

Merhaba sevgili öğrencilerim,
Bugün sizlerle 3. Ünite Değerlendirme Sorularını birlikte çözeceğiz. Bu sorular, kesirler ve ondalık gösterimler konusundaki bilgilerinizi pekiştirmenize yardımcı olacak. Kalemleriniz ve defterleriniz hazırsa, haydi başlayalım! Unutmayın, anlamadığınız bir yer olursa tekrar tekrar okuyabilir ve adımları takip edebilirsiniz.
***
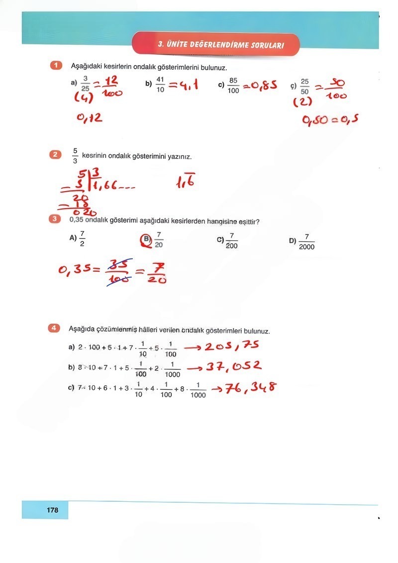
Soru 1: Aşağıdaki kesirlerin ondalık gösterimlerini bulunuz.
Sevgili çocuklar, bir kesri ondalık olarak göstermek için en kolay yol, paydasını 10, 100 veya 1000 gibi 10’un kuvvetleri yapmaktır. Buna “kesri genişletme” diyoruz. Paydayı hangi sayıyla çarpıyorsak, payı da aynı sayıyla çarpmayı unutmuyoruz!
- a) 3/25
Adım 1: Paydamız 25. Bunu 100 yapmak için kaçla çarpmalıyız? Tabii ki 4 ile!
Adım 2: Kesrimizi 4 ile genişletelim. Yani hem payı hem de paydayı 4 ile çarpalım.
(3 x 4) / (25 x 4) = 12 / 100Adım 3: Paydası 100 olan bir kesri ondalık yazmak çok kolay. Paydaki sayıyı yazarız ve virgülden sonra iki basamak olacak şekilde virgülümüzü koyarız.
Sonuç: 0,12 - b) 41/10
Adım 1: Burada paydamız zaten 10. İşimiz çok daha kolay!
Adım 2: Paydaki sayıyı (41) yazarız. Paydada 10 olduğu için (yani bir tane sıfır var), virgülden sonra bir basamak olmalı. Virgülü sayının sonundan bir basamak sola kaydırırız.
Sonuç: 4,1 - c) 85/100
Adım 1: Paydamız 100. Bu da çok kolay!
Adım 2: Paydaki sayıyı (85) yazarız. Paydada 100 olduğu için (iki sıfır var), virgülden sonra iki basamak olmalı.
Sonuç: 0,85 - ç) 25/50
Adım 1: Paydamız 50. Bunu 100 yapmak için 2 ile çarpmamız yeterli.
Adım 2: Kesrimizi 2 ile genişletelim.
(25 x 2) / (50 x 2) = 50 / 100Adım 3: Paydamız 100 oldu. Ondalık olarak yazalım.
Sonuç: 0,50 veya sondaki sıfırın bir değeri olmadığı için 0,5 de diyebiliriz.
***
Soru 2: 5/3 kesrinin ondalık gösterimini yazınız.
Bazen kesrin paydasını 10, 100 veya 1000 yapamayız. 3’ü neyle çarparsak 100 olur? Bulmak zor, değil mi? İşte böyle durumlarda payı paydaya böleriz. Yani normal bir bölme işlemi yapacağız.
Adım 1: 5’i 3’e bölelim.
5’in içinde 3, 1 kere var. 1 x 3 = 3. Kalan 2.
Adım 2: Bölme bitmedi. Kalan 2’nin yanına bir 0 ekleriz ve sonucumuza bir virgül (,) koyarız. Sayımız 20 oldu.
Adım 3: 20’nin içinde 3, 6 kere var. 6 x 3 = 18. Kalan yine 2.
Adım 4: Kalan 2’nin yanına tekrar 0 ekleriz. 20’nin içinde 3, yine 6 kere var… Gördüğünüz gibi bu işlem sürekli böyle devam edecek ve hep 6 bulacağız.
Bu tür sayılara devirli ondalık sayılar diyoruz. Tekrar eden rakamın üzerine bir çizgi koyarak gösteririz.
Sonuç: 1,666… yani 1,̄6
***
Soru 3: 0,35 ondalık gösterimi aşağıdaki kesirlerden hangisine eşittir?
Bu sefer ondalık sayıyı kesre çevireceğiz. Bu da çok basit!
Adım 1: Sayının virgülsüz halini (35) paya yazarız.
Adım 2: Virgülden sonra kaç basamak var? İki basamak (3 ve 5). O zaman paydaya 1’in yanına iki tane sıfır koyarız, yani 100 yazarız. Kesrimiz 35/100 oldu.
Adım 3: Şıklara bakıyoruz, 35/100 yok. Demek ki kesri sadeleştirmemiz gerekiyor. Hem 35 hem de 100 hangi sayıya bölünür? İkisi de 5’e bölünür!
35 ÷ 5 = 7
100 ÷ 5 = 20
Kesrimizin en sade hali 7/20 oldu.
Sonuç: B) 7/20
***
Soru 4: Aşağıda çözümlenmiş hâlleri verilen ondalık gösterimleri bulunuz.
