

Harika bir çalışma sayfası! Merhaba sevgili öğrencilerim, ben sizin 8. Sınıf Matematik öğretmeniniz. Şimdi bu soruları birlikte, tane tane ve herkesin anlayacağı şekilde çözeceğiz. Hazırsanız, haydi başlayalım!
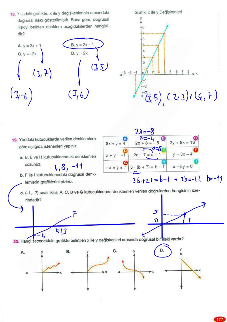
18. Yandaki grafikte, x ile y değişkenlerinin arasındaki doğrusal ilişki gösterilmiştir. Buna göre, doğrusal ilişkiyi belirten denklem aşağıdakilerden hangisidir?
Sevgili gençler, bir doğrunun denklemini grafiğe bakarak bulmanın birkaç yolu vardır. Gelin en kolay olanını kullanalım. Bu tür sorularda grafiğin eksenleri kestiği noktaları veya üzerinden geçtiği tam sayıları belirlemek işimizi çok kolaylaştırır.
- Adım 1: Doğrunun y eksenini kestiği noktayı bulalım.
Grafiğe dikkatlice baktığımızda, doğrumuzun y eksenini -1 noktasında kestiğini görüyoruz. Bir doğrunun denklemi genellikle y = mx + n şeklinde yazılır. Buradaki ‘n’ sayısı, doğrunun y eksenini kestiği noktadır. Yani bizim denklemimiz y = mx – 1 şeklinde olmalı. Bu bilgiyle A ve D şıklarını eleyebiliriz. Geriye B ve C şıkları kaldı. - Adım 2: Doğrunun üzerinden geçen herhangi bir noktayı denklemde deneyelim.
Grafikten kolayca okuyabileceğimiz bir nokta seçelim. Mesela x’in 2 olduğu noktada, y’nin 3 olduğunu görüyoruz. Yani doğrumuz (2, 3) noktasından geçiyor. Şimdi bu noktayı kalan şıklarda deneyelim. Denklemde x yerine 2, y yerine 3 yazacağız ve eşitliğin doğru olup olmadığını kontrol edeceğiz.- B şıkkı için: y = 2x – 1
3 = 2(2) – 1
3 = 4 – 1
3 = 3
Bu eşitlik doğru! Demek ki aradığımız cevap bu olabilir. - C şıkkı için: y = -2x
3 = -2(2)
3 = -4
Bu eşitlik yanlış.
- B şıkkı için: y = 2x – 1
- Adım 3: Sonuç
(2, 3) noktası sadece B şıkkındaki denklemi sağladığı için doğru cevabımız B şıkkıdır.
Sonuç:B) y = 2x – 1
19. Yandaki kutucuklarda verilen denklemlere göre aşağıda istenenleri yapınız.
Bu soruda birkaç farklı şey yapmamız isteniyor. Haydi sırayla gidelim.
a. B, E ve H kutucuklarındaki denklemleri çözünüz.
Unutmayın, denklem çözmek bir terazi gibidir. Eşitliğin bir tarafına ne yapıyorsak, diğer tarafına da aynısını yapmalıyız. Amacımız bilinmeyeni (harfi) yalnız bırakmak.
- B kutucuğundaki denklem:2x + 3 = -5
Adım 1: Bilinmeyeni yalnız bırakmak için yanındaki +3’ü eşitliğin diğer tarafına -3 olarak gönderelim.
2x = -5 – 3
2x = -8Adım 2: Şimdi x’i bulmak için her iki tarafı da x’in katsayısı olan 2’ye bölelim.
x = -8 / 2
x = -4 - E kutucuğundaki denklem:2a – 7 = a + 1
Adım 1: Bilinenleri bir tarafa, bilinmeyenleri diğer tarafa toplayalım. ‘a’yı sol tarafa, ‘-7’yi sağ tarafa atalım. Yer değiştirirken işaretlerinin de değiştiğini unutmayalım!
2a – a = 1 + 7Adım 2: İşlemleri yapalım.
a = 8 - H kutucuğundaki denklem:3 * (b + 7) = b – 1
Adım 1: Önce parantezi dağıtalım. 3’ü hem ‘b’ ile hem de ‘+7’ ile çarpalım.
