

Merhaba sevgili öğrencilerim!
Ben sizin 6. Sınıf Matematik öğretmeniniz. Bugün birlikte kitabımızdaki “Öğrendiklerimizi Uygulayalım” bölümündeki sorulara göz atacağız. Bu soruları adım adım, hepimizin anlayacağı şekilde çözeceğiz. Unutmayın, matematikte önemli olan adımları doğru takip etmektir. Hazırsanız, kalemleriniz ve defterleriniz hazırsa, haydi başlayalım!
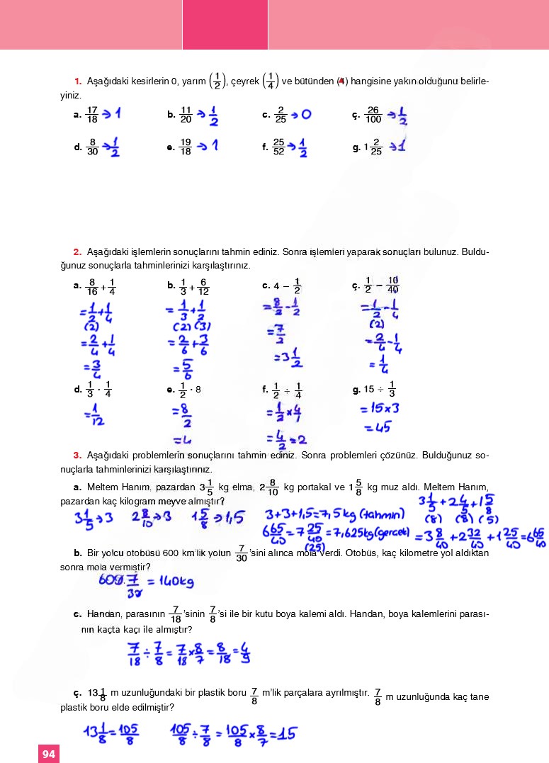
1. Aşağıdaki kesirlerin 0, yarım (1⁄2), çeyrek (1⁄4) ve bütünden (1) hangisine yakın olduğunu belirleyiniz.
Çözüm: Sevgili arkadaşlar, bir kesrin neye yakın olduğunu anlamak için pay ve paydası arasındaki ilişkiye bakarız. Pay, paydaya göre çok küçükse 0‘a; paydanın çeyreğine yakınsa çeyreğe; paydanın yarısına yakınsa yarıma; paydaya çok yakınsa bütüne yakındır deriz.
- a) 17⁄18
Burada 17 sayısı 18’e çok yakındır. Yani pay, paydaya neredeyse eşit. Bu yüzden bu kesir bütüne (1) yakındır.
- b) 11⁄20
20’nin yarısı 10’dur. 11 sayısı da 10’a çok yakındır. Demek ki bu kesir yarıma (1⁄2) yakındır.
- c) 2⁄25
2 sayısı 25’e göre çok küçük bir sayıdır. Bu kesir sıfıra (0) çok yakındır.
- ç) 26⁄100
100 sayısının çeyreği 25’tir (100 ÷ 4 = 25). 26 sayısı da 25’e çok yakın olduğu için bu kesir çeyreğe (1⁄4) yakındır.
- d) 8⁄30
30’un yarısı 15, çeyreği ise 7,5’tur. 8 sayısı 7,5’a daha yakın olduğu için bu kesrin çeyreğe (1⁄4) yakın olduğunu söyleyebiliriz.
- e) 19⁄18
Burada pay, paydadan biraz büyük. Yani 18/18 olan bütünü birazcık geçmiş. Bu yüzden en yakın olduğu değer yine bütündür (1).
- f) 25⁄52
52’nin yarısı 26’dır. 25 sayısı 26’ya çok yakın olduğu için bu kesir yarıma (1⁄2) yakındır.
- g) 1 2⁄25
Bu kesirde zaten 1 tam var. Yanındaki 2⁄25 kesri ise sıfıra çok yakın, çok küçük bir parça. Bu yüzden bu kesir en çok bütüne (1) yakındır.
2. Aşağıdaki işlemlerin sonuçlarını tahmin ediniz. Sonra işlemleri yaparak sonuçları bulunuz. Bulduğunuz sonuçlarla tahminlerinizi karşılaştırınız.
