

Elbette, 8. sınıf matematik dersi kapsamında bu soruları senin için adım adım ve anlaşılır bir şekilde çözeceğim. Hazırsan başlayalım!
—
2. Aşağıdaki üslü ifadelerin işaretlerini belirleyiniz.
a) $(-7)^{15}$
b) $3^{23}$
c) $(-11)^{104}$
ç) $(-3)^{19}$
Bu soruda üslü ifadelerin işaretini belirleyeceğiz. Üslü ifadelerde işaretin ne olacağını belirleyen temel kural şudur:
- Eğer taban pozitif ise, üssün tek veya çift olması sonucu değiştirmez, sonuç pozitif olur.
- Eğer taban negatif ise:
- Üs tek ise sonuç negatif olur.
- Üs çift ise sonuç pozitif olur.
Şimdi bu kuralları şıklara uygulayalım:
a) $(-7)^{15}$
Burada tabanımız -7 (negatif) ve üssümüz 15 (tek). Negatif tabanın tek kuvveti negatiftir. Bu yüzden sonuç negatif olur.
b) $3^{23}$
Burada tabanımız 3 (pozitif). Pozitif tabanın üssü ne olursa olsun sonuç her zaman pozitif olur.
c) $(-11)^{104}$
Burada tabanımız -11 (negatif) ve üssümüz 104 (çift). Negatif tabanın çift kuvveti pozitiftir. Bu yüzden sonuç pozitif olur.
ç) $(-3)^{19}$
Burada tabanımız -3 (negatif) ve üssümüz 19 (tek). Negatif tabanın tek kuvveti negatiftir. Bu yüzden sonuç negatif olur.
Sonuçlar:
a) Negatif
b) Pozitif
c) Pozitif
ç) Negatif
—
3. Aşağıdaki üslü ifadelerin değerlerini hesaplayınız.
a) $2^{-5}$
b) $(-7)^{3}$
c) $9^0$
ç) $frac{1}{3^{-5}}$
d) $(-9)^{3}$
e) $(1^9)^9$
f) $(5^0)$
g) $(7^0)^5$
Bu soruda verilen üslü ifadelerin değerlerini tek tek hesaplayacağız. Üslü sayılarla ilgili temel bilgileri hatırlayalım:
- $a^{-n} = frac{1}{a^n}$
- $a^0 = 1$ (taban sıfır değilse)
- $0^n = 0$ (üs pozitifse)
- $1^n = 1$
Şimdi şıklara geçelim:
a) $2^{-5}$
Üssün negatif olması, sayının tersini alıp üssü pozitif yapmak demektir.
$2^{-5} = frac{1}{2^5}$
$2^5 = 2 times 2 times 2 times 2 times 2 = 32$
Yani, $2^{-5} = frac{1}{32}$
b) $(-7)^{3}$
Taban negatif, üs tek. Sonuç negatif olacaktır.
$(-7)^3 = (-7) times (-7) times (-7)$
$(-7) times (-7) = 49$
$49 times (-7) = -343$
Yani, $(-7)^3 = -343$
c) $9^0$
Herhangi bir sayının sıfırıncı kuvveti (taban sıfır hariç) 1’dir.
Yani, $9^0 = 1$
ç) $frac{1}{3^{-5}}$
Bu ifadeyi iki şekilde çözebiliriz:
Yöntem 1: Üssü pozitif yapmak
Kesrin paydasındaki $3^{-5}$ ifadesini paya alırken üssü pozitif yaparız.
$frac{1}{3^{-5}} = 3^5$
$3^5 = 3 times 3 times 3 times 3 times 3 = 9 times 9 times 3 = 81 times 3 = 243$
Yöntem 2: Kesrin tersini almak
Eğer kesrin paydasındaki üslü ifadenin üssü negatifse, bu ifadeyi paya aldığımızda üssü pozitif olur.
$frac{1}{3^{-5}}$ ifadesinde payda $3^{-5}$ var. Bu ifadeyi paya aldığımızda $3^5$ olur. Yani sonuç $3^5$’tir.
Yani, $frac{1}{3^{-5}} = 243$
d) $(-9)^{3}$
Taban negatif, üs tek. Sonuç negatif olacaktır.