3b + 21 = b – 1Adım 2: Şimdi bilinmeyenleri sola, bilinenleri sağa toplayalım.
3b – b = -1 – 21Adım 3: İşlemleri yapalım.
2b = -22Adım 4: ‘b’yi bulmak için her iki tarafı 2’ye bölelim.
b = -22 / 2
b = -11
b. F ile I kutucuklarındaki doğrusal denklemlerin grafiklerini çiziniz.
Bir doğrunun grafiğini çizmek için en az iki noktaya ihtiyacımız vardır. Bu noktaları bulmanın en kolay yolu, önce x’e 0 verip y’yi bulmak, sonra y’ye 0 verip x’i bulmaktır.
- F kutucuğundaki denklem:y = 3x – 4
Adım 1: x = 0 için y’yi bulalım.
y = 3(0) – 4
y = -4
Yani birinci noktamız (0, -4). Bu nokta, doğrunun y eksenini kestiği yerdir.Adım 2: y = 0 için x’i bulalım.
0 = 3x – 4
4 = 3x
x = 4/3
Yani ikinci noktamız (4/3, 0). Bu da x eksenini kestiği yerdir.Çizim: Koordinat sisteminde (0, -4) ve (4/3, 0) noktalarını işaretleyip bu iki noktadan geçen düz bir çizgi çizdiğimizde F denkleminin grafiğini elde ederiz.
- I kutucuğundaki denklem:x – 5y = 0
Adım 1: x = 0 için y’yi bulalım.
0 – 5y = 0
-5y = 0
y = 0
İlk noktamız (0, 0) yani orijin. Eğer bir doğru orijinden geçiyorsa, ikinci bir noktayı bulmak için x’e 0 dışında başka bir değer vermemiz gerekir.Adım 2: x’e kolay bir değer verelim, mesela x = 5 olsun.
5 – 5y = 0
5 = 5y
y = 1
İkinci noktamız (5, 1).Çizim: Koordinat sisteminde (0, 0) ve (5, 1) noktalarını işaretleyip bu iki noktayı birleştiren bir doğru çizdiğimizde I denkleminin grafiğini elde etmiş oluruz.
c. (-1, -7) sıralı ikilisi A, C, D ve G kutucuklarında denklemleri verilen doğrulardan hangisinin üzerindedir?
Bir noktanın bir doğru üzerinde olup olmadığını anlamak için, noktanın koordinatlarını denklemde yerine yazarız. Eşitlik sağlanıyorsa o nokta doğru üzerindedir. Burada x yerine -1, y yerine -7 yazacağız.
- A kutucuğu: 3x – y = 4
3(-1) – (-7) = 4
-3 + 7 = 4
4 = 4
Bu eşitlik doğrudur! - C kutucuğu: 2y + 8x = 16
2(-7) + 8(-1) = 16
-14 – 8 = 16
-22 = 16
Bu eşitlik yanlıştır. - D kutucuğu: x + y = -1
(-1) + (-7) = -1
-8 = -1
Bu eşitlik yanlıştır. - G kutucuğu: -x = y + 7
-(-1) = (-7) + 7
1 = 0
Bu eşitlik yanlıştır.
Sonuç: (-1, -7) sıralı ikilisi sadece A kutucuğundaki denklemi sağlamaktadır.
20. Hangi seçenekteki grafikte belirtilen x ile y değişkenleri arasında doğrusal bir ilişki vardır?
Çok basit bir kuralımız var arkadaşlar: Değişkenler arasında doğrusal bir ilişki varsa, bu ilişkinin grafiği dümdüz bir çizgi olmak zorundadır. Eğri, büğrü, kırık çizgiler doğrusal bir ilişki belirtmez. Şimdi şıklara bu gözle bakalım:
- A) Bu bir kırık çizgidir. Doğrusal değildir.
- B) Bu bir eğridir. Doğrusal değildir.
- C) Bu da bir eğridir. Doğrusal değildir.
- D) Bu, tam olarak aradığımız gibi dümdüz bir çizgidir.
Sonuç:D şıkkındaki grafik doğrusal bir ilişkiyi temsil eder.
Umarım tüm çözümler anlaşılır olmuştur. Matematik pratik yaparak öğrenilir, bol bol soru çözmeyi unutmayın! Başarılar dilerim!
