

Merhaba sevgili öğrencilerim,
Ben 6. sınıf matematik öğretmeniniz. Bugün sizlerle birlikte 2. Ünite sonu değerlendirme sorularını çözeceğiz. Her soruyu adım adım, tane tane anlatacağım. Anlamadığınız bir yer olursa hiç çekinmeyin. Hazırsanız, haydi başlayalım!
***
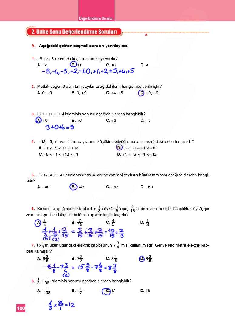
1. Soru: -6 ile +6 arasında kaç tane tam sayı vardır?
Çözüm:
Bu soruda bizden -6 ile +6’nın arasındaki tam sayıları bulmamız isteniyor. “Arasında” dediği için -6 ve +6 sayılarını dahil etmeyeceğiz. Gelin bu sayıları birlikte yazalım:
- -5
- -4
- -3
- -2
- -1
- 0
- +1
- +2
- +3
- +4
- +5
Şimdi bu sayıları sayalım. Gördüğünüz gibi tam 11 tane sayı var.
Doğru cevap B seçeneğidir.
***
2. Soru: Mutlak değeri 9 olan tam sayılar aşağıdakilerin hangisinde verilmiştir?
Çözüm:
Sevgili çocuklar, bir sayının mutlak değeri, o sayının sayı doğrusunda sıfıra (0) olan uzaklığı demektir. Uzaklık hiçbir zaman eksi (-) olamaz, değil mi? Bu yüzden mutlak değer her zaman pozitiftir veya sıfırdır.
Adım 1: Hangi sayının sıfıra olan uzaklığı 9 birimdir diye düşünelim.
Adım 2: Sayı doğrusunda sıfırdan 9 birim sağa gidersek +9‘a ulaşırız. Demek ki |+9| = 9’dur.
Adım 3: Sayı doğrusunda sıfırdan 9 birim sola gidersek -9‘a ulaşırız. Demek ki |-9| = 9’dur.
Yani mutlak değeri 9 olan iki tane tam sayı vardır: +9 ve -9.
Doğru cevap D seçeneğidir.
***
3. Soru: |-3| + |0| + |+6| işleminin sonucu aşağıdakilerden hangisidir?
Çözüm:
Bu soruyu çözmek için önce mutlak değerlerin içindeki sayıları dışarı çıkarmalıyız. Unutmayın, mutlak değer “uzaklık” demekti ve hep pozitifti.
Adım 1: |-3| demek, -3’ün sıfıra olan uzaklığı demektir. Bu da 3’tür.
Adım 2: |0| demek, 0’ın sıfıra olan uzaklığı demektir. Bu da 0’dır.
Adım 3: |+6| demek, +6’nın sıfıra olan uzaklığı demektir. Bu da 6’dır.
Adım 4: Şimdi bulduğumuz bu değerleri toplayalım: 3 + 0 + 6 = 9
Sonucumuz +9’dur.
Doğru cevap A seçeneğidir.
***
4. Soru: +12, -5, +1 ve -1 tam sayılarının küçükten büyüğe sıralanışı aşağıdakilerden hangisidir?
Çözüm:
Tam sayıları sıralarken aklımıza sayı doğrusunu getirelim. En soldaki sayı her zaman en küçüktür. Negatif sayılar her zaman pozitif sayılardan daha küçüktür. Kendi aralarında ise, sıfırdan daha uzak olan negatif sayı daha küçüktür.
Adım 1: Verilen sayılar arasında en küçük olanı bulalım. Negatif sayılarımız -5 ve -1. -5, sıfıra -1’den daha uzak olduğu için en küçük sayımız -5‘tir.
Adım 2: Geriye kalan en küçük sayı -1‘dir.
Adım 3: Şimdi pozitif sayılara bakalım: +12 ve +1. Bunlardan küçük olanı +1‘dir.
Adım 4: En büyük sayımız ise +12‘dir.
Sıralamamız: -5 < -1 < +1 < +12 şeklinde olur.
Doğru cevap B seçeneğidir.
***
5. Soru: -68 < ▲ < -41 sıralamasında ▲ yerine yazılabilecek en büyük tam sayı aşağıdakilerden hangisidir?
Çözüm:
Bu soruda ▲ (üçgen) yerine gelebilecek sayının -68’den büyük ve -41’den küçük olması gerektiğini anlıyoruz. Bizden istenen ise bu aralıktaki en büyük tam sayı.
