

Harika bir çalışma! Merhaba sevgili öğrencim, ben 8. sınıf matematik öğretmenin. Gönderdiğin bu alıştırmaları birlikte, adım adım ve kolayca anlayacağın bir şekilde çözelim. Üslü sayılar konusu ilk başta biraz karışık gelebilir ama kuralları öğrendiğimizde ne kadar keyifli olduğunu göreceksin. Haydi başlayalım!
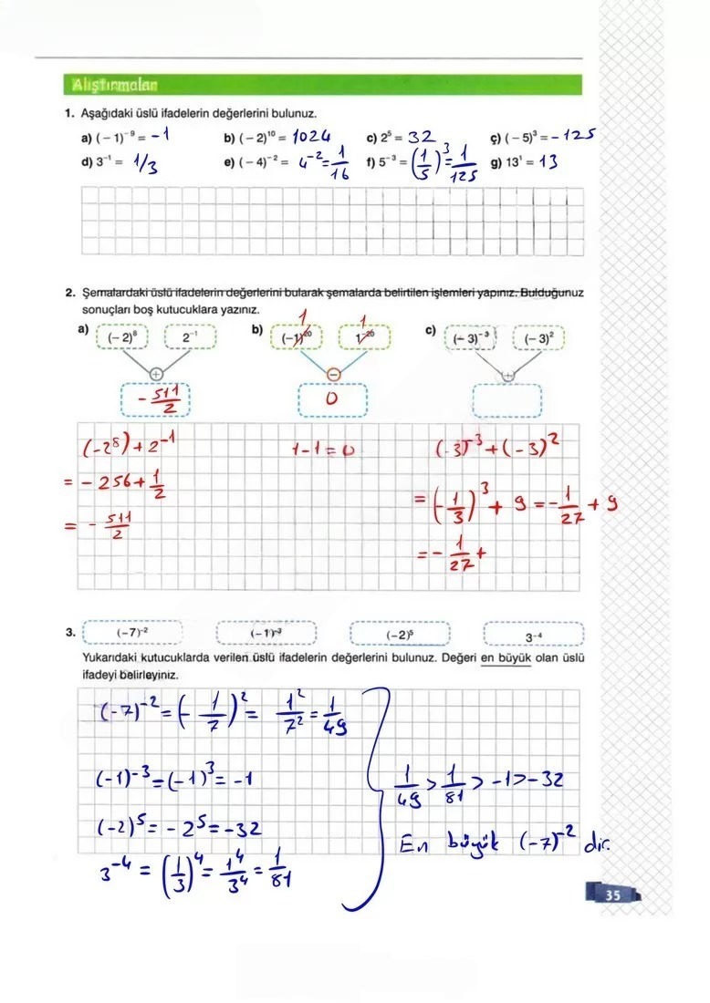
1. Aşağıdaki üslü ifadelerin değerlerini bulunuz.
Bu soruda üslü sayıların temel kurallarını hatırlayacağız. Negatif üs, parantezli negatif taban gibi durumlara dikkat edelim.
a) (-1)-9 = ?
Adım 1: Önce tabana ve üsse bakalım. Tabanımız -1, üssümüz -9. Üssün negatif olması, sayıyı ters çevirmemiz gerektiği anlamına gelir. Yani bu ifade aslında 1 / (-1)9 demektir.
Adım 2: Şimdi paydadaki (-1)9‘un değerini bulalım. Unutma, (-1)’in kuvvetlerinde üs tek sayı ise sonuç her zaman -1, üs çift sayı ise sonuç her zaman +1 olur. 9 tek bir sayı olduğu için (-1)9 = -1’dir.
Adım 3: Şimdi bulduğumuz değeri yerine yazalım: 1 / (-1) = -1.
Sonuç: -1
b) (-2)10 = ?
Adım 1: Tabanımız parantez içinde ve negatif (-2). Üssümüz ise 10, yani çift bir sayı.
Adım 2: Kuralımızı hatırlayalım:
Parantez içindeki negatif bir sayının üssü çift ise sonuç her zaman pozitiftir.
O zaman bu işlem aslında 210 işleminin sonucuyla aynıdır.
Adım 3: 2’yi 10 defa kendisiyle çarptığımızda 1024 buluruz. (2×2=4, 4×2=8, 8×2=16, 16×2=32, 32×2=64, 64×2=128, 128×2=256, 256×2=512, 512×2=1024)
Sonuç: 1024
c) 25 = ?
Bu, 2’yi 5 defa kendisiyle çarpmak demektir.
2 x 2 x 2 x 2 x 2 = 32
Sonuç: 32
ç) (-5)3 = ?
Adım 1: Tabanımız parantez içinde ve negatif (-5). Üssümüz ise 3, yani tek bir sayı.
Adım 2: Kuralımız neydi?
Parantez içindeki negatif bir sayının üssü tek ise sonuç her zaman negatiftir.
Adım 3: Önce 53‘ü bulalım: 5 x 5 x 5 = 125. Sonucumuz negatif olacağı için -125 olur.
Sonuç: -125
d) 3-1 = ?
Negatif üs, sayının çarpma işlemine göre tersini almamız gerektiğini söyler. Yani sayıyı “takla attırırız”.
3-1 = 1 / 31 = 1/3
Sonuç: 1/3
e) (-4)-2 = ?
