

Merhaba sevgili öğrencim! Hadi gel seninle bu matematik sorularını tek tek, tane tane inceleyelim. Matematik aslında bir bulmaca gibidir, kuralları bildiğinde çözmesi çok zevklidir. Şimdi arkana yaslan ve çözümleri dikkatlice takip et.
8. Soru: $frac{2x+1}{5} – frac{1-x}{2} = frac{x-3}{10} + 1$ denklemini sağlayan x değeri aşağıdakilerden hangisidir?
Bu bir rasyonel denklem sorusu. Kesirlerden kurtulmak için paydaları eşitlememiz gerekiyor. Paydalara bakıyoruz: 5, 2 ve 10. Bunların en küçük ortak katı 10’dur. Ayrıca en sondaki +1 tam sayısının paydasında gizli bir 1 olduğunu unutmuyoruz ($frac{1}{1}$).
Adım 1: Tüm kesirlerin paydasını 10 yapacak şekilde genişletelim.
- Birinci kesri 2 ile çarpalım: $frac{2 cdot (2x+1)}{10}$
- İkinci kesri 5 ile çarpalım: $frac{5 cdot (1-x)}{10}$
- Üçüncü kesir zaten 10, aynen kalır: $frac{x-3}{10}$
- Son terimi 10 ile genişletelim: $frac{10}{10}$
Adım 2: Şimdi paydalar eşit olduğu için onları atıp sadece paylarla işlem yapabiliriz. Burada çok önemli bir nokta var! İkinci kesrin önündeki eksi işareti, kesrin tamamını etkiler. Parantez kullanarak yazalım ki hata yapmayalım.
$2(2x+1) – 5(1-x) = (x-3) + 10$
Adım 3: Parantezleri dağıtalım.
- $4x + 2 – 5 + 5x = x – 3 + 10$ (Dikkat: $-5$ ile $-x$’i çarpınca $+5x$ olur!)
Adım 4: Benzer terimleri toplayalım.
- Sol taraf: $4x + 5x$ daha $9x$ eder. $+2 – 5$ daha $-3$ eder. Yani: $9x – 3$
- Sağ taraf: $-3 + 10$ daha $+7$ eder. Yani: $x + 7$
- Denklemimiz: $9x – 3 = x + 7$
Adım 5: Bilinenler bir tarafa, bilinmeyenler diğer tarafa. $x$’i sola, $-3$’ü sağa atalım.
- $9x – x = 7 + 3$
- $8x = 10$
Adım 6: Her iki tarafı 8’e bölelim.
- $x = frac{10}{8}$
- Sadeleştirirsek (her ikisini 2’ye böl): $x = frac{5}{4}$
Sonuç: Doğru cevap D seçeneğidir.
9. Soru: Aşağıdaki doğruların grafiklerinin hangisi x eksenine paraleldir?
Bu soruda grafiklerin duruşunu hayal etmemiz lazım. Bir doğrunun x eksenine paralel olması demek, yatay bir çizgi olması demektir. Yatay çizgilerin denkleminde $x$ harfi bulunmaz, sadece $y = text{bir sayı}$ şeklinde olurlar.
Seçenekleri inceleyelim:
- A) $x = 2$: Bu doğru, x eksenini 2 noktasında kesen dikey bir doğrudur. Yani y eksenine paraleldir. (Yanlış)
- B) $y = -3$: Bu denklemde x yok. Bu, y eksenini -3 noktasında kesen yatay bir doğrudur. Yani x eksenine paraleldir. (Doğru)
- C) $y – 3x = 0$: İçinde hem x hem y var, bu eğik bir doğrudur. (Yanlış)
- D) $x = 3y$: İçinde hem x hem y var, bu da eğik bir doğrudur. (Yanlış)
Sonuç: Doğru cevap B seçeneğidir.
10. Soru: $6x + ay – 5 = 0$ doğrusunun eğimi 2 ise a kaçtır?
Bir doğrunun eğimini bulmak için en pratik yöntem, denklemi $y$’yi yalnız bırakacak şekilde düzenlemektir. Denklem $y = mx + n$ haline geldiğinde, x’in katsayısı ($m$) bize eğimi verir.
Adım 1: Denklemde $y$’li terimi yalnız bırakalım.
- $6x + ay – 5 = 0$
- $ay = -6x + 5$ ($6x$ ve $-5$’i karşıya işaret değiştirerek attık)
Adım 2: $y$’yi tam yalnız bırakmak için her terimi $a$’ya bölelim.
- $y = frac{-6}{a}x + frac{5}{a}$
Adım 3: Şimdi x’in katsayısına bakalım. Bu katsayı eğimdir.
- Eğim = $frac{-6}{a}$
Adım 4: Soruda eğimin 2 olduğu söylenmiş. Eşitleyelim.
- $frac{-6}{a} = 2$
- Burada içler dışlar çarpımı yapabilirsin veya “Hangi sayıyı bölersem 2 çıkar?” diye düşünebilirsin.
- $2a = -6$
- $a = -3$
Sonuç: Doğru cevap C seçeneğidir.
