

Merhaba sevgili öğrencilerim,
Bugün sizlerle birlikte kesirler konusundaki alıştırmaları çözeceğiz. Bu sorular, kesirleri karşılaştırma ve sıralama becerimizi geliştirmemize yardımcı olacak. Unutmayın, matematikte en önemli şey adımları doğru takip etmek ve mantığını anlamaktır. Haydi, kalemlerinizi ve defterlerinizi hazırlayın, başlıyoruz!
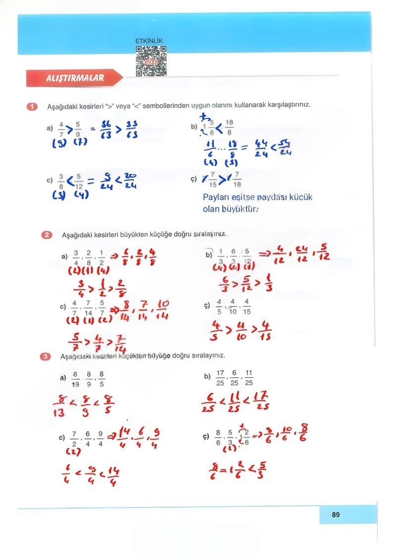
1. Soru: Aşağıdaki kesirleri “>” veya “<" sembollerinden uygun olanını kullanarak karşılaştırınız.
a) 4/7 … 5/9
Çözüm:
Sevgili çocuklar, bu iki kesri karşılaştırmak için en kolay yol paydalarını eşitlemektir. Birinin paydası 7, diğerininki 9. İkisinin de ortak katı 63’tür. Haydi paydaları 63 yapalım.
- 4/7 kesrini 9 ile genişletelim: (4×9) / (7×9) = 36/63
- 5/9 kesrini 7 ile genişletelim: (5×7) / (9×7) = 35/63
Şimdi karşılaştırmamız çok kolay! 36/63 mü daha büyük, 35/63 mü? Tabii ki payı büyük olan daha büyüktür.
Sonuç: 36/63 > 35/63 olduğu için, 4/7 > 5/9 olur.
b) 1 5/6 … 18/8
Çözüm:
Burada bir tam sayılı kesir ve bir bileşik kesir var. Karşılaştırma yapmadan önce ikisini de aynı türe çevirelim. Genellikle bileşik kesre çevirmek işimizi kolaylaştırır.
- 1 5/6 kesrini bileşik kesre çevirelim: (1×6)+5 = 11. Sonuç: 11/6
- 18/8 kesrini sadeleştirebiliriz. İkisini de 2’ye bölelim: 9/4
Şimdi 11/6 ile 9/4‘ü karşılaştıracağız. Paydaları 12’de eşitleyebiliriz.
- 11/6 kesrini 2 ile genişletelim: (11×2) / (6×2) = 22/12
- 9/4 kesrini 3 ile genişletelim: (9×3) / (4×3) = 27/12
Sonuç: 22/12 < 27/12 olduğu için, 1 5/6 < 18/8 olur.
c) 3/8 … 5/12
Çözüm:
Yine paydaları eşitlememiz gerekiyor. 8 ve 12’nin en küçük ortak katı 24’tür.
- 3/8 kesrini 3 ile genişletelim: (3×3) / (8×3) = 9/24
- 5/12 kesrini 2 ile genişletelim: (5×2) / (12×2) = 10/24
Sonuç: 9/24 < 10/24 olduğu için, 3/8 < 5/12 olur.
ç) 2 7/15 … 2 7/18
Çözüm:
Bu soruda çok güzel bir ipucu var! İki kesrin de tam kısımları aynı (ikisi de 2). O zaman sadece kesir kısımlarını karşılaştırmamız yeterli: 7/15 ve 7/18.
Bu sefer de paylar eşit. Unutmayın, payları eşit olan kesirlerden paydası küçük olan daha büyüktür. Çünkü bir pastayı 15 dilime bölerseniz, 18 dilime bölmekten daha büyük dilimler elde edersiniz.
Sonuç: 7/15 > 7/18 olduğu için, 2 7/15 > 2 7/18 olur.
2. Soru: Aşağıdaki kesirleri büyükten küçüğe doğru sıralayınız.
a) 3/4 , 2/8 , 1/2
Çözüm:
Önce sadeleştirme yapabiliyor muyuz diye bakalım. Evet, 2/8 kesrini 2 ile sadeleştirip 1/4 yapabiliriz. Şimdi kesirlerimiz: 3/4, 1/4, 1/2. Paydaları 4’te eşitleyelim.
