

Harika bir çalışma! Merhaba sevgili öğrencim, gönderdiğin bu çalışma sayfasındaki soruları senin için bir öğretmen gözüyle analiz edip adım adım çözeceğim. Üslü sayılar konusu başta biraz karışık gelebilir ama kurallarını anladığımızda ne kadar kolay olduğunu göreceksin. Haydi başlayalım!
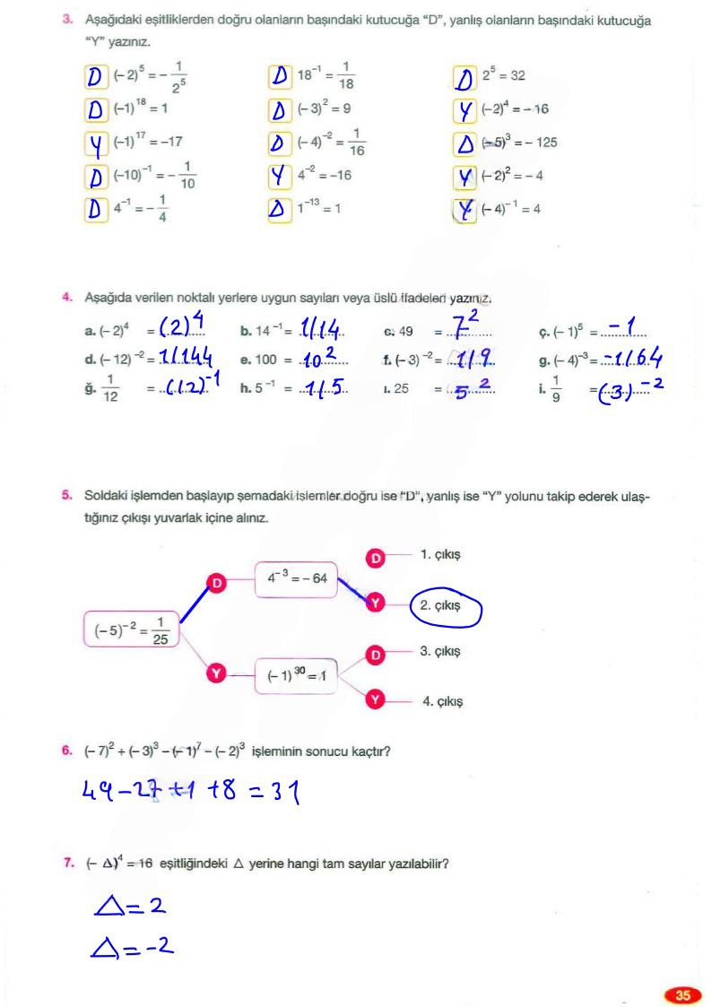
3. Aşağıdaki eşitliklerden doğru olanların başındaki kutucuğa “D”, yanlış olanların başındaki kutucuğa “Y” yazınız.
Bu soruda üslü sayıların temel kurallarını hatırlamamız gerekiyor. Tek tek inceleyelim.
- (-2)5 = – 1/25
Çözüm: (-2)5 demek, -2’yi 5 kere yan yana yazıp çarpmak demektir. (-2) x (-2) x (-2) x (-2) x (-2) = -32 olur. Eşitliğin sağ tarafı ise negatif bir üs gibi yazılmış. Bu ifade Yanlış (Y).
- 18-1 = 1/18
Çözüm: Bir sayının -1. kuvveti, o sayının çarpma işlemine göre tersi demektir. Yani 1 bölü o sayı. Bu ifade Doğru (D).
- 25 = 32
Çözüm: 2’yi 5 kere kendisiyle çarparsak: 2 x 2 x 2 x 2 x 2 = 32. Bu ifade Doğru (D).
- (-1)18 = 1
Çözüm: Negatif bir sayının (burada -1) çift kuvveti (burada 18) her zaman pozitiftir. 1’in bütün kuvvetleri 1 olduğu için sonuç +1’dir. Bu ifade Doğru (D).
- (-3)2 = 9
Çözüm: Negatif bir sayının çift kuvveti pozitiftir. (-3) x (-3) = 9. Bu ifade Doğru (D).