Adım 1: Negatif sayılarda, sayısal olarak küçük görünenin değeri aslında daha büyüktür. Yani -42, -67’den daha büyüktür çünkü sıfıra daha yakındır.
Adım 2: ▲ yerine gelebilecek sayılar şunlardır: -67, -66, -65, … , -43, -42.
Adım 3: Bu sayıların içinde en büyük olanı, yani sayı doğrusunda en sağda olanı -42‘dir.
Doğru cevap B seçeneğidir.
***
6. Soru: Bir sınıf kitaplığındaki kitaplardan 1/3’i öykü, 1/5’i şiir, 2/15’si de ansiklopedidir. Kitaplıktaki öykü, şiir ve ansiklopedileri kitaplıktaki tüm kitapların kaçta kaçıdır?
Çözüm:
Bu kitap türlerinin toplamda tüm kitapların ne kadarlık bir kısmını oluşturduğunu bulmak için bu kesirleri toplamamız gerekiyor. Kesirlerle toplama yapabilmek için ne yapıyorduk? Elbette, paydaları eşitliyorduk!
Adım 1: Toplayacağımız kesirler: 1/3, 1/5 ve 2/15.
Adım 2: Paydalarımız 3, 5 ve 15. Bu sayıların hepsi 15’te birleşir. O zaman paydaları 15 yapalım.
- 1/3 kesrini 5 ile genişletelim: (1×5)/(3×5) = 5/15
- 1/5 kesrini 3 ile genişletelim: (1×3)/(5×3) = 3/15
- 2/15 kesrinin paydası zaten 15, ona dokunmuyoruz.
Adım 3: Şimdi paydaları eşit olan bu kesirleri toplayabiliriz.
5/15 + 3/15 + 2/15 = (5+3+2)/15 = 10/15
Adım 4: Sonucu her zaman en sade halde yazmalıyız. 10/15 kesrinin hem payı hem de paydası 5’e bölünür. Sadeleştirelim.
10 ÷ 5 = 2
15 ÷ 5 = 3
Sonucumuz 2/3 olur.
Doğru cevap A seçeneğidir.
***
7. Soru: 16 1/8 m uzunluğundaki elektrik kablosunun 7 3/4 m’si kullanılmıştır. Geriye kaç metre elektrik kablosu kalmıştır?
Çözüm:
“Geriye kalanı” bulmak için çıkarma işlemi yapmamız gerektiğini biliyoruz. Tam sayılı kesirlerle çıkarma yaparken en kolay yol, onları bileşik kesre çevirmektir.
Adım 1: Tam sayılı kesirleri bileşik kesre çevirelim.
- 16 1/8 = (16 × 8 + 1) / 8 = (128 + 1) / 8 = 129/8
- 7 3/4 = (7 × 4 + 3) / 4 = (28 + 3) / 4 = 31/4
Adım 2: Şimdi çıkarma işlemi için paydaları eşitleyelim. Paydalarımız 8 ve 4. İkisini de 8’de eşitleyebiliriz. 31/4 kesrini 2 ile genişletelim.
(31 × 2) / (4 × 2) = 62/8
Adım 3: Çıkarma işlemini yapalım.
129/8 – 62/8 = (129 – 62) / 8 = 67/8
Adım 4: Şıklarda sonuç tam sayılı kesir olarak verilmiş. O zaman biz de 67/8’i tam sayılı kesre çevirelim. 67’yi 8’e bölelim.
67’nin içinde 8, 8 kere vardır (8×8=64). Kalanımız ise 67-64=3’tür.
Yani sonucumuz: 8 tam 3/8‘dir.
Doğru cevap D seçeneğidir.
***
8. Soru: 1/3 ÷ 1/36 işleminin sonucu aşağıdakilerden hangisidir?
Çözüm:
Kesirlerle bölme işlemi yapmanın altın bir kuralı vardı, hatırlayalım: Birinci kesir aynen yazılır, ikinci kesir ters çevrilir ve çarpılır.
Adım 1: Birinci kesri (1/3) aynen yazalım.
Adım 2: İkinci kesri (1/36) ters çevirelim. Yani 36/1 olur.
Adım 3: Şimdi bu iki kesri çarpalım.
1/3 × 36/1 = (1 × 36) / (3 × 1) = 36/3
Adım 4: Sonucu bulmak için 36’yı 3’e bölelim.
36 ÷ 3 = 12
İşlemimizin sonucu 12‘dir.
Doğru cevap C seçeneğidir.
Umarım tüm çözümleri güzelce anlamışsınızdır. Matematik pratik yaparak öğrenilir, bol bol soru çözmeyi unutmayın! Başarılar dilerim!