- 3/4 (aynen kalır)
- 1/4 (aynen kalır)
- 1/2 kesrini 2 ile genişletirsek 2/4 olur.
Artık sıralayabiliriz: 3/4 > 2/4 > 1/4.
Sonuç: Orijinal halleriyle sıralama: 3/4 > 1/2 > 2/8
b) 1/3 , 6/3 , 5/12
Çözüm:
Burada 6/3 kesrinin 6 bölü 3’ten 2‘ye eşit olduğunu hemen fark etmeliyiz. Diğer kesirler (1/3 ve 5/12) 1’den küçük basit kesirlerdir. Dolayısıyla en büyüğü 6/3‘tür. Şimdi 1/3 ile 5/12’yi karşılaştıralım. Paydalarını 12’de eşitleyelim.
- 1/3 kesrini 4 ile genişletirsek 4/12 olur.
5/12 > 4/12 olduğuna göre, 5/12 > 1/3‘tür.
Sonuç: Sıralamamız: 6/3 > 5/12 > 1/3
c) 4/7 , 7/14 , 5/7
Çözüm:
Yine sadeleştirme ile başlayalım. 7/14 kesri 7 ile sadeleşir ve 1/2 olur. Kesirlerimiz: 4/7, 1/2, 5/7. Paydaları 14’te eşitleyelim.
- 4/7 kesrini 2 ile genişletirsek 8/14 olur.
- 1/2 kesrini 7 ile genişletirsek 7/14 olur.
- 5/7 kesrini 2 ile genişletirsek 10/14 olur.
Büyükten küçüğe: 10/14 > 8/14 > 7/14.
Sonuç: Orijinal halleriyle sıralama: 5/7 > 4/7 > 7/14
ç) 4/5 , 4/10 , 4/15
Çözüm:
Harika bir soru! Burada payların hepsi eşit (hepsi 4). Kuralımızı hatırlayalım: Payları eşit olan kesirlerden paydası küçük olan daha büyüktür.
Paydalara bakalım: 5, 10, 15. En küçük payda 5’e ait. O zaman en büyük kesir 4/5’tir.
Sonuç: Sıralama doğrudan: 4/5 > 4/10 > 4/15
3. Soru: Aşağıdaki kesirleri küçükten büyüğe doğru sıralayınız.
a) 8/13 , 8/9 , 8/5
Çözüm:
Bu soruda da paylar eşit. Kuralımız neydi? Payları eşitse, paydası büyük olan kesir daha küçüktür. Paydalarımız 13, 9, 5. En büyük payda 13. O zaman en küçük kesir 8/13’tür.
Sonuç: Sıralamamız: 8/13 < 8/9 < 8/5
b) 17/25 , 6/25 , 11/25
Çözüm:
Bu en kolayı! Paydaların hepsi eşit. O zaman sadece paylarına bakarak sıralama yapabiliriz. Payları küçükten büyüğe sıralayalım: 6 < 11 < 17.
Sonuç: Sıralamamız: 6/25 < 11/25 < 17/25
c) 7/2 , 6/4 , 9/4
Çözüm:
Hemen 6/4’ü 2 ile sadeleştirip 3/2 yapabiliriz. Ama paydaları 4’te eşitlemek daha pratik görünüyor. 7/2 kesrinin paydasını 4 yapalım.
- 7/2 kesrini 2 ile genişletirsek 14/4 olur.
Şimdi kesirlerimiz: 14/4, 6/4, 9/4. Paydalar eşit olduğuna göre paylarına bakalım: 6 < 9 < 14.
Sonuç: Orijinal halleriyle sıralama: 6/4 < 9/4 < 7/2
ç) 8/6 , 5/3 , 1 2/6
Çözüm:
Önce hepsini aynı türden yazalım. Bileşik kesir en iyisi.
- 1 2/6 kesrini bileşik kesre çevirelim: (1×6)+2 = 8. Yani 8/6.
Gördüğünüz gibi ilk kesirle aynı! Şimdi 8/6 ile 5/3‘ü karşılaştıralım. Paydaları 6’da eşitleyelim.
- 5/3 kesrini 2 ile genişletirsek 10/6 olur.
Karşılaştırmamız gerekenler: 8/6 ve 10/6. Tabii ki 8/6 < 10/6.