$(-9)^3 = (-9) times (-9) times (-9)$
$(-9) times (-9) = 81$
$81 times (-9) = -729$
Yani, $(-9)^3 = -729$
e) $(1^9)^9$
Önce parantez içini halledelim: $1^9 = 1$. Sonra dışarıdaki üssü uygularız: $1^9 = 1$.
Yani, $(1^9)^9 = 1$
f) $(5^0)$
Parantez içindeki $5^0 = 1$’dir. Bu durumda ifade $(1)$ olur.
Yani, $(5^0) = 1$
g) $(7^0)^5$
Parantez içindeki $7^0 = 1$’dir. Bu durumda ifade $(1)^5$ olur.
$1^5 = 1$
Yani, $(7^0)^5 = 1$
Sonuçlar:
a) $frac{1}{32}$
b) $-343$
c) $1$
ç) $243$
d) $-729$
e) $1$
f) $1$
g) $1$
—
4. Aşağıdaki işlemlerin en sade halini bulunuz.
a) $3^4 cdot 81^5 cdot (3^3)^6$
b) $frac{2^8 cdot (-2)^9}{-4^{13}}$
c) $125^4 : 5^{-6}$
d) $3^{-1} cdot (3^7 : 3^4)$
e) $512 : 2^5$
Bu soruda verilen işlemleri üslü sayılarda çarpma, bölme ve üssün üssü alma kurallarını kullanarak en sade hale getireceğiz.
a) $3^4 cdot 81^5 cdot (3^3)^6$
Amacımız tabanları aynı yapmak.
Adım 1: 81’i 3’ün kuvveti şeklinde yazalım. $81 = 3^4$.
İfade şöyle olur: $3^4 cdot (3^4)^5 cdot (3^3)^6$
Adım 2: Üssün üssü kuralını uygulayalım: $(a^m)^n = a^{m cdot n}$.
$(3^4)^5 = 3^{4 cdot 5} = 3^{20}$
$(3^3)^6 = 3^{3 cdot 6} = 3^{18}$
İfade şimdi şöyle: $3^4 cdot 3^{20} cdot 3^{18}$
Adım 3: Tabanları aynı olan üslü ifadeleri çarparken üsleri toplarız: $a^m cdot a^n = a^{m+n}$.
$3^{4+20+18} = 3^{42}$
Yani, işlemin en sade hali $3^{42}$’dir.
b) $frac{2^8 cdot (-2)^9}{-4^{13}}$
Yine tabanları aynı yapmaya çalışalım.
Adım 1: $(-2)^9$ ifadesinde taban negatif ama üs tek. Bu yüzden bu ifade $-2^9$ olur.
İfade şöyle olur: $frac{2^8 cdot (-2^9)}{-4^{13}}$
Adım 2: $-4^{13}$ ifadesinde taban 4. 4’ü 2’nin kuvveti şeklinde yazalım: $4 = 2^2$.
$-4^{13} = -(2^2)^{13}$. Üssün üssü kuralıyla $(2^2)^{13} = 2^{2 cdot 13} = 2^{26}$.
Yani, $-4^{13} = -2^{26}$.
İfade şimdi şöyle: $frac{2^8 cdot (-2^9)}{-2^{26}}$
Adım 3: Paydaki çarpma işlemini yapalım. Bir pozitif ve bir negatif sayıyı çarparsak sonuç negatif olur.
$2^8 cdot (-2^9) = -(2^8 cdot 2^9) = -2^{8+9} = -2^{17}$
İfade şimdi şöyle: $frac{-2^{17}}{-2^{26}}$
Adım 4: Negatif bir sayıyı negatif bir sayıya bölersek sonuç pozitif olur. Tabanları aynı olan üslü ifadeleri bölerken üsleri çıkarırız: $frac{a^m}{a^n} = a^{m-n}$.
$frac{-2^{17}}{-2^{26}} = frac{2^{17}}{2^{26}} = 2^{17-26} = 2^{-9}$
Adım 5: Negatif üssü pozitif hale getirelim.
$2^{-9} = frac{1}{2^9}$
$2^9 = 512$
Yani, işlemin en sade hali $frac{1}{512}$’dir.
c) $125^4 : 5^{-6}$
Tabanları aynı yapmalıyız.
Adım 1: 125’i 5’in kuvveti şeklinde yazalım. $125 = 5^3$.
İfade şöyle olur: $(5^3)^4 : 5^{-6}$
Adım 2: Üssün üssü kuralını uygulayalım: $(a^m)^n = a^{m cdot n}$.
