

Harika bir çalışma! Matematik dersimizin en keyifli konularından biri olan çarpanlara ayırma ile ilgili bu soruları birlikte çözelim. Unutma, bu konu bir bulmaca çözmek gibi, doğru parçaları bir araya getirdiğimizde her şey yerli yerine oturur. Haydi başlayalım!
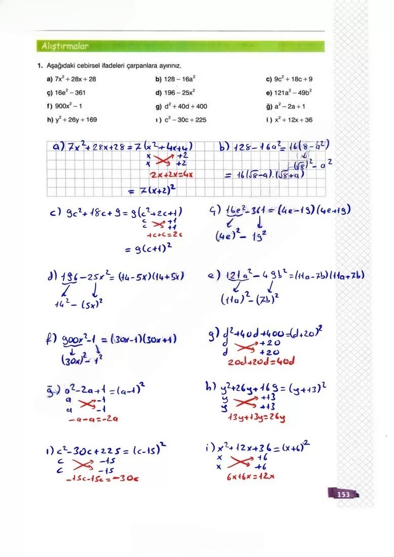
1. Soru: Aşağıdaki cebirsel ifadeleri çarpanlara ayırınız.
Bu soruda bize verilen ifadeleri, onları oluşturan daha basit ifadelerin çarpımı şeklinde yazacağız. Bazen ortak paranteze alacağız, bazen de tam kare veya iki kare farkı gibi özdeşliklerden faydalanacağız.
a) 7x² + 28x + 28
Çözüm:
Adım 1: İlk olarak ifadedeki tüm terimlerde ortak bir çarpan var mı diye bakalım. 7, 28 ve 28 sayılarının hepsi 7’ye tam bölünür. O zaman ifadeyi 7 ortak parantezine alabiliriz.
7(x² + 4x + 4)
Adım 2: Şimdi parantez içindeki x² + 4x + 4 ifadesine odaklanalım. Bu ifade sana bir yerden tanıdık geliyor mu? Evet, bu bir tam kare ifade! Birincinin karesi (x²), ikincinin karesi (2²=4) ve ortadaki terim de birinci ile ikincinin çarpımının iki katı (2 * x * 2 = 4x). Yani bu ifade (x + 2)² demektir.
Sonuç: İki adımı birleştirdiğimizde, ifadenin çarpanlara ayrılmış hali şöyle olur:
7(x + 2)²
b) 128 – 16a²
Çözüm:
Adım 1: Yine ilk olarak ortak çarpan arıyoruz. 128 ve 16 sayılarının ikisi de 16’ya bölünür. O zaman ifadeyi 16 ortak parantezine alalım.
16(8 – a²)
Adım 2: Parantez içindeki ifade (8 – a²) bir tam kare veya iki kare farkı özdeşliğine tam olarak uymuyor, çünkü 8 bir tam kare sayı değil. Bu yüzden bu ifadeyi bu şekilde bırakıyoruz.
Sonuç:
16(8 – a²)
c) 9c² + 18c + 9
Çözüm:
Adım 1: Ortak çarpan var mı? Evet, 9, 18 ve 9’un hepsi 9’a bölünür. 9 parantezine alalım.
9(c² + 2c + 1)
Adım 2: Parantez içindeki c² + 2c + 1 ifadesi yine bir tam kare! Birincinin karesi (c²), ikincinin karesi (1²) ve ortadaki de ikisinin çarpımının iki katı (2 * c * 1 = 2c). Bu ifade (c + 1)²’nin açılımıdır.
Sonuç:
9(c + 1)²
d) 196 – 25x²
Çözüm:
Adım 1: Bu ifadeye dikkatlice bakalım. İki tane tam kare ifadenin farkı şeklinde yazılmış. Bu bize “iki kare farkı” özdeşliğini hatırlatmalı: a² – b² = (a – b)(a + b).
Burada 196 = 14² ve 25x² = (5x)² ‘dir.
Adım 2: Özdeşliği uygulayalım. a yerine 14, b yerine 5x yazacağız.
(14 – 5x)(14 + 5x)
Sonuç:
(14 – 5x)(14 + 5x)
e) 121a² – 49b²
Çözüm:
Adım 1: Tıpkı bir önceki soru gibi, bu da bir “iki kare farkı” özdeşliği.
121a² = (11a)² ve 49b² = (7b)² ‘dir.
Adım 2: a² – b² = (a – b)(a + b) formülünde yerine koyalım.
(11a – 7b)(11a + 7b)
Sonuç:
(11a – 7b)(11a + 7b)
f) 900x² – 1
Çözüm:
Adım 1: Yine bir iki kare farkı! 1’in de bir tam kare olduğunu unutmayalım (1=1²).
900x² = (30x)² ve 1 = 1²
Adım 2: Formülde yerine yazalım.
(30x – 1)(30x + 1)
Sonuç:
(30x – 1)(30x + 1)
g) d² + 40d + 400
Çözüm:
Adım 1: Bu ifade bir tam kare olabilir mi? Kontrol edelim. Birinci terim d’nin karesi (d²), üçüncü terim 20’nin karesi (20²=400).
Adım 2: Ortadaki terim, birinci ve üçüncünün kareköklerinin çarpımının 2 katı mı? Yani 2 * d * 20 = 40d mi? Evet, öyle! O zaman bu ifade (d + 20)²‘dir.
Sonuç:
(d + 20)²
ğ) a² – 2a + 1
Çözüm:
Adım 1: Bu çok tanıdık bir tam kare ifade. Birinci terim a’nın karesi (a²), üçüncü terim 1’in karesi (1²=1).