Çözümlenmiş sayıları birleştirmek, bir yapbozun parçalarını birleştirmek gibidir. Her sayıyı doğru basamağa yerleştireceğiz.
- a) 2 · 100 + 5 · 1 + 7 · (1/10) + 5 · (1/100)
2 tane yüzlük → 200
5 tane birlik → 5
7 tane onda birlik → 0,7
5 tane yüzde birlik → 0,05Bunları birleştirelim: Yüzler basamağında 2, onlar basamağı boş olduğu için 0, birler basamağında 5 var. Virgül. Onda birler basamağında 7, yüzde birler basamağında 5 var.
Sonuç: 205,75
- b) 3 · 10 + 7 · 1 + 5 · (1/100) + 2 · (1/1000)
3 tane onluk → 30
7 tane birlik → 7
Dikkat! Onda birlik (1/10) basamağı verilmemiş, demek ki orası 0 olacak.
5 tane yüzde birlik → 0,05
2 tane binde birlik → 0,002Birleştirelim: Onlar basamağında 3, birler basamağında 7 var. Virgül. Onda birler basamağında 0, yüzde birler basamağında 5, binde birler basamağında 2 var.
Sonuç: 37,052
- c) 7 · 10 + 6 · 1 + 3 · (1/10) + 4 · (1/100) + 8 · (1/1000)
7 tane onluk → 70
6 tane birlik → 6
3 tane onda birlik → 0,3
4 tane yüzde birlik → 0,04
8 tane binde birlik → 0,008Hepsini yerlerine yerleştirelim.
Sonuç: 76,348
***
Soru 5: 0,56 · 100 + 3340 · (1/10) + 1,75 · 100 işleminin sonucunu işlemleri kısa yoldan yaparak bulunuz.
Kısa yoldan çarpma ve bölme, virgül kaydırma oyunudur! Bir sayıyı 10, 100, 1000 ile çarparsak virgülü sıfır sayısı kadar sağa kaydırırız. Bölersek de sola kaydırırız.
Adım 1: İlk işlemi yapalım: 0,56 · 100
100’de iki sıfır var, o zaman virgülü iki basamak sağa kaydıralım.
0,56 → 5,6 → 56. Sonuç 56.
Adım 2: İkinci işlemi yapalım: 3340 · (1/10)
Bir sayıyı 1/10 ile çarpmak, o sayıyı 10’a bölmekle aynı şeydir. 3340’ı 10’a bölelim. Bir sıfır olduğu için virgülü bir basamak sola kaydırırız. (3340’ın sonunda gizli bir virgül vardır: 3340,0)
3340,0 → 334,0. Sonuç 334.
Adım 3: Üçüncü işlemi yapalım: 1,75 · 100
100 ile çarpıyoruz, virgülü iki basamak sağa kaydıralım.
1,75 → 17,5 → 175. Sonuç 175.
Adım 4: Şimdi bulduğumuz sonuçları toplayalım.
56 + 334 + 175 = 565
Sonuç: 565
***
Soru 6: 0,2□5 ondalık gösterimi, onda birler basamağına göre yuvarlandığında 0,3 sayısı elde edilmektedir. Buna göre “□” yerine aşağıdaki rakamlardan hangisi yazılamaz?
Yuvarlama kuralını hatırlayalım: Bir basamağa göre yuvarlama yaparken, o basamağın hemen sağındaki rakama bakarız. Eğer bu rakam 5, 6, 7, 8 veya 9 ise, yuvarlama yaptığımız basamağı bir artırırız. Eğer 0, 1, 2, 3 veya 4 ise, o basamağı aynen bırakırız.
Adım 1: Sayımız 0,2□5 ve biz bunu onda birler basamağına (yani 2’nin olduğu basamağa) göre yuvarlıyoruz. Sonuç 0,3 olmuş.
Adım 2: 2’nin 3’e yükselmesi için, sağındaki rakam olan □’nin 5 veya 5’ten büyük bir rakam olması gerekir. Yani □ yerine 5, 6, 7, 8, 9 yazabiliriz.
Adım 3: Soru bize hangisi yazılamaz diye soruyor. Şıklara bakalım:
a) 4
b) 5
c) 6
d) 7
Yazabileceğimiz rakamlar 5, 6, 7, 8, 9 idi. Şıklarda olan 5, 6 ve 7 yazılabilir. Ama 4 yazılamaz. Çünkü □ yerine 4 yazarsak sayımız 0,245 olur ve bunu yuvarladığımızda sonuç 0,2 olurdu.
Sonuç: A) 4
***
Soru 7: 46,251 sayısı 10 ile bölünüp bölüm 1000 ile kısa yoldan çarpılırsa aşağıdaki sayılardan hangisi elde edilir?
Yine bir virgül kaydırma sorusu. Sırayla yapalım.
Adım 1: 46,251 sayısını 10’a bölelim.
10’a bölmek, virgülü bir basamak sola kaydırmak demektir.
46,251 → 4,6251
Adım 2: Bulduğumuz bu yeni sayıyı (4,6251) şimdi 1000 ile çarpalım.
1000 ile çarpmak, virgülü üç basamak sağa kaydırmak demektir.
4,6251 → 46,251 → 462,51 → 4625,1
Sonuç: D) 4625,1
***
Harikasınız çocuklar! Bütün soruları başarıyla tamamladık. Unutmayın, matematik bol bol pratik yaparak öğrenilir. Anlamadığınız konuları tekrar etmekten çekinmeyin. Bir sonraki dersimizde görüşmek üzere!