Çözüm: Bu soruda önce kesirleri yuvarlayarak aklımızdan bir sonuç tahmin edeceğiz, sonra da gerçek işlemi yapacağız. Bakalım tahminlerimiz ne kadar başarılı olacak!
- a) 8⁄16 + 1⁄4
Adım 1 (Tahmin):8⁄16 kesri, 8 sayısı 16’nın tam yarısı olduğu için 1⁄2‘ye eşittir. İşlemimiz yaklaşık olarak 1⁄2 + 1⁄4 olur. 1⁄2, 2⁄4 demektir. 2⁄4 + 1⁄4 = 3⁄4. Tahminimiz 3⁄4.
Adım 2 (Gerçek Sonuç):8⁄16 kesrini 8 ile sadeleştirirsek 1⁄2 buluruz. İşlemimiz 1⁄2 + 1⁄4 oldu. Toplama için paydaları eşitleyelim. 1⁄2‘yi 2 ile genişletirsek 2⁄4 olur. 2⁄4 + 1⁄4 = 3⁄4.
Sonuç: Tahminimiz ile gerçek sonuç aynı çıktı. Harika!
- b) 1⁄3 + 6⁄12
Adım 1 (Tahmin):6⁄12 kesri, 6 sayısı 12’nin tam yarısı olduğu için 1⁄2‘ye eşittir. İşlemimiz yaklaşık olarak 1⁄3 + 1⁄2 olur. Paydaları 6’da eşitlersek 2⁄6 + 3⁄6 = 5⁄6. Tahminimiz 5⁄6.
Adım 2 (Gerçek Sonuç):6⁄12 kesrini 6 ile sadeleştirirsek 1⁄2 buluruz. İşlemimiz 1⁄3 + 1⁄2 oldu. Paydaları 6’da eşitleyelim. (1⁄3 x 2) + (1⁄2 x 3) = 2⁄6 + 3⁄6 = 5⁄6.
Sonuç: Yine tahminimiz ile gerçek sonuç aynı çıktı!
- c) 4 – 1⁄2
Adım 1 (Tahmin): Bu işlemde yuvarlama yapmaya gerek yok, oldukça basit. Tahminimiz 3 ve yarım (3 1⁄2).
Adım 2 (Gerçek Sonuç): 4’ü 4⁄1 olarak yazabiliriz. 4⁄1 – 1⁄2. Paydaları 2’de eşitleyelim. 8⁄2 – 1⁄2 = 7⁄2. Bunu da tam sayılı kesre çevirirsek 3 1⁄2 olur.
Sonuç: Tahminimiz doğru çıktı.
- …ve diğer şıklar için de aynı mantıkla devam ederiz.
3. Aşağıdaki problemlerin sonuçlarını tahmin ediniz. Sonra problemleri çözünüz. Bulduğunuz sonuçlarla tahminlerinizi karşılaştırınız.
Çözüm: Şimdi de öğrendiklerimizi kullanarak problem çözelim. Yine önce tahmin, sonra gerçek çözüm yapacağız.
- a) Meltem Hanım, pazardan 3 1⁄5 kg elma, 2 8⁄10 kg portakal ve 1 5⁄8 kg muz aldı. Meltem Hanım, pazardan kaç kilogram meyve almıştır?
Adım 1 (Tahmin):
3 1⁄5 kg, yaklaşık 3 kg‘dır.
2 8⁄10 kg, 8⁄10 bütüne yakın olduğu için bu da yaklaşık 3 kg‘dır.
1 5⁄8 kg, 5⁄8 yarıma yakın olduğu için bu da yaklaşık 1,5 kg‘dır.
Tahminimiz: 3 + 3 + 1,5 = 7,5 kg.Adım 2 (Gerçek Sonuç):
Önce tam kısımları toplayalım: 3 + 2 + 1 = 6.
Şimdi kesirleri toplayalım: 1⁄5 + 8⁄10 + 5⁄8. Paydaları 40’ta eşitleyelim.
(1⁄5 x 8) = 8⁄40
(8⁄10 x 4) = 32⁄40
(5⁄8 x 5) = 25⁄40
Kesirlerin toplamı: 8⁄40 + 32⁄40 + 25⁄40 = 65⁄40.