Adım 1: Yine negatif bir üs var. Hemen sayımızı ters çevirelim ve üssü pozitif yapalım: 1 / (-4)2
Adım 2: Şimdi paydadaki (-4)2‘nin değerini bulalım. Taban negatif, üs çift (2). O zaman sonuç pozitif olacak. 42 = 16.
Adım 3: Bulduğumuz değeri yerine yazalım.
Sonuç: 1/16
f) 5-3 = ?
Adım 1: Negatif üssü gördük, hemen sayıyı ters çeviriyoruz: 1 / 53
Adım 2: 53‘ün değerini hesaplayalım: 5 x 5 x 5 = 125.
Sonuç: 1/125
g) 131 = ?
Bir sayının 1. kuvveti her zaman kendisine eşittir. Bu en kolay kurallardan biridir!
Sonuç: 13
2. Şemalardaki üslü ifadelerin değerlerini bularak şemalarda belirtilen işlemleri yapınız. Bulduğunuz sonuçları boş kutucuklara yazınız.
Bu soruda önce üslü ifadelerin değerlerini bulacağız, sonra da aradaki işlemi (toplama veya çıkarma) yapacağız.
a) (-2)0 + 2-1
Adım 1: İlk sayımız (-2)0. Kuralı hatırlayalım: Sıfır hariç herhangi bir sayının 0. kuvveti daima 1‘dir. O halde (-2)0 = 1.
Adım 2: İkinci sayımız 2-1. Negatif üs sayıyı ters çeviriyordu. O halde 2-1 = 1/2.
Adım 3: Şimdi bu iki sonucu toplayalım: 1 + 1/2. Tam sayıyla kesri toplarken kolayca şöyle yapabiliriz: 1’i 2/2 olarak düşünelim. (2/2) + (1/2) = 3/2.
Sonuç: 3/2
b) (-1)20 – 1-20
Adım 1: İlk sayımız (-1)20. Taban -1 ve üs 20 (çift sayı). Çift kuvvet olduğu için sonuç +1 olur.
Adım 2: İkinci sayımız 1-20. Taban 1 olduğu için bütün kuvvetleri yine 1’dir. Negatif üs de sonucu değiştirmez: 1 / 120 = 1/1 = 1. O halde 1-20 = 1.
Adım 3: Şimdi çıkarma işlemini yapalım: 1 – 1 = 0.
Sonuç: 0
c) (-3)-3 + (-3)2
Adım 1: İlk sayımız (-3)-3. Negatif üsten kurtulmak için ters çevirelim: 1 / (-3)3. Şimdi paydadaki (-3)3‘ü bulalım. Taban negatif, üs tek (3), o zaman sonuç negatif olur. 33 = 27. Yani (-3)3 = -27. O halde ilk sayımızın değeri -1/27.
Adım 2: İkinci sayımız (-3)2. Taban negatif, üs çift (2), o zaman sonuç pozitif olur. 32 = 9. Yani (-3)2 = 9.
Adım 3: Şimdi toplama işlemini yapalım: (-1/27) + 9. Paydaları eşitlememiz gerek. 9’un altında gizli bir 1 vardır. Paydayı 27 yapmak için 9’u 27 ile çarparız: 9 x 27 = 243. Yani işlemimiz: (-1/27) + (243/27) = 242/27.
Sonuç: 242/27
3. Yukarıdaki kutucuklarda verilen üslü ifadelerin değerlerini bulunuz. Değeri en büyük olan üslü ifadeyi belirleyiniz.
Bu soruda da önce tüm ifadelerin değerlerini tek tek bulacağız, sonra da bu değerleri birbiriyle karşılaştırıp en büyüğünü seçeceğiz.
(-7)-2 = 1 / (-7)2 = 1 / 49
(Negatif üs için ters çevirdik. Sonra negatif tabanın çift kuvveti pozitif oldu.)
(-1)-3 = 1 / (-1)3 = 1 / (-1) = -1
(Negatif üs için ters çevirdik. Sonra negatif tabanın tek kuvveti negatif oldu.)
(-2)5 = -32
(Negatif tabanın tek kuvveti negatiftir. 25 = 32.)
3-4 = 1 / 34 = 1 / 81
(Negatif üs için ters çevirdik. 34 = 81.)
Karşılaştırma Zamanı:
Şimdi bulduğumuz değerlere bakalım: 1/49, -1, -32, 1/81.
Adım 1: En büyük değeri aradığımız için negatif sayıları (-1 ve -32) hemen eleyebiliriz. Çünkü pozitif sayılar her zaman negatif sayılardan büyüktür.
Adım 2: Geriye iki pozitif kesir kaldı: 1/49 ve 1/81. Bu kesirleri karşılaştırmanın kolay bir yolu var.
Eğer iki kesrin payları eşitse (bizim durumumuzda ikisi de 1), paydası küçük olan kesir daha büyüktür.
Bir pastayı 49 dilime bölüp bir dilim almak mı daha büyük bir parça verir, yoksa 81 dilime bölüp bir dilim almak mı? Tabii ki 49’a bölmek!
Adım 3: 49 < 81 olduğu için, 1/49 > 1/81’dir. Yani en büyük değer 1/49’dur.
Sonuç: Değeri en büyük olan üslü ifade (-7)-2‘dir.
Umarım çözümler anlaşılır olmuştur. Unutma, bol bol pratik yaparak bu konuda çok daha hızlanabilirsin. Başarılar dilerim