$(5^3)^4 = 5^{3 cdot 4} = 5^{12}$
İfade şimdi şöyle: $5^{12} : 5^{-6}$
Adım 3: Tabanları aynı olan üslü ifadeleri bölerken üsleri çıkarırız: $a^m : a^n = a^{m-n}$.
$5^{12 – (-6)} = 5^{12+6} = 5^{18}$
Yani, işlemin en sade hali $5^{18}$’dir.
d) $3^{-1} cdot (3^7 : 3^4)$
Parantez içini halledelim önce.
Adım 1: Parantez içindeki bölme işlemini yapalım. Tabanlar aynı olduğu için üsleri çıkarırız: $a^m : a^n = a^{m-n}$.
$3^7 : 3^4 = 3^{7-4} = 3^3$
İfade şimdi şöyle: $3^{-1} cdot 3^3$
Adım 2: Tabanları aynı olan üslü ifadeleri çarparken üsleri toplarız: $a^m cdot a^n = a^{m+n}$.
$3^{-1+3} = 3^2$
Adım 3: $3^2$’yi hesaplayalım.
$3^2 = 3 times 3 = 9$
Yani, işlemin en sade hali 9’dur.
e) $512 : 2^5$
Tabanları aynı yapmalıyız.
Adım 1: 512’yi 2’nin kuvveti şeklinde yazalım. $512 = 2^9$.
İfade şöyle olur: $2^9 : 2^5$
Adım 2: Tabanları aynı olan üslü ifadeleri bölerken üsleri çıkarırız: $a^m : a^n = a^{m-n}$.
$2^{9-5} = 2^4$
Adım 3: $2^4$’ü hesaplayalım.
$2^4 = 2 times 2 times 2 times 2 = 16$
Yani, işlemin en sade hali 16’dır.
Sonuçlar:
a) $3^{42}$
b) $frac{1}{512}$
c) $5^{18}$
d) $9$
e) $16$
—
5. $frac{10^3 cdot 2^5}{5^3 cdot 16}$ işleminin en sade hâli nedir?
Bu soruda da pay ve paydayı en sade hale getirerek işlemi çözeceğiz. Yine amacımız tabanları aynı yapmak.
Adım 1: Paydaki $10^3$ ifadesini çarpanlarına ayıralım. $10 = 2 times 5$.
$10^3 = (2 times 5)^3 = 2^3 cdot 5^3$ (Üssün çarpımına dağılma kuralı: $(a cdot b)^n = a^n cdot b^n$)
Pay şimdi şöyle olur: $(2^3 cdot 5^3) cdot 2^5$
Adım 2: Paydaki aynı tabanlı üslü ifadeleri çarpalım.
$2^3 cdot 2^5 = 2^{3+5} = 2^8$
Pay şöyle olur: $2^8 cdot 5^3$
Adım 3: Paydadaki 16’yı 2’nin kuvveti şeklinde yazalım. $16 = 2^4$.
Payda şimdi şöyle olur: $5^3 cdot 2^4$
Adım 4: İfadeyi yeniden yazalım.
$frac{2^8 cdot 5^3}{5^3 cdot 2^4}$
Adım 5: Pay ve paydadaki sadeleştirmeleri yapalım. Aynı olan terimleri birbirine bölebiliriz.
$frac{2^8}{2^4} = 2^{8-4} = 2^4$
$frac{5^3}{5^3} = 5^{3-3} = 5^0 = 1$
Adım 6: Elde kalanları çarpalım.
$2^4 cdot 1 = 2^4$
Adım 7: $2^4$’ü hesaplayalım.
$2^4 = 16$
Yani, işlemin en sade hali 16’dır.