- (-2)4 = -16
Çözüm: Dikkat! Parantez içindeki negatif bir sayının çift kuvveti pozitif olmalıdır. (-2) x (-2) x (-2) x (-2) = +16 olmalıydı. Bu ifade Yanlış (Y).
- (-1)17 = -17
Çözüm: (-1)’in tek kuvvetleri (burada 17) her zaman -1’dir. Sonuç -17 değil, -1 olmalıydı. Bu ifade Yanlış (Y).
- (-4)-2 = 1/16
Çözüm: Üssün negatif olması sayıyı ters çevirir. (-4)-2 = 1/(-4)2 olur. (-4)2 ise 16’dır. Sonuç 1/16 olur. Bu ifade Doğru (D).
- (-5)3 = -125
Çözüm: Negatif bir sayının tek kuvveti (burada 3) negatiftir. (-5) x (-5) x (-5) = -125. Bu ifade Doğru (D).
- (-10)-1 = – 1/10
Çözüm: Üsteki -1 sayıyı ters çevirir. Yani 1/(-10) olur, bu da -1/10’a eşittir. Bu ifade Doğru (D).
- 4-2 = -16
Çözüm: En çok yapılan hatalardan biri! Üsteki eksi, sayının işaretini değiştirmez, sadece sayıyı ters çevirir. 4-2 = 1/42 = 1/16 olmalıydı. Bu ifade Yanlış (Y).
- (-2)2 = -4
Çözüm: (-2)2 = (-2) x (-2) = +4 olmalıydı. Eğer soru -22 şeklinde parantezsiz olsaydı sonuç -4 olurdu. Ama parantez olduğu için Yanlış (Y).
- 4-1 = 1/4
Çözüm: -1. kuvvet sayıyı ters çevirir. 4’ün tersi 1/4’tür. Bu ifade Doğru (D).
- 1-13 = 1
Çözüm: 1’in hangi kuvvetini alırsan al, sonuç her zaman 1’dir. Bu ifade Doğru (D).
- (-4)-1 = 4
Çözüm: -1. kuvvet sayıyı ters çevirir. (-4)-1 = 1/(-4) = -1/4 olmalıydı. Bu ifade Yanlış (Y).
4. Aşağıda verilen noktalı yerlere uygun sayıları veya üslü ifadeleri yazınız.
Şimdi de boşlukları dolduralım. Bize verilen üslü ifadenin değerini ya da verilen sayının üslü gösterimini bulacağız.
- a. (-2)4 = 16(Negatif sayının çift kuvveti pozitif. 24=16)
- b. 14-1 = 1/14(Üsteki eksi, sayıyı ters çevirir.)
- c. 49 = 72 veya (-7)2(49, 7’nin karesidir.)
- ç. (-1)5 = -1(-1’in tek kuvvetleri -1’dir.)
- d. (-12)-2 = 1/144(Önce üssü pozitif yapalım: 1/(-12)2. Sonra (-12)’nin karesini alalım: 1/144.)
- e. 100 = 102 veya (-10)2(100, 10’un karesidir.)
- f. (-3)-2 = 1/9(Önce üssü pozitif yapalım: 1/(-3)2. Sonra (-3)’ün karesini alalım: 1/9.)
- g. (-4)-3 = -1/64(Önce üssü pozitif yapalım: 1/(-4)3. Negatif sayının tek kuvveti negatif olduğundan sonuç 1/(-64) yani -1/64 olur.)
- ğ. 1/12 = 12-1(Bir sayının kesir olarak yazılması, onun negatif üssü olduğunu gösterir.)
- h. 5-1 = 1/5(Üsteki eksi, sayıyı ters çevirir.)
- ı. 25 = 52 veya (-5)2(25, 5’in karesidir.)
- i. 1/9 = 3-2 veya (1/3)2(1/9, 1/32 demektir. Paydayı yukarı alırsak üs işaret değiştirir: 3-2)
5. Soldaki işlemden başlayıp şemadaki işlemler doğru ise “D”, yanlış ise “Y” yolunu takip ederek ulaştığınız çıkışı yuvarlak içine alınız.
Haydi bu şemalı soruyu bir macera gibi çözelim ve doğru çıkışı bulalım!
Adım 1: Başlangıç Noktası
İlk işlemimiz: (-5)-2 = 1/25. Bu doğru mu yanlış mı diye bakalım.
