

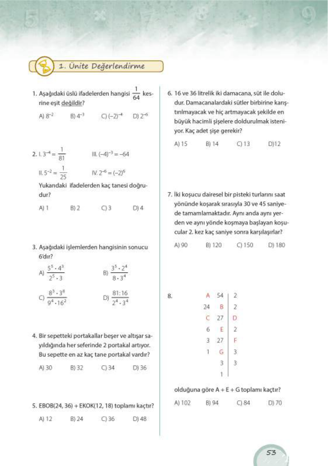
Merhaba sevgili öğrencim, hoş geldin! Ben Matematik öğretmeninim. Bugün seninle bu 1. Ünite Değerlendirme sorularını, sanki sınıfta tahtada çözüyormuşuz gibi adım adım inceleyeceğiz. LGS yolculuğunda bu konular çok önemli, o yüzden dikkatle dinle. Hazırsan başlayalım!
1. Aşağıdaki üslü ifadelerden hangisi 1/64 kesrine eşit değildir?
Bu soruda bizden $1/64$ sonucunu vermeyen şıkkı bulmamız isteniyor. Üslü sayılarda negatif kuvvetin, sayıyı ters çevirdiğini (pay ve paydanın yer değiştirdiğini) hatırlayalım.
- A) $8^{-2}$ ifadesi, $frac{1}{8^2}$ demektir. $8 cdot 8 = 64$ olduğu için sonuç $frac{1}{64}$ olur. (Eşittir)
- B) $4^{-3}$ ifadesi, $frac{1}{4^3}$ demektir. $4 cdot 4 cdot 4 = 64$ olduğu için sonuç $frac{1}{64}$ olur. (Eşittir)
- C) $(-2)^{-4}$ ifadesine dikkat edelim. Taban negatif olsa bile kuvvetimiz çift sayı (4) olduğu için sonuç pozitif çıkacaktır. Bu ifade $frac{1}{(-2)^4}$ demektir. 2’nin 4. kuvveti 16’dır. Yani sonuç $frac{1}{16}$ olur. (Eşit Değildir!)
- D) $2^{-6}$ ifadesi, $frac{1}{2^6}$ demektir. 2’yi 6 kere yan yana çarparsak 64 buluruz. Sonuç $frac{1}{64}$ olur. (Eşittir)
Doğru Cevap: C
2. Yukarıdaki ifadelerden kaç tanesi doğrudur?
Maddeleri tek tek inceleyelim:
- I. $3^{-4} = frac{1}{81}$ demiş. $3^4 = 81$’dir. Negatif kuvvet olduğu için ters çevrilir ve $frac{1}{81}$ olur. (Doğru)
- II. $5^{-2} = frac{1}{25}$ demiş. $5^2 = 25$’tir. Negatif kuvvetten dolayı $frac{1}{25}$ olur. (Doğru)
- III. $(-4)^{-3} = -64$ demiş. Burada bir tuzak var! Negatif kuvvet sayının işaretini değiştirmez, sadece takla attırır. Bu işlemin sonucu $frac{1}{(-4)^3}$ yani $-frac{1}{64}$ olmalıydı. (Yanlış)
- IV. $2^{-6} = (-2)^6$ demiş. $2^{-6} = frac{1}{64}$’tür. Ancak $(-2)^6$, negatif sayının çift kuvveti olduğu için $+64$’tür. Biri kesirli sayı, diğeri tam sayı. (Yanlış)
Toplamda 2 tane doğru ifade vardır (I ve II).
Doğru Cevap: B
3. Aşağıdaki işlemlerden hangisinin sonucu 6’dır?
Şıkları tek tek deneyerek gidelim. Üslü sayılarda çarpma ve bölme kurallarını kullanacağız.
- A) $frac{5^5 cdot 4^3}{2^5 cdot 3}$ işleminde tabanlar çok farklı, sadeleştirme zor görünüyor.
- B) $frac{3^5 cdot 2^4}{8 cdot 3^4}$ işlemini düzenleyelim. Paydadaki 8 sayısını $2^3$ olarak yazabiliriz.
İşlem şu hale gelir: $frac{3^5 cdot 2^4}{2^3 cdot 3^4}$
Aynı tabanlıları bölerken üsleri çıkarırız:
3’ler için: $3^{(5-4)} = 3^1 = 3$
2’ler için: $2^{(4-3)} = 2^1 = 2$
Kalanları çarpalım: $3 cdot 2 = 6$
Bingoooo! Aradığımız sonucu bulduk.
Doğru Cevap: B
4. Bir sepetteki portakallar beşer ve altışar sayıldığında her seferinde 2 portakal artıyor. Bu sepette en az kaç tane portakal vardır?
Bu klasik bir EKOK (En Küçük Ortak Kat) sorusudur. Portakallar hem 5’in hem de 6’nın katından 2 fazla olmalı.