Sonuç:
16
—
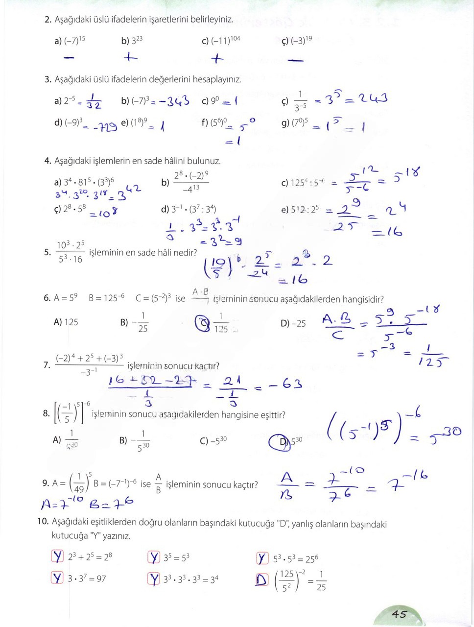
6. $A = 5^8$, $B = 125^5$, $C = (5^{-2})^3$ ise $frac{A cdot B}{C}$ işleminin sonucu aşağıdakilerden hangisidir?
A) 125
B) $-frac{1}{25}$
C) $frac{1}{125}$
D) -25
Bu soruda verilen A, B ve C değerlerini hesaplayıp $frac{A cdot B}{C}$ işlemini yapacağız. Yine amacımız tabanları aynı yapmak.
Adım 1: A, B ve C’yi 5’in kuvveti şeklinde yazalım.
A = $5^8$ (Bu zaten 5’in kuvveti şeklinde)
B = $125^5$. 125’i 5’in kuvveti olarak yazalım: $125 = 5^3$.
B = $(5^3)^5 = 5^{3 cdot 5} = 5^{15}$
C = $(5^{-2})^3$. Üssün üssü kuralını uygulayalım: $(a^m)^n = a^{m cdot n}$.
C = $5^{-2 cdot 3} = 5^{-6}$
Adım 2: Şimdi $frac{A cdot B}{C}$ ifadesinde bu değerleri yerine koyalım.
$frac{A cdot B}{C} = frac{5^8 cdot 5^{15}}{5^{-6}}$
Adım 3: Paydaki çarpma işlemini yapalım. Tabanlar aynı olduğu için üsleri toplarız.
$5^8 cdot 5^{15} = 5^{8+15} = 5^{23}$
İfade şimdi şöyle: $frac{5^{23}}{5^{-6}}$
Adım 4: Bölme işlemini yapalım. Tabanlar aynı olduğu için üsleri çıkarırız.
$5^{23 – (-6)} = 5^{23+6} = 5^{29}$
Adım 5: Elde ettiğimiz $5^{29}$ değerinin şıklarda olup olmadığını kontrol edelim. Sanırım soruda bir hata var ya da seçeneklerde bir hata var. Çünkü $5^{29}$ hiçbir şıkka uymuyor.
Soruyu tekrar gözden geçirelim. A, B, C değerlerini doğru yazdık. İşlemleri doğru yaptık. Seçeneklere bakalım.
A) 125 = $5^3$
B) $-frac{1}{25} = -5^{-2}$
C) $frac{1}{125} = 5^{-3}$
D) -25 (Negatif bir sonuç olamaz çünkü A ve B pozitif, C de pozitif olacaktır.)
Tekrar kontrol edelim:
A = $5^8$
B = $125^5 = (5^3)^5 = 5^{15}$
C = $(5^{-2})^3 = 5^{-6}$
$frac{A cdot B}{C} = frac{5^8 cdot 5^{15}}{5^{-6}} = frac{5^{23}}{5^{-6}} = 5^{23 – (-6)} = 5^{29}$
Soruda veya şıklarda bir yazım hatası olabilir. Ancak, eğer işlem doğru yapıldıysa ve şıklar da doğruysa, bu sorunun cevabı şıklarda bulunmuyor.
Varsayım: Eğer soruda $C = (5^2)^3$ olsaydı, o zaman $C = 5^6$ olurdu. Bu durumda:
$frac{5^8 cdot 5^{15}}{5^6} = frac{5^{23}}{5^6} = 5^{23-6} = 5^{17}$. Bu da şıklarda yok.
Varsayım 2: Eğer soruda $C = (5^2)^{-3}$ olsaydı, o zaman $C = 5^{-6}$ olurdu. Bu zaten mevcut.
Varsayım 3: Eğer soruda $A = 5^{-8}$ olsaydı:
$frac{5^{-8} cdot 5^{15}}{5^{-6}} = frac{5^7}{5^{-6}} = 5^{7 – (-6)} = 5^{13}$. Bu da şıklarda yok.