11. Soru: $x > -8$ eşitsizliğinin sayı doğrusunda gösterimi aşağıdakilerden hangisidir?
Burada iki şeye dikkat etmeliyiz:
- Sınır Değeri ve İşaret: Eşitsizliğimiz büyüktür ($>$) işareti taşıyor. Eşittir çizgisi yok. Bu demek oluyor ki -8 sayısı çözüme dahil değil. Sayı doğrusunda -8’in olduğu yuvarlağın içi boş olmalı.
- Yön: $x$, -8’den büyük sayılar demek. Sayı doğrusunda büyük sayılar her zaman sağ taraftadır. Yani ok işareti sağa doğru gitmeli.
Şıklara bakalım:
- A) -8’de içi boş yuvarlak var ve ok sağa gidiyor. (Aradığımız bu!)
- B) -8’de içi dolu yuvarlak var ve ok sola gidiyor. (Yanlış)
- C) -8’de içi dolu yuvarlak var. (Yanlış, eşitlik yok)
- D) -8’de içi boş yuvarlak var ama ok sola gidiyor. (Yanlış, küçükleri gösteriyor)
Sonuç: Doğru cevap A seçeneğidir.
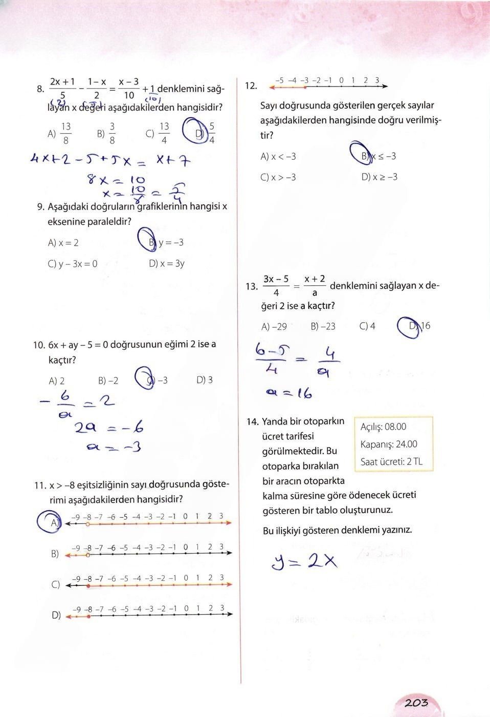
12. Soru: Sayı doğrusunda gösterilen gerçek sayılar aşağıdakilerden hangisinde doğru verilmiştir?
Grafiği inceleyelim:
- Kırmızı çizgi -3 sayısından başlıyor.
- -3 noktasındaki yuvarlağın içi dolu. Bu, -3’ün de dahil olduğunu yani “küçük eşit” ($le$) veya “büyük eşit” ($ge$) sembolü kullanmamız gerektiğini gösterir.
- Ok işareti -3’ten başlayıp sol tarafa (negatif tarafa, azalan tarafa) doğru gidiyor. Bu, sayıların -3’ten küçük olduğunu gösterir.
Birleştirelim: Sayılarımız ($x$), -3’ten küçük veya ona eşit olmalı. Yani; $x le -3$.
Sonuç: Doğru cevap B seçeneğidir.
13. Soru: $frac{3x-5}{4} = frac{x+2}{a}$ denklemini sağlayan x değeri 2 ise a kaçtır?
Bu soruda bize cevabın (x’in) 2 olduğu söylenmiş. Yapmamız gereken tek şey, denklemde x gördüğümüz yere 2 yazmak ve sonra a’yı bulmak.
Adım 1: x yerine 2 yazalım.
- $frac{3 cdot 2 – 5}{4} = frac{2 + 2}{a}$
Adım 2: İşlemleri yapalım.
- Pay kısımlarını düzenleyelim: $3 cdot 2 = 6$, $6 – 5 = 1$. Diğer tarafta $2 + 2 = 4$.
- Yeni hali: $frac{1}{4} = frac{4}{a}$
Adım 3: İçler dışlar çarpımı yapalım.
- $1 cdot a = 4 cdot 4$
- $a = 16$
Sonuç: Doğru cevap D seçeneğidir.
14. Soru: Otopark ücret tarifesi sorusu. Tablo ve denklem oluşturunuz.
Soruda verilen bilgiler şunlar: Saat ücreti 2 TL. Yani her bir saat için 2 TL ödeniyor.
a) Tablo Oluşturma:
Burada “Süre (Saat)” bizim bağımsız değişkenimiz, “Ücret (TL)” ise bağımlı değişkenimizdir.
Tablo: Otopark Ücret Tarifesi
- 1 Saat $rightarrow$ $1 cdot 2 = 2$ TL
- 2 Saat $rightarrow$ $2 cdot 2 = 4$ TL
- 3 Saat $rightarrow$ $3 cdot 2 = 6$ TL
- 4 Saat $rightarrow$ $4 cdot 2 = 8$ TL
- …
- x Saat $rightarrow$ $x cdot 2 = 2x$ TL
b) Denklemi Yazma:
İlişkiyi gördün mü? Saat sayısını neyle çarparsak ücreti buluyoruz? Evet, 2 ile.
- Otoparkta kalınan süreye x diyelim.
- Ödenecek ücrete y diyelim.
Bu ilişkiyi gösteren doğrusal denklem şudur:
$y = 2x$
(Not: Otopark 08.00-24.00 arası açık olduğu için x değeri en fazla 16 saat olabilir, ama denklemimiz temel kuralı $y=2x$ olarak ifade eder.)
