6. Sınıf Matematik Ders Kitabı Cevapları Doğa Yayınları Sayfa 164
Merhaba sevgili öğrencilerim,
Bugün sizlerle 1. Bölüm Değerlendirme Sorularını birlikte çözeceğiz. Bu sorular, ondalık gösterimler, çözümleme ve problem çözme gibi önemli konuları tekrar etmemiz için harika bir fırsat. Kalemleriniz ve defterleriniz hazırsa, haydi başlayalım! Unutmayın, anlamadığınız bir yer olursa tekrar tekrar okuyabilir ve adımları takip edebilirsiniz.
***
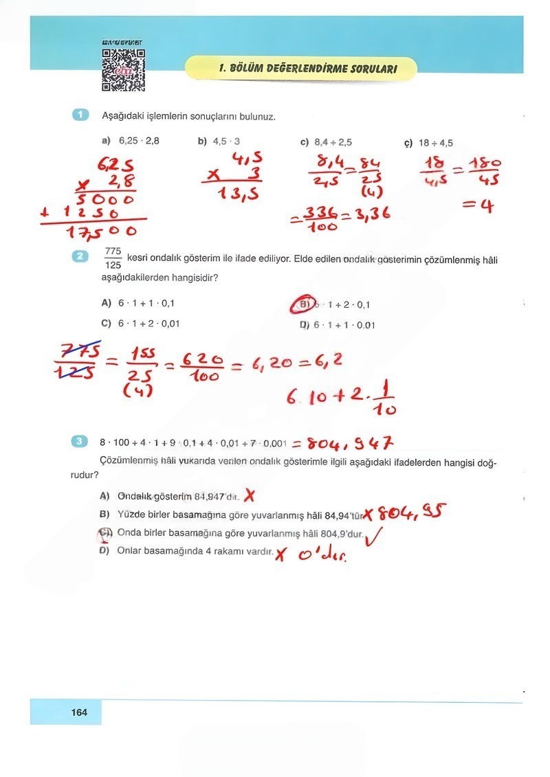
1. Aşağıdaki işlemlerin sonuçlarını bulunuz.
Bu soruda ondalık sayılarla çarpma ve bölme işlemlerini hatırlayacağız.
a) 6,25 · 2,8
Adım 1: Ondalık sayılarla çarpma yaparken virgülleri görmezden gelerek sayıları alt alta yazar ve çarparız. Yani 625 ile 28’i çarpalım.
625
x 28
-----
5000 (625 x 8)
+1250 (625 x 2)
-----
17500
Adım 2: Şimdi virgülü nereye koyacağımıza karar vereceğiz. Çarptığımız sayılarda virgülden sonra toplam kaç basamak olduğuna bakarız. 6,25‘te 2 basamak, 2,8‘de 1 basamak var. Toplamda 2 + 1 = 3 basamak eder.
Adım 3: Bulduğumuz sonucun (17500) sonundan başlayarak 3 basamak sola doğru sayar ve virgülü koyarız. 17,500. Sondaki sıfırların bir değeri olmadığı için sonucu 17,5 olarak yazabiliriz.
Sonuç: 17,5
b) 4,5 · 3
Adım 1: Yine virgülü yokmuş gibi düşünüp 45 ile 3’ü çarpıyoruz.
45
x 3
----
135
Adım 2: 4,5 sayısında virgülden sonra 1 basamak var. 3 sayısında ise hiç yok. Demek ki sonucumuzda virgülden sonra sadece 1 basamak olmalı.
Adım 3: 135 sayısının sonundan 1 basamak sola gelip virgülü koyuyoruz: 13,5.
Sonuç: 13,5
c) 8,4 ÷ 2,5
Adım 1: Ondalık sayılarla bölme yaparken en önemli kural, bölen sayıyı virgülden kurtarmaktır. Bölenimiz 2,5. Onu virgülden kurtarmak için 10 ile çarpmamız gerekir, bu da virgülü bir basamak sağa kaydırır ve sayı 25 olur.
Adım 2: Bölme işleminin sonucunun değişmemesi için, bölene yaptığımız işlemin aynısını bölünen sayıya da yapmalıyız. Yani 8,4’ü de 10 ile çarparız. Virgül bir basamak sağa kayar ve sayı 84 olur.