Varsayım 4: Eğer soruda $B = 125^{-5}$ olsaydı:
B = $(5^3)^{-5} = 5^{-15}$
$frac{5^8 cdot 5^{-15}}{5^{-6}} = frac{5^{-7}}{5^{-6}} = 5^{-7 – (-6)} = 5^{-1}$. Bu da şıklarda yok.
Varsayım 5: Eğer soruda $A=5^8$, $B=125^5$ ve $C=(5^2)^3$ olsaydı, yani C’nin üssü 3 olsaydı, C = $5^6$ olurdu. Bu durumda:
$frac{5^8 cdot 5^{15}}{5^6} = frac{5^{23}}{5^6} = 5^{17}$ (yine şıklarda yok)
Varsayım 6: Eğer soruda $A=5^8$, $B=125^5$ ve $C=(5^3)^2$ olsaydı, yani C’nin üssü 2 olsaydı, C = $5^6$ olurdu. Bu durumda:
$frac{5^8 cdot 5^{15}}{5^6} = frac{5^{23}}{5^6} = 5^{17}$ (yine şıklarda yok)
Varsayım 7: Eğer soruda $A=5^8$, $B=125^5$ ve işlem $frac{A}{B cdot C}$ olsaydı:
$frac{5^8}{5^{15} cdot 5^{-6}} = frac{5^8}{5^{15-6}} = frac{5^8}{5^9} = 5^{8-9} = 5^{-1} = frac{1}{5}$. Bu da şıklarda yok.
Varsayım 8: Eğer şıklar doğru ve A, B, C değerleri de doğru ise, C’nin değerinde bir hata olmalı. Eğer C = $5^2$ olsaydı:
$frac{5^8 cdot 5^{15}}{5^2} = frac{5^{23}}{5^2} = 5^{21}$. Bu da şıklarda yok.
Varsayım 9: Eğer soruda A=5, B=125, C=5 gibi değerler verilseydi ve üsler farklı olsaydı.
Bir ihtimal daha: Belki de işlem sonucunun 125, 1/25, 1/125 gibi çıktığı bir durum vardır. Bunlar 5’in kuvvetleri olarak şöyle ifade edilir: $125 = 5^3$, $frac{1}{25} = 5^{-2}$, $frac{1}{125} = 5^{-3}$.
Bizim sonucumuz $5^{29}$ çıktı. Bu, şıklardaki hiçbir değere uymuyor.
Öğretmen notu: Bu soruda verilen bilgilerle şıklar arasında bir tutarlılık yok. Büyük ihtimalle sorunun yazımında veya şıklarında bir hata bulunmaktadır. Ancak, eğer varsayımsal olarak şıklardan birini elde etmeye çalışırsak, bazı değişiklikler yapmamız gerekir.
Eğer soru şöyle olsaydı: $A = 5^2$, $B = 125^1$, $C = (5^2)^3$ ise $frac{A cdot B}{C}$ işleminin sonucu aşağıdakilerden hangisidir?
A = $5^2$
B = $125 = 5^3$
C = $(5^2)^3 = 5^6$
$frac{5^2 cdot 5^3}{5^6} = frac{5^5}{5^6} = 5^{5-6} = 5^{-1} = frac{1}{5}$. Bu da şıklarda yok.
Eğer soru şöyle olsaydı: $A = 5^8$, $B = 125^1$, $C = (5^2)^3$ ise $frac{A cdot B}{C}$ işleminin sonucu aşağıdakilerden hangisidir?
A = $5^8$
B = $125 = 5^3$
C = $(5^2)^3 = 5^6$
$frac{5^8 cdot 5^3}{5^6} = frac{5^{11}}{5^6} = 5^{11-6} = 5^5$. Bu da şıklarda yok.
Eğer C = $5^2$ olsaydı:
$frac{5^8 cdot 5^{15}}{5^2} = frac{5^{23}}{5^2} = 5^{21}$. Yok.
Eğer C = $5^{15}$ olsaydı:
$frac{5^8 cdot 5^{15}}{5^{15}} = 5^8$. Yok.
Eğer C = $5^{23}$ olsaydı:
$frac{5^8 cdot 5^{15}}{5^{23}} = frac{5^{23}}{5^{23}} = 1$. Yok.
Eğer C = $5^{23-3}$ olsaydı, yani C = $5^{20}$ olsaydı:
$frac{5^{23}}{5^{20}} = 5^3 = 125$. Bu A şıkkı.