Adım 2: Ortadaki terim eksi olduğu için bu (a – 1)²’nin açılımı olabilir. Kontrol edelim: 2 * a * 1 = 2a. İşaret de tutuyor. Harika!
Sonuç:
(a – 1)²
h) y² + 26y + 169
Çözüm:
Adım 1: Tam kare mi diye kontrol zamanı! y²’nin karekökü y. 169’un karekökü 13.
Adım 2: Ortadaki terim 2 * y * 13 = 26y mi? Evet, tam olarak o!
Sonuç:
(y + 13)²
ı) c² – 30c + 225
Çözüm:
Adım 1: c²’nin karekökü c. 225’in karekökü 15.
Adım 2: Ortadaki terim negatif. O zaman (c – 15)² olabilir. Kontrol edelim: 2 * c * 15 = 30c. İşaret de tutuyor. Süper!
Sonuç:
(c – 15)²
i) x² + 12x + 36
Çözüm:
Adım 1: x²’nin karekökü x. 36’nın karekökü 6.
Adım 2: Ortadaki terim 2 * x * 6 = 12x mi? Evet!
Sonuç:
(x + 6)²
2. Soru: Cebir karolarıyla yanda modellenen çarpanlara ayırma işlemini yazınız.
Çözüm:
Adım 1: Modeldeki parçaları sayalım ve cebirsel olarak ifade edelim.
- 1 tane sarı büyük kare var, bu x²‘yi temsil eder.
- 6 tane mavi dikdörtgen var, her biri x‘i temsil eder. Toplamda 6x eder.
- 9 tane turuncu küçük kare var, her biri 1‘i temsil eder. Toplamda 9 eder.
Adım 2: Tüm bu parçaları topladığımızda elde ettiğimiz cebirsel ifade şudur: x² + 6x + 9.
Adım 3: Bu karolar bir araya gelerek büyük bir kare oluşturmuşlar. Bu büyük karenin bir kenar uzunluğunu bulalım. Sarı karenin bir kenarı ‘x’, turuncu karelerin bir kenarı ‘1’ birimdir. Şekle baktığımızda büyük karenin bir kenarının bir ‘x’ ve üç tane ‘1’den oluştuğunu görürüz. Yani bir kenar uzunluğu (x + 3)‘tür.
Adım 4: Karenin alanı, bir kenarının kendisiyle çarpımıdır. O halde modelin alanı (x + 3) * (x + 3) = (x + 3)²‘dir.
Sonuç: Bu modelleme bize şunu gösteriyor:
x² + 6x + 9 = (x + 3)²
3. Soru: x² – 25 ile x² – Δx + 25 cebirsel ifadelerinin birer çarpanları ortaktır. Buna göre Δ yerine hangi pozitif tam sayı yazılmalıdır?
Çözüm:
Adım 1: İlk ifadeyi, yani x² – 25‘i çarpanlarına ayıralım. Bu ifade bir “iki kare farkı” özdeşliğidir (x² – 5²).
x² – 25 = (x – 5)(x + 5)
Adım 2: Soruda, ikinci ifadenin (x² – Δx + 25) bu çarpanlardan birini (yani ya x-5’i ya da x+5’i) içerdiği söyleniyor.
Adım 3: İkinci ifadeye bakalım: x² – Δx + 25. Bu ifade x² ile başlayıp +25 ile bitiyor. Bu bir tam kare ifadeye çok benziyor. 25, 5’in karesidir. Ortadaki terimin işareti eksi (-) olduğuna göre, bu ifade büyük ihtimalle (x – 5)²‘nin açılımıdır.
Adım 4: (x – 5)² ifadesini açarak kontrol edelim.
(x – 5)² = x² – 2*x*5 + 5² = x² – 10x + 25
Adım 5: Bulduğumuz bu ifadeyi sorudaki ifadeyle karşılaştıralım: x² – 10x + 25 ile x² – Δx + 25. Gördüğümüz gibi, Δ sembolünün olduğu yerde 10 sayısı var.
Sonuç: Δ yerine yazılması gereken pozitif tam sayı 10‘dur.
4. Soru: a = √7 + 12 olduğuna göre a² – 24a + 144 cebirsel ifadesinin değerini bulunuz.
Çözüm:
Adım 1: Bu tür sorularda, verilen ‘a’ değerini doğrudan yerine yazmak işleri çok zorlaştırır. Bunun yerine önce bize verilen cebirsel ifadeyi daha basit bir hale getirmeyi, yani çarpanlarına ayırmayı denemeliyiz.
İfademiz: a² – 24a + 144
Adım 2: Bu ifadenin bir tam kare olup olmadığını kontrol edelim. Birinci terim a’nın karesi (a²), üçüncü terim 12’nin karesi (12² = 144). Ortadaki terimin işareti eksi. Acaba bu ifade (a – 12)²‘nin açılımı olabilir mi?
Kontrol edelim: (a – 12)² = a² – 2*a*12 + 12² = a² – 24a + 144. Evet, aynısı!
Adım 3: Artık ifadenin değerini bulmak için (a – 12)²’yi kullanabiliriz. Soruda bize a = √7 + 12 olarak verilmişti. Bu değeri şimdi yerine yazalım.
(a – 12)² = ( (√7 + 12) – 12 )²
Adım 4: Parantez içindeki işlemi yapalım. +12 ve -12 birbirini götürür.
(√7 + 12 – 12)² = (√7)²
Adım 5: Bir kareköklü ifadenin karesi, kökün içindeki sayıyı verir.
(√7)² = 7
Sonuç: İfadenin değeri 7‘dir.
Umarım çözümler anlaşılır olmuştur. Gördüğün gibi özdeşlikleri iyi bilmek işimizi ne kadar da kolaylaştırıyor! Başarılar dilerim