Sonuç: Sıralamamız: 8/6 = 1 2/6 < 5/3
4. Soru: 3/5, 4/7 ve 5/9 kesirlerinden hangisi yarıma diğerlerinden daha yakındır?
Çözüm:
Çocuklar, “yarım” demek 1/2 kesri demektir. Bir kesrin yarıma yakınlığını bulmak için o kesir ile 1/2 arasındaki farka bakarız. Fark ne kadar küçükse, kesir o kadar yakındır.
Adım 1: 3/5 ile 1/2 arasındaki farkı bulalım.
3/5 – 1/2 = 6/10 – 5/10 = 1/10Adım 2: 4/7 ile 1/2 arasındaki farkı bulalım.
4/7 – 1/2 = 8/14 – 7/14 = 1/14Adım 3: 5/9 ile 1/2 arasındaki farkı bulalım.
5/9 – 1/2 = 10/18 – 9/18 = 1/18Adım 4: Şimdi farkları karşılaştıralım: 1/10, 1/14, 1/18. Payları eşit olan bu kesirlerden paydası en büyük olan en küçüktür. Yani 1/18 en küçük farktır.
Sonuç: En küçük fark 5/9 kesrine ait olduğu için, yarıma en yakın olan kesir 5/9‘dur.
5. Soru: 15/17, 24/25 ve 8/5 kesirlerinden hangisi diğerlerinden daha büyüktür?
Çözüm:
Bu soruyu dikkatli okursak cevabı çok kolay! Kesirlerin türlerine bakalım.
- 15/17: Payı paydasından küçük, yani 1’den küçük bir basit kesir.
- 24/25: Payı paydasından küçük, bu da 1’den küçük bir basit kesir.
- 8/5: Payı paydasından büyük, yani 1’den büyük bir bileşik kesir.
1’den büyük olan bir sayı, her zaman 1’den küçük olan sayılardan daha büyüktür.
Sonuç: Hiç işlem yapmaya gerek kalmadan en büyük kesrin 8/5 olduğunu söyleyebiliriz.
6. Soru: 6/7, 8/9 ve 9/8 kesirlerinden hangisi 1’e diğerlerinden daha yakındır?
Çözüm:
Bu da 4. soruya benziyor. Bu sefer “1 bütüne” olan yakınlığa bakacağız. Yani her bir kesir ile 1 arasındaki farkı bulacağız.
Adım 1: 6/7’nin 1’e uzaklığı.
1 – 6/7 = 7/7 – 6/7 = 1/7Adım 2: 8/9’un 1’e uzaklığı.
1 – 8/9 = 9/9 – 8/9 = 1/9Adım 3: 9/8’in 1’e uzaklığı. (Bu kesir 1’den büyük olduğu için 9/8’den 1’i çıkarırız)
9/8 – 1 = 9/8 – 8/8 = 1/8Adım 4: Farkları karşılaştıralım: 1/7, 1/9, 1/8. Payları eşit olduğu için paydası en büyük olan (1/9) en küçük farktır.
Sonuç: 1’e en yakın olan kesir 8/9‘dur.
7. Soru: 2/8 < ☐ < 3/4 sıralamasına göre aşağıdaki kesirlerden hangisi boş kutunun içine yazılamaz?
Çözüm:
Bu tür sorularda en iyi yöntem, verilen aralığı ve şıkları ortak bir paydada buluşturmaktır. Önce aralığımızı sadeleştirelim: 2/8 = 1/4. Yani aralık: 1/4 < ☐ < 3/4.
Şıklardaki paydalara bakarsak (4, 8, 2), hepsini 8’de eşitlemek mantıklı. Aralığımızı da 8 paydasında yazalım.
- 1/4‘ü 2 ile genişletirsek 2/8 olur.
- 3/4‘ü 2 ile genişletirsek 6/8 olur.
Yani aradığımız sayı 2/8 ile 6/8 arasında olmalı. Şimdi şıkları bu paydaya çevirip kontrol edelim:
a) 1/4 = 2/8. Bu sayı 2/8’e eşittir, ondan büyük değildir. Bu yüzden kutuya yazılamaz.
b) 3/8. 2/8 < 3/8 < 6/8. Bu aralığa uyuyor, yazılabilir.
c) 1/2 = 4/8. 2/8 < 4/8 < 6/8. Bu aralığa uyuyor, yazılabilir.
d) 5/8. 2/8 < 5/8 < 6/8. Bu aralığa uyuyor, yazılabilir.
Sonuç: Boş kutuya yazılamayacak olan kesir A) 1/4‘tür.
Umarım çözümler anlaşılır olmuştur. Unutmayın, bol bol pratik yaparak bu konuda çok daha iyi olabilirsiniz. Başarılar dilerim