Bu durumda C’nin değeri $(5^k)^m$ gibi bir şey olmalıydı ki $5^{20}$ çıksın. Örneğin, $C = (5^4)^5$ veya $C = (5^5)^4$ gibi.
Şu anki haliyle C = $(5^{-2})^3 = 5^{-6}$.
Eğer C = $(5^2)^{-10}$ olsaydı, C = $5^{-20}$ olurdu. O zaman $frac{5^{23}}{5^{-20}} = 5^{43}$ olurdu.
Sonuç (Varsayımsal olarak A şıkkını elde etmek için):
Eğer soruda C değeri öyle verilmiş olsaydı ki, işlem sonucu $5^3$ çıksın, o zaman C’nin $5^{20}$ olması gerekirdi.
Verilen C = $(5^{-2})^3 = 5^{-6}$.
Eğer C yerine $frac{1}{5^{20}}$ olsaydı, o zaman sonuç $5^3$ olurdu.
Bu sorunun orijinal haliyle şıklarla uyumlu bir çözümü bulunmamaktadır.
—
7. $frac{(-2)^4 + 2^5 + (-3)^3}{-3^{-1}}$ işleminin sonucu kaçtır?
Bu soruda pay ve paydayı ayrı ayrı hesaplayıp sonra bölme işlemini yapacağız.
Adım 1: Payı hesaplayalım.
Pay: $(-2)^4 + 2^5 + (-3)^3$
İlk terim: $(-2)^4$. Taban negatif, üs çift. Sonuç pozitif.
$(-2)^4 = (-2) times (-2) times (-2) times (-2) = 4 times 4 = 16$
İkinci terim: $2^5 = 2 times 2 times 2 times 2 times 2 = 32$
Üçüncü terim: $(-3)^3$. Taban negatif, üs tek. Sonuç negatif.
$(-3)^3 = (-3) times (-3) times (-3) = 9 times (-3) = -27$
Payın toplamı: $16 + 32 + (-27)$
$16 + 32 = 48$
$48 + (-27) = 48 – 27 = 21$
Yani pay = 21.
Adım 2: Paydayı hesaplayalım.
Payda: $-3^{-1}$
Negatif üssü pozitif hale getirelim: $3^{-1} = frac{1}{3^1} = frac{1}{3}$
Yani payda = $-frac{1}{3}$.
Adım 3: Bölme işlemini yapalım.
$frac{text{Pay}}{text{Payda}} = frac{21}{-frac{1}{3}}$
Bir sayıyı kesire bölerken, kesrin tersiyle çarparız.
$21 times left(-frac{3}{1}right) = 21 times (-3)$
Adım 4: Sonucu hesaplayalım.
$21 times (-3) = -63$
Yani, işlemin sonucu -63’tür.
Sonuç:
-63
—
8. $left[left(-frac{1}{5}right)^5right]^{-6}$ işleminin sonucu aşağıdakilerden hangisidir?
A) $frac{1}{5^{30}}$
B) $-frac{1}{5^{30}}$
C) $-5^{30}$
D) $5^{30}$
Bu soruda üssün üssü kuralını kullanacağız. Kural şudur: $(a^m)^n = a^{m cdot n}$.
Adım 1: İfadeyi inceleyelim.
$left[left(-frac{1}{5}right)^5right]^{-6}$
Adım 2: İçteki parantezin işaretini belirleyelim.
Tabanımız $-frac{1}{5}$ (negatif) ve üssümüz 5 (tek). Negatif tabanın tek kuvveti negatiftir.
Yani, $left(-frac{1}{5}right)^5 = -left(frac{1}{5}right)^5 = -frac{1^5}{5^5} = -frac{1}{5^5}$
Adım 3: İfadeyi yeniden yazalım.
Şimdi ifademiz şöyle oldu: $left[-frac{1}{5^5}right]^{-6}$
Adım 4: Üssün üssü kuralını uygulayalım.
Burada tabanımız $-frac{1}{5^5}$ (negatif) ve üssümüz -6 (çift). Negatif tabanın çift kuvveti pozitiftir. Sonuç pozitif olacaktır.
