

Merhaba sevgili öğrencilerim, ben sizin 5. Sınıf Matematik öğretmeniniz. Bugün birlikte işlem önceliği ve parantezli işlemlerle ilgili çok güzel sorular çözeceğiz. Gönderdiğiniz görseldeki alıştırmaları adım adım, hepimizin anlayacağı şekilde inceleyelim. Haydi başlayalım!
Şimdi Uygulayalım
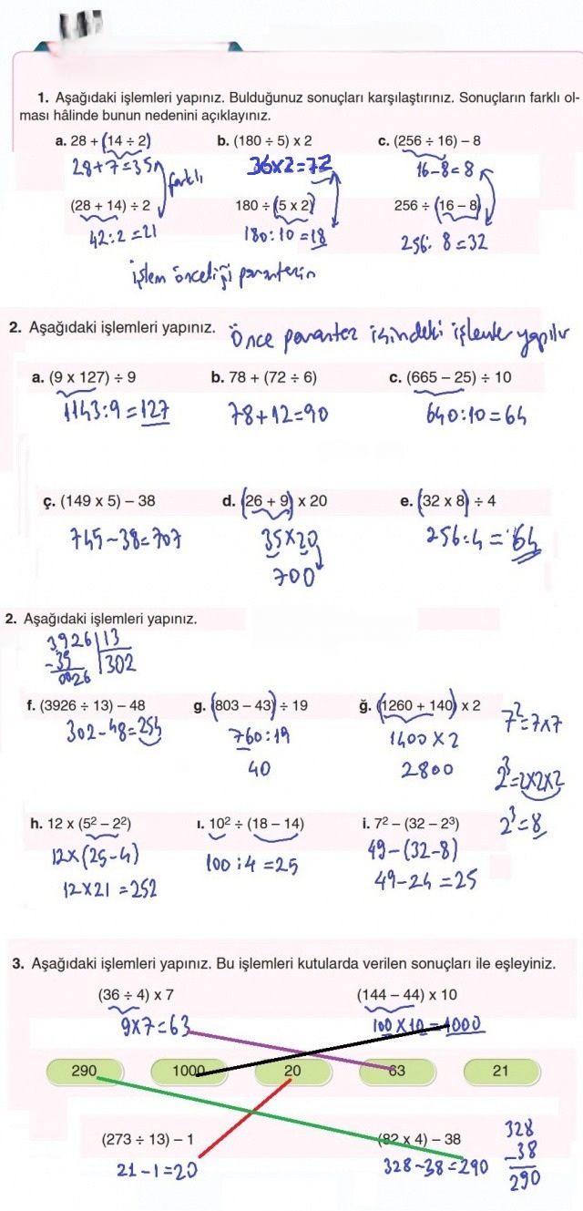
1. Aşağıdaki işlemleri yapınız. Bulduğunuz sonuçları karşılaştırınız. Sonuçların farklı olması hâlinde bunun nedenini açıklayınız.
Bu soruda parantezin ne kadar önemli olduğunu göreceğiz. Parantez, “Önce beni yap!” demektir. Unutmayın, işlem sırasında her zaman önce parantez içindeki işlemi yaparız.
a) 28 + (14 ÷ 2) ve (28 + 14) ÷ 2
İlk işlem: 28 + (14 ÷ 2)
Adım 1: Önce parantez içini yapıyoruz. 14’ü 2’ye bölelim.
14 ÷ 2 = 7Adım 2: Şimdi bulduğumuz sonucu 28 ile toplayalım.
28 + 7 = 35Sonuç: 35
İkinci işlem: (28 + 14) ÷ 2
Adım 1: Yine önce parantez içini yapıyoruz. Bu sefer parantez içinde toplama var.
28 + 14 = 42Adım 2: Şimdi bulduğumuz sonucu 2’ye bölelim.
42 ÷ 2 = 21Sonuç: 21
Karşılaştırma ve Neden: Gördüğünüz gibi 35 ve 21 birbirinden farklı sonuçlar. Bunun nedeni, parantezin yerinin değişmesidir. Parantezin yeri, hangi işlemi önce yapacağımızı belirler ve bu da sonucu tamamen değiştirir. Matematikte sıra çok önemlidir!
b) (180 ÷ 5) x 2 ve 180 ÷ (5 x 2)
İlk işlem: (180 ÷ 5) x 2
Adım 1: Önce parantez içindeki bölme işlemini yapalım.
180 ÷ 5 = 36Adım 2: Şimdi bulduğumuz sonucu 2 ile çarpalım.
36 x 2 = 72Sonuç: 72
İkinci işlem: 180 ÷ (5 x 2)
Adım 1: Parantez içindeki çarpma işlemini yapıyoruz.
5 x 2 = 10Adım 2: Şimdi 180’i bulduğumuz sonuca bölelim.
180 ÷ 10 = 18Sonuç: 18
Karşılaştırma ve Neden: Sonuçlarımız 72 ve 18. Yine farklı çıktılar! Sebebi yine aynı: parantezin yeri işlemlerin sırasını değiştirdi ve bu da bizi bambaşka sonuçlara götürdü.
c) (256 ÷ 16) – 8 ve 256 ÷ (16 – 8)
İlk işlem: (256 ÷ 16) – 8
Adım 1: Parantez içindeki bölme işlemini yapalım.
256 ÷ 16 = 16Adım 2: Şimdi bulduğumuz sonuçtan 8’i çıkaralım.
16 – 8 = 8Sonuç: 8
İkinci işlem: 256 ÷ (16 – 8)
Adım 1: Parantez içindeki çıkarma işlemini yapıyoruz.