65⁄40 kesrini tam sayılı kesre çevirelim: 1 25⁄40. Bunu da 5 ile sadeleştirirsek 1 5⁄8 olur.
Şimdi tam kısımları birleştirelim: 6 + 1 5⁄8 = 7 5⁄8 kg.Sonuç: Tahminimiz 7,5 kg idi. Gerçek sonuç 7 5⁄8 kg. Bu iki değer birbirine çok yakın. Tahminimiz oldukça başarılı!
- b) Bir yolcu otobüsü 600 km’lik yolun 7⁄30‘sini alınca mola verdi. Otobüs, kaç kilometre yol aldıktan sonra mola vermiştir?
Adım 1 (Tahmin):7⁄30 kesri yaklaşık 1⁄4‘e yakındır (çünkü 30’un çeyreği 7,5’tur). 600’ün çeyreği ise 600 ÷ 4 = 150 km’dir. Tahminimiz yaklaşık 150 km.
Adım 2 (Gerçek Sonuç):
Bir sayının kesir kadarını bulmak için o sayıyı kesirle çarparız. Yani 600’ün 7⁄30‘sini bulacağız.
600 x 7⁄30 = (600 x 7) / 30.
Önce sadeleştirme yapalım. 600’ü 30’a bölersek 20 buluruz.
İşlemimiz 20 x 7 olur.
20 x 7 = 140 km.Sonuç: Tahminimiz 150 km, gerçek sonuç 140 km. Gördüğünüz gibi yine çok yakın bir tahminde bulunduk!
- c) Handan, parasının 7⁄18‘sinin 7⁄8‘si ile bir kutu boya kalemi aldı. Handan, boya kalemlerini parasının kaçta kaçı ile almıştır?
Adım 1 (Tahmin):7⁄18 kesri, 18’in yarısı 9 olduğu için yarıma yakındır (1⁄2). 7⁄8 kesri ise 1’e (bütüne) çok yakındır. O zaman işlemimiz yaklaşık olarak 1⁄2 x 1 = 1⁄2 olur. Tahminimiz, parasının yaklaşık yarısı.
Adım 2 (Gerçek Sonuç):
Bir kesrin kesir kadarını bulmak için bu iki kesri çarparız.
7⁄18 x 7⁄8 = (7 x 7) / (18 x 8) = 49⁄144.Sonuç: Gerçek sonucumuz 49⁄144. 144’ün yarısı 72’dir. 49 sayısı 72’ye çok uzak değil. Yani sonucumuz yarıma yakın bir değer. Tahminimiz fena sayılmaz!
- ç) 13 1⁄8 m uzunluğundaki bir plastik boru 7⁄8 m’lik parçalara ayrılmıştır. 7⁄8 m uzunluğunda kaç tane plastik boru elde edilmiştir?
Adım 1 (Tahmin): 13 1⁄8 m yaklaşık 13 m‘dir. 7⁄8 m ise yaklaşık 1 m‘dir. 13 metrelik boruyu 1 metrelik parçalara ayırırsak yaklaşık 13 parça elde ederiz.
Adım 2 (Gerçek Sonuç):
Bu bir bölme işlemidir. Büyük borunun uzunluğunu küçük parçanın uzunluğuna böleceğiz.
(13 1⁄8) ÷ (7⁄8)
Önce tam sayılı kesri bileşik kesre çevirelim: 13 1⁄8 = (13 x 8 + 1) / 8 = 105⁄8.
İşlemimiz: 105⁄8 ÷ 7⁄8.
Kesirlerle bölme yaparken birinci kesri aynen yazar, ikinci kesri ters çevirip çarparız.
105⁄8 x 8⁄7
Burada 8’ler birbirini götürür (sadeleşir). Geriye 105⁄7 kalır.
105 ÷ 7 = 15.Sonuç: Tam olarak 15 parça boru elde edilir. Tahminimiz 13’tü, gerçek sonuç 15. Yine oldukça yakın bir tahminde bulunmuşuz!
Umarım tüm çözümler anlaşılır olmuştur. Gördüğünüz gibi, adımları takip edince ve biraz dikkat edince kesirlerle işlem yapmak hiç de zor değil. Bir sonraki dersimizde görüşmek üzere, hoşça kalın!