Adım 1: Önce 5 ve 6’nın en küçük ortak katını bulalım. 5 ve 6 aralarında asal olduğu için çarpımları EKOK’u verir.
EKOK(5, 6) = $5 cdot 6 = 30$
Adım 2: Her seferinde 2 portakal arttığı için bulduğumuz sayıya 2 eklemeliyiz.
$30 + 2 = 32$
Doğru Cevap: B
5. EBOB(24, 36) + EKOK(12, 18) toplamı kaçtır?
Bu soruyu iki parçada çözeceğiz.
Adım 1: EBOB(24, 36)’yı bulalım. İkisini de bölen en büyük sayıyı arıyoruz.
24 ve 36’nın ikisi de 12’ye bölünür.
$24 = 12 cdot 2$
$36 = 12 cdot 3$
EBOB(24, 36) = 12
Adım 2: EKOK(12, 18)’i bulalım. İkisinin de katı olan en küçük sayıyı arıyoruz.
12’nin katları: 12, 24, 36, 48…
18’in katları: 18, 36, 54…
En küçük ortak kat 36’dır.
EKOK(12, 18) = 36
Adım 3: Toplayalım.
$12 + 36 = 48$
Doğru Cevap: D
6. 16 ve 36 litrelik iki damacana, süt ile doludur. Damacanalardaki sütler birbirine karıştırılmayacak ve hiç artmayacak şekilde en büyük hacimli şişelere doldurulmak isteniyor. Kaç adet şişe gerekir?
“En büyük hacimli şişelere bölmek” demek, bu sayıların EBOB’unu bulmak demektir.
Adım 1: 16 ve 36’nın EBOB’unu bulalım.
16’nın bölenleri: 1, 2, 4, 8, 16
36’nın bölenleri: 1, 2, 3, 4, 6, 9, 12, 18, 36
Ortak olanların en büyüğü 4‘tür. Yani bir şişe 4 litre alacak.
Adım 2: Kaç şişe gerektiğini bulmak için toplam sütü şişe hacmine bölebiliriz veya ayrı ayrı hesaplarız.
1. damacana için: $16 / 4 = 4$ şişe
2. damacana için: $36 / 4 = 9$ şişe
Adım 3: Toplam şişe sayısı:
$4 + 9 = 13$ şişe
Doğru Cevap: C
7. İki koşucu dairesel bir pisteki turlarını saat yönünde koşarak sırasıyla 30 ve 45 saniyede tamamlamaktadır. Aynı anda aynı yerden ve aynı yönde koşmaya başlayan koşucular 2. kez kaç saniye sonra karşılaşırlar?
Bu bir “tekrar eden olaylar” sorusudur, yani EKOK kullanacağız.
Adım 1: 30 ve 45’in EKOK’unu bulalım.
30 = $2 cdot 3 cdot 5$
45 = $3^2 cdot 5$
EKOK(30, 45) = $2 cdot 3^2 cdot 5 = 2 cdot 9 cdot 5 = 90$ saniye.
Bu şu demek: Her 90 saniyede bir başlangıç noktasında yan yana gelirler.
Adım 2: Soru bizden 2. kez karşılaşmalarını istiyor.
1. karşılaşma 90. saniyede olur.
2. karşılaşma $90 cdot 2 = 180$. saniyede olur.
Doğru Cevap: D
8. Algoritma sorusunda A + E + G toplamı kaçtır?
Bölen listesi (asal çarpan algoritması) verilmiş. Harfleri bulmak için en alttan veya ipuçlarından yola çıkacağız. Tabloyu dikkatlice okuyalım.
Adım 1: A’yı bulalım.
Tablonun en üst satırında A sayısı 2’ye bölünmüş ve alt satırda 24 olmuş. (Sol sütun: A -> 24)
Hangi sayıyı 2’ye bölersek 24 olur?
$A = 24 cdot 2 = 48$
Adım 2: E’yi bulalım.
Tablonun sağ sütununa bakalım. 3. satırda 27 sayısı var. Yanındaki bölen D (ki C=12 ve C/D=6 olduğuna göre D=2’dir).
27 sayısı 2’ye bölünmediği için bir alt satıra (E harfine) aynen geçer.
Yani $E = 27$’dir.
Adım 3: G’yi bulalım.
Sağ sütunda en alttan yukarı çıkalım.
En altta 1 var. Yanındaki bölen 3. Demek ki bir üstteki sayı 3’tür (çünkü 3/3=1).
Onun bir üstünde G harfi var. G’nin yanındaki bölen 3 ve G’nin altındaki sayı 3.
Yani $G / 3 = 3$ olmuş.
Buradan $G = 3 cdot 3 = 9$ bulunur.
Adım 4: Toplamı bulalım.
A = 48
E = 27
G = 9
Toplama işlemi:
48
27
+ 9
—-
84
Doğru Cevap: C