Adım 3: Artık işlemimiz çok daha kolay: 84 ÷ 25. Şimdi bu bölme işlemini yapalım.
84’ün içinde 25, 3 kere var. 3 x 25 = 75.
84 – 75 = 9 kalır.
9’un yanına bir 0 ekler, sonuca bir virgül (,) koyarız. Sayımız 90 oldu.
90’ın içinde 25, 3 kere var. 3 x 25 = 75.
90 – 75 = 15 kalır.
15’in yanına bir 0 daha ekleriz. Sayımız 150 oldu.
150’nin içinde 25, 6 kere var. 6 x 25 = 150.
150 – 150 = 0. İşlem bitti.
Sonuç: 3,36
ç) 18 ÷ 4,5
Adım 1: Tıpkı önceki sorudaki gibi, bölen sayıyı (4,5) virgülden kurtaralım. 10 ile çarparak 45 yaparız.
Adım 2: Bölünen sayımız olan 18’i de 10 ile çarpmalıyız. 18 x 10 = 180.
Adım 3: Yeni işlemimiz 180 ÷ 45 oldu. 180’in içinde 45 kaç kere var diye düşünelim. 45 + 45 = 90 (2 tane), 90 + 90 = 180 (4 tane). Demek ki tam 4 kere varmış.
Sonuç: 4
***
2. 775/125 kesri ondalık gösterim ile ifade ediliyor. Elde edilen ondalık gösterimin çözümlenmiş hâli aşağıdakilerden hangisidir?
Adım 1: Öncelikle 775/125 kesrini ondalık sayıya çevirmemiz gerekiyor. Bunun için payı paydaya böleriz. Yani 775’i 125’e böleceğiz.
775’in içinde 125’i arayalım. 125 x 6 = 750.
775 – 750 = 25 kalır.
İşleme devam etmek için kalanın yanına bir 0, bölüme ise bir virgül (,) ekleriz. Sayımız 250 oldu.
250’nin içinde 125, tam 2 kere var. 2 x 125 = 250.
250 – 250 = 0.
Bölme işlemi sonucunda 6,2 ondalık sayısını bulduk.
Adım 2: Şimdi 6,2 sayısını çözümleyelim. Çözümleme, sayıyı oluşturan rakamların basamak değerlerinin toplamı şeklinde yazılmasıdır.
- 6, birler basamağındadır. Değeri: 6 · 1
- 2, onda birler basamağındadır. Değeri: 2 · 0,1
Bu durumda çözümleme: (6 · 1) + (2 · 0,1) şeklinde olur.
Adım 3: Şıklara bakalım hangisi bizim bulduğumuzla aynı.
- A) 6 · 1 + 1 · 0,1
- B) 6 · 1 + 2 · 0,1
- C) 6 · 1 + 2 · 0,01
- D) 6 · 1 + 1 · 0,01
Gördüğünüz gibi B şıkkı bizim bulduğumuz sonuçla aynı.
Sonuç: B
***
3. 8 · 100 + 4 · 1 + 9 · 0,1 + 4 · 0,01 + 7 · 0,001
Çözümlenmiş hâli yukarıda verilen ondalık gösterimle ilgili aşağıdaki ifadelerden hangisi doğrudur?
Adım 1: Önce çözümlenmiş halde verilen bu sayıyı bir araya getirip ondalık sayımızı oluşturalım.
- 8 · 100 = 800 (Yüzler basamağında 8 var)
- Bize onlar basamağı verilmemiş, demek ki orada 0 var.
- 4 · 1 = 4 (Birler basamağında 4 var)
- 9 · 0,1 = 0,9 (Onda birler basamağında 9 var)
- 4 · 0,01 = 0,04 (Yüzde birler basamağında 4 var)
- 7 · 0,001 = 0,007 (Binde birler basamağında 7 var)
Sayıları birleştirdiğimizde sayımız: 804,947 olur.
Adım 2: Şimdi şıkları tek tek inceleyelim ve hangisinin doğru olduğunu bulalım.
- A) Ondalık gösterim 84,947’dir. Bu ifade yanlış. Sayımız 804,947.