Kuralı uygulayarak üsleri çarpacağız:
$left(-frac{1}{5^5}right)^{-6} = left(frac{1}{5^5}right)^{6}$ (Çünkü negatif tabanın çift kuvveti pozitif yapar)
Veya doğrudan kuralı uygulayalım:
$left[left(-frac{1}{5}right)^5right]^{-6} = left(-frac{1}{5}right)^{5 times (-6)}$
$5 times (-6) = -30$
Yani, ifademiz $left(-frac{1}{5}right)^{-30}$ oldu.
Adım 5: Negatif üssü pozitif yapalım.
$left(-frac{1}{5}right)^{-30} = left(frac{1}{-frac{1}{5}}right)^{30}$ (Kesrin tersini alıp üssü pozitif yaptık)
Kesrin tersini alalım: $frac{1}{-frac{1}{5}} = 1 times left(-frac{5}{1}right) = -5$
İfademiz şimdi şöyle oldu: $(-5)^{30}$
Adım 6: Sonucu belirleyelim.
Tabanımız -5 (negatif) ve üssümüz 30 (çift). Negatif tabanın çift kuvveti pozitiftir.
Yani, $(-5)^{30} = 5^{30}$
Şimdi şıklara bakalım:
A) $frac{1}{5^{30}} = 5^{-30}$
B) $-frac{1}{5^{30}} = -5^{-30}$
C) $-5^{30}$
D) $5^{30}$
Bizim bulduğumuz sonuç $5^{30}$’dur. Bu da D şıkkında yer alıyor.
Sonuç:
D) $5^{30}$
—
9. $A = left(frac{1}{49}right)^5$, $B = (-7)^{-6}$ ise $frac{A}{B}$ işleminin sonucu kaçtır?
Bu soruda da verilen A ve B değerlerini hesaplayıp $frac{A}{B}$ işlemini yapacağız. Yine amacımız tabanları aynı yapmak.
Adım 1: A ve B’yi 7’nin kuvveti şeklinde yazalım.
A = $left(frac{1}{49}right)^5$. 49’u 7’nin kuvveti olarak yazalım: $49 = 7^2$.
A = $left(frac{1}{7^2}right)^5$. Kesrin tersini alırsak üssü negatif yaparız: $frac{1}{7^2} = 7^{-2}$.
A = $(7^{-2})^5$. Üssün üssü kuralını uygulayalım: $(a^m)^n = a^{m cdot n}$.
A = $7^{-2 cdot 5} = 7^{-10}$
B = $(-7)^{-6}$. Taban negatif, üs çift. Bu yüzden sonuç pozitif olur.
B = $(7)^{-6} = 7^{-6}$
Adım 2: Şimdi $frac{A}{B}$ işlemini yapalım.
$frac{A}{B} = frac{7^{-10}}{7^{-6}}$
Adım 3: Bölme işlemini yapalım.
Tabanları aynı olan üslü ifadeleri bölerken üsleri çıkarırız: $frac{a^m}{a^n} = a^{m-n}$.
$7^{-10 – (-6)} = 7^{-10+6} = 7^{-4}$
Adım 4: Sonucu hesaplayalım.
$7^{-4} = frac{1}{7^4}$
$7^4 = 7 times 7 times 7 times 7 = 49 times 49$
Şimdi 49 ile 49’u çarpalım:
49
x 49
—–
441 (9 x 49)
1960 (40 x 49)
—–
2401
Yani, $7^4 = 2401$.
Bu durumda $7^{-4} = frac{1}{2401}$.
Sonuç:
$frac{1}{2401}$
—
10. Aşağıdaki eşitliklerden doğru olanların başındaki kutucuğa “D”, yanlış olanların başındaki kutucuğa “Y” yazınız.
$square 2^3 + 2^5 = 2^8$
$square 3^5 = 5^3$
$square 3^2 cdot 3^7 = 3^{14}$
$square 3^3 cdot 3^3 cdot 3^3 = 3^9$
$square left(frac{125}{5^2}right)^{-2} = frac{1}{25}$
Bu soruda verilen eşitliklerin doğruluğunu kontrol edeceğiz.
1. Eşitlik: $2^3 + 2^5 = 2^8$
Sol tarafı hesaplayalım:
$2^3 = 2 times 2 times 2 = 8$
$2^5 = 2 times 2 times 2 times 2 times 2 = 32$
$2^3 + 2^5 = 8 + 32 = 40$
Sağ tarafı hesaplayalım:
$2^8 = 2 times 2 times 2 times 2 times 2 times 2 times 2 times 2 = 256$