(-5)-2 ifadesinde üs negatif. Bunu pozitif yapmak için tabanı ters çeviririz: 1/(-5)2.
Şimdi (-5)2‘nin değerini bulalım. (-5) x (-5) = +25.
Sonuç 1/25 oldu. Eşitlik doğru!
Öyleyse “D” (Doğru) yolundan devam ediyoruz.Adım 2: “D” Yolundaki İşlem
D yoluna geldiğimizde karşımıza çıkan işlem: 4-3 = -64.
Hemen kontrol edelim. 4-3 ifadesinde üs negatif. Tabanı ters çevirelim: 1/43.
43 demek 4 x 4 x 4 = 64 demektir.
Sonuç 1/64 olmalıydı. Ama soruda -64 denmiş. Bu kesinlikle yanlış. Üsteki eksi sayıyı negatif yapmaz!
Öyleyse bu işlem için “Y” (Yanlış) yolunu seçeceğiz.Adım 3: Sonuç
Önce D, sonra Y yolunu takip ettiğimizde 2. çıkışa ulaşıyoruz.
Sonuç: 2. çıkış
6. (-7)2 + (-3)3 – (-1)7 – (-2)3 işleminin sonucu kaçtır?
Bu soruda işlem önceliğine dikkat etmeliyiz. Önce üslü ifadelerin değerlerini bulalım, sonra toplama ve çıkarma işlemlerini yapalım.
Adım 1: Üslü İfadelerin Değerlerini Bulalım
- (-7)2 = (-7) x (-7) = 49(Negatif sayının çift kuvveti pozitiftir.)
- (-3)3 = (-3) x (-3) x (-3) = -27(Negatif sayının tek kuvveti negatiftir.)
- (-1)7 = -1(-1’in tek kuvveti -1’dir.)
- (-2)3 = (-2) x (-2) x (-2) = -8(Negatif sayının tek kuvveti negatiftir.)
Adım 2: Değerleri Yerine Yazıp İşlemi Yapalım
Şimdi bulduğumuz bu sayıları işlemdeki yerlerine dikkatlice yazalım:
49 + (-27) – (-1) – (-8)
Unutma, bir sayıdan negatif bir sayıyı çıkarmak, o sayıyı eklemekle aynı şeydir! Yani `- (-)` işlemi `+` olur.
49 – 27 + 1 + 8
Şimdi soldan sağa doğru işlemi yapalım:
49 – 27 = 22
22 + 1 = 23
23 + 8 = 31
Sonuç: 31
7. (- Δ)4 = 16 eşitliğindeki Δ yerine hangi tam sayılar yazılabilir?
Bu soru biraz düşünmeyi gerektiriyor, çok güzel bir soru!
Adım 1: Hangi Sayının 4. Kuvveti 16’dır?
Önce şunu düşünelim: Hangi sayıyı 4 defa kendisiyle çarparsak 16 elde ederiz? Biraz deneme yapalım. 14=1, 24 = 2x2x2x2 = 16. Evet, bulduk! Bu sayı 2.
Adım 2: Parantez İçinin Değerini Düşünelim
Eşitliğimiz `(bir şey)`4 = 16 şeklinde. Ve üssümüz çift bir sayı (4).
Bir sayının çift kuvveti pozitif olduğu için, parantezin içindeki `(-Δ)` ifadesi hem 2 olabilir hem de -2 olabilir. Çünkü:
- (2)4 = 16
- (-2)4 = 16
Adım 3: Δ’nın Alabileceği Değerleri Bulalım
Şimdi iki durumu da ayrı ayrı inceleyelim:
Durum 1: Parantezin içi 2 ise:
-Δ = 2
Bu durumda her iki tarafı -1 ile çarparsak Δ = -2 olur.Durum 2: Parantezin içi -2 ise:
-Δ = -2
Bu durumda her iki tarafı -1 ile çarparsak Δ = 2 olur.
Sonuç: Δ yerine yazılabilecek tam sayılar -2 ve 2‘dir.
Umarım çözümler ve açıklamalar anlaşılır olmuştur. Unutma, matematikte en önemli şey bol bol pratik yapmak ve kuralların mantığını anlamaktır. Başarılar dilerim