16 – 8 = 8Adım 2: Şimdi 256’yı bulduğumuz sonuca bölelim.
256 ÷ 8 = 32Sonuç: 32
Karşılaştırma ve Neden: Sonuçlar 8 ve 32. Gördünüz mü çocuklar, parantezin gücü ne kadar büyük! İşlemler aynı olsa bile parantezin yeri sonucu tamamen değiştiriyor.
2. Aşağıdaki işlemleri yapınız.
Burada da işlem önceliği kuralımızı uygulayacağız. Kuralımız neydi? Parantez, Üslü Sayılar, Çarpma ve Bölme, Toplama ve Çıkarma. (Çarpma ve bölme yan yana ise soldan sağa, toplama ve çıkarma yan yana ise yine soldan sağa doğru yaparız.)
- a) (9 x 127) ÷ 9
Adım 1: Önce parantez içi: 9 x 127 = 1143
Adım 2: Şimdi bölme: 1143 ÷ 9 = 127
Sonuç: 127 - b) 78 + (72 ÷ 6)
Adım 1: Önce parantez içi: 72 ÷ 6 = 12
Adım 2: Şimdi toplama: 78 + 12 = 90
Sonuç: 90 - c) (665 – 25) ÷ 10
Adım 1: Önce parantez içi: 665 – 25 = 640
Adım 2: Şimdi bölme: 640 ÷ 10 = 64
Sonuç: 64 - ç) (149 x 5) – 38
Adım 1: Önce parantez içi: 149 x 5 = 745
Adım 2: Şimdi çıkarma: 745 – 38 = 707
Sonuç: 707 - d) (26 + 9) x 20
Adım 1: Önce parantez içi: 26 + 9 = 35
Adım 2: Şimdi çarpma: 35 x 20 = 700
Sonuç: 700 - e) (32 x 8) ÷ 4
Adım 1: Önce parantez içi: 32 x 8 = 256
Adım 2: Şimdi bölme: 256 ÷ 4 = 64
Sonuç: 64 - f) (3926 ÷ 13) – 48
Adım 1: Önce parantez içi: 3926 ÷ 13 = 302
Adım 2: Şimdi çıkarma: 302 – 48 = 254
Sonuç: 254 - g) (803 – 43) ÷ 19
Adım 1: Önce parantez içi: 803 – 43 = 760
Adım 2: Şimdi bölme: 760 ÷ 19 = 40
Sonuç: 40 - ğ) (1260 + 140) x 2
Adım 1: Önce parantez içi: 1260 + 140 = 1400
Adım 2: Şimdi çarpma: 1400 x 2 = 2800
Sonuç: 2800 - h) 12 x (5² – 2²)
Adım 1: Parantez içindeki üslü sayıları yapalım. 5² = 5×5 = 25 ve 2² = 2×2 = 4.
Adım 2: Parantez içindeki çıkarmayı yapalım: 25 – 4 = 21
Adım 3: Şimdi çarpma: 12 x 21 = 252
Sonuç: 252 - ı) 10² ÷ (18 – 14)
Adım 1: Önce üslü sayıyı ve parantez içini aynı anda yapabiliriz. 10² = 10×10 = 100 ve 18 – 14 = 4.
Adım 2: Şimdi bölme işlemini yapalım: 100 ÷ 4 = 25
Sonuç: 25 - i) 7² – (32 – 2³)
Adım 1: Önce üslü sayıları halledelim. 7² = 7×7 = 49 ve 2³ = 2x2x2 = 8.
Adım 2: Parantez içindeki çıkarmayı yapalım: 32 – 8 = 24
Adım 3: Son olarak dışarıdaki çıkarmayı yapalım: 49 – 24 = 25
Sonuç: 25
3. Aşağıdaki işlemleri yapınız. Bu işlemleri kutularda verilen sonuçları ile eşleştiriniz.
Şimdi de dedektiflik zamanı! İşlemlerin sonuçlarını bulup doğru kutuyla eşleştireceğiz.
(36 ÷ 4) x 7
Adım 1: Parantez içi: 36 ÷ 4 = 9
Adım 2: Çarpma: 9 x 7 = 63
Sonuç: Bu işlemin sonucu 63. Kutulara bakıyoruz ve 63 numaralı kutuyla eşleştiriyoruz.(144 – 44) x 10
Adım 1: Parantez içi: 144 – 44 = 100
Adım 2: Çarpma: 100 x 10 = 1000
Sonuç: Bu işlemin sonucu 1000. Hemen 1000 numaralı kutuyla eşleştirelim.(273 ÷ 13) – 1
Adım 1: Parantez içi: 273 ÷ 13 = 21
Adım 2: Çıkarma: 21 – 1 = 20
Sonuç: Bu işlemin sonucu 20. Harika! 20 numaralı kutu bizim.(82 x 4) – 38
Adım 1: Parantez içi: 82 x 4 = 328
Adım 2: Çıkarma: 328 – 38 = 290
Sonuç: Bu işlemin sonucu 290. Son olarak bunu da 290 numaralı kutuyla eşleştirdik.
Gördüğünüz gibi, tüm işlemleri doğru bir şekilde çözdük ve kutularla eşleştirdik. Boşta kalan kutu ise 21 oldu.
Harikasınız çocuklar! Matematikte kuralları bildiğimiz ve adımları sırayla takip ettiğimiz sürece her soru çok kolay. Çalışmaya devam! Anlamadığınız bir yer olursa sormaktan çekinmeyin.