- B) Yüzde birler basamağına göre yuvarlanmış hâli 84,94’tür. Bu ifade yanlış. Sayımız 804,947. Bu sayıyı yüzde birler basamağına göre yuvarlamak için binde birler basamağına (7) bakarız. 7, 5’ten büyük olduğu için yüzde birler basamağındaki 4’ü bir artırırız. Sonuç 804,95 olurdu.
- C) Onda birler basamağına göre yuvarlanmış hâli 804,9’dur. Bu ifadeyi kontrol edelim. Sayımız 804,947. Onda birler basamağına göre yuvarlamak için yüzde birler basamağına (4) bakarız. 4, 5’ten küçük olduğu için onda birler basamağındaki 9’u değiştirmeyiz. Sayının geri kalanını atarız. Sonuç 804,9 olur. Bu ifade doğru!
- D) Onlar basamağında 4 rakamı vardır. Bu ifade yanlış. Sayımızın (804,947) onlar basamağında 0 vardır. 4 rakamı birler basamağındadır.
Sonuç: C
***
4. Aşağıdaki Görsel 1’de verilen terazide dört özdeş kutunun kütlesi belirtilmiştir. Görsel 2’deki terazide ise özdeş kutulardan bir tanesi ile bir elmanın kütlesi belirtilmiştir. Buna göre Görsel 2’de verilen elmanın kütlesi kaç kilogramdır?
Adım 1: Görsel 1’e bakalım. 4 tane aynı kutu tartılmış ve terazi 5,8 kg göstermiş. Bir tane kutunun ağırlığını bulmak için toplam ağırlığı kutu sayısına bölmeliyiz.
İşlemimiz: 5,8 ÷ 4
5’in içinde 4, 1 kere var. 1 x 4 = 4. 5-4=1 kalır.
Virgülü geçip 8’i aşağı indiririz, sonuca da virgül koyarız. Sayımız 18 oldu.
18’in içinde 4, 4 kere var. 4 x 4 = 16. 18-16=2 kalır.
2’nin yanına bir 0 ekleriz. Sayımız 20 oldu.
20’nin içinde 4, 5 kere var. 5 x 4 = 20. 20-20=0.
Demek ki bir kutunun ağırlığı 1,45 kg imiş.
Adım 2: Şimdi Görsel 2’ye bakalım. Bir kutu ve bir elma birlikte tartılmış ve terazi 1,8 kg göstermiş.
Yani: (1 kutu) + (1 elma) = 1,8 kg
Adım 3: Biz bir kutunun ağırlığını 1,45 kg olarak bulmuştuk. Bu bilgiyi denklemde yerine koyalım.
1,45 kg + (1 elma) = 1,8 kg
Adım 4: Elmanın ağırlığını bulmak için toplam ağırlıktan kutunun ağırlığını çıkarmalıyız.
Elma = 1,8 – 1,45
Unutmayın, ondalık sayılarda çıkarma yaparken virgüller alt alta gelmeli! 1,8’i 1,80 olarak düşünebiliriz.
1,80
- 1,45
------
0,35
Sonuç: 0,35 kg. Bu da D şıkkıdır.
***
5. ■ ÷ 10 = 6,54 ve 82,5 ÷ 100 = ▲
Yanda verilen işlemlere göre ■ + ▲ işleminin sonucu kaçtır?
Adım 1: Önce ■ (kare) sembolünün değerini bulalım.
■ ÷ 10 = 6,54 işleminde bölmenin tersi olan çarpmayı kullanırız.
■ = 6,54 · 10
Bir ondalık sayıyı 10 ile çarpmak, virgülü bir basamak sağa kaydırmak demektir. O halde ■ = 65,4 olur.
Adım 2: Şimdi de ▲ (üçgen) sembolünün değerini bulalım.
82,5 ÷ 100 = ▲
Bir sayıyı 100’e bölmek, virgülü iki basamak sola kaydırmak demektir.
82,5 → 8,25 → 0,825. O halde ▲ = 0,825 olur.
Adım 3: Son olarak bizden istenen ■ + ▲ işlemini yapalım.
65,4 + 0,825
Yine virgülleri alt alta getirerek toplama yapıyoruz. Eksik basamaklara 0 yazabiliriz.
65,400
+ 0,825
----------
66,225
Sonuç: 66,225
***
Umarım tüm çözümleri güzelce anlamışsınızdır. Matematik bol bol pratik yaparak öğrenilir. Başarılar dilerim