım: İki tane 2 ve bir tane 5 var.
EBOB(180, 200) = 2 . 2 . 5
2 . 2 = 4
4 . 5 = 20
EBOB(180, 200) = 20
Adım 3: EKOK Hesaplama
Şimdi sağ taraftaki o uzun listeyi çarpma zamanı. Sayıları gruplayarak çarparsan hata yapma riskin azalır.
EKOK(180, 200) = 2 . 2 . 2 . 3 . 3 . 5 . 5
2’lerin çarpımı: 2 . 2 . 2 = 8
3’lerin çarpımı: 3 . 3 = 9
5’lerin çarpımı: 5 . 5 = 25
Şimdi bunları birleştirelim: 8 . 9 . 25
Burada pratik bir yol izleyelim. 8 ile 25’i çarpmak çok kolaydır (4 tane 25 yüz yapar, 8 tanesi iki yüz yapar).
8 . 25 = 200
Şimdi bu sonucu kalan 9 ile çarpalım:
200 . 9 = 1800
Sonuç olarak: EKOK(180, 200) = 1800 bulunur.
İşte bu kadar! EBOB ve EKOK bulurken sadece dikkatli bölme işlemi yapman ve ortak olanları gözden kaçırmaman yeterli. Bol bol pratik yaparak bu konuda hızlanabilirsin. Başarılar dilerim!
