7. Sınıf Matematik Ders Kitabı Cevapları Meb Yayınları Sayfa 66
Harika bir fikir! Matematik dersimize hoş geldiniz sevgili öğrenciler. Bugün sizlerle bu testteki rasyonel sayılarla ilgili soruları adım adım, tane tane çözeceğiz. Unutmayın, matematikte her sorunun bir mantığı vardır ve biz bu mantığı birlikte keşfedeceğiz. Hazırsanız, kalemleriniz ve defterleriniz hazırsa, başlayalım!
1. Soru: (-3 1/3) + (-2 2/3) + 2/3 işleminin sonucu kaçtır?
Merhaba çocuklar, bu soruda tam sayılı kesirlerle toplama işlemi var. İşimiz çok kolay çünkü hepsinin paydası aynı! Ama önce şu tam sayılı kesirleri bileşik kesre çevirelim, olur mu?
-
Adım 1: Tam sayılı kesirleri bileşik kesre çevirelim.
(-3 1/3) için: Tam kısmı payda ile çarpıp paya ekleriz. Yani (3 * 3) + 1 = 10. İşareti de eksi olduğu için bu kesir -10/3 olur.
(-2 2/3) için: (2 * 3) + 2 = 8. İşareti eksi olduğu için bu da -8/3 olur. -
Adım 2: Şimdi işlemi yeni haliyle yazalım.
(-10/3) + (-8/3) + 2/3
-
Adım 3: Paydalarımız aynı (hepsi 3), o zaman sadece payları toplayacağız.
(-10) + (-8) + 2 = -18 + 2 = -16
-
Adım 4: Sonucu yazalım. Payımız -16, paydamız 3.
Sonuç: -16/3
Doğru cevap C) seçeneğidir.
2. Soru: -7/8 + 3/4 işleminin sonucu kaçtır?
Bu soruda ise paydalar farklı. Rasyonel sayılarda toplama veya çıkarma yapabilmek için ilk kuralımız neydi? Tabii ki paydaları eşitlemek!
-
Adım 1: Paydaları eşitleyelim. Bir paydamız 8, diğeri 4. 8, 4’ün katı olduğu için 3/4 kesrini 2 ile genişleterek paydasını 8 yapabiliriz.
3/4 kesrini (2) ile genişletirsek: (3 * 2) / (4 * 2) = 6/8 olur.
-
Adım 2: İşlemi yeni haliyle yazalım.
-7/8 + 6/8
-
Adım 3: Artık paydalar eşit olduğuna göre payları toplayabiliriz.
-7 + 6 = -1
-
Adım 4: Sonucu yazalım. Payımız -1, paydamız 8.
Sonuç: -1/8
Doğru cevap A) seçeneğidir.
3. Soru: -2 7/10 + 2 3/5 işleminin sonucu kaçtır?
Yine tam sayılı kesirler ve farklı paydalar var. Korkmuyoruz, bildiğimiz adımları sırayla uygulayacağız.
-
Adım 1: Önce tam sayılı kesirleri bileşik kesre çevirelim.
-2 7/10 = -( (2*10)+7 ) / 10 = -27/10
2 3/5 = ( (2*5)+3 ) / 5 = 13/5 -
Adım 2: Şimdi paydaları eşitlememiz gerekiyor. Paydalarımız 10 ve 5. 13/5 kesrini 2 ile genişletirsek paydası 10 olur.
13/5 kesrini (2) ile genişletirsek: (13 * 2) / (5 * 2) = 26/10
-
Adım 3: İşlemi yeni haliyle yazalım.
-27/10 + 26/10
-
Adım 4: Paydalar eşit, payları toplayalım.
-27 + 26 = -1
-
Adım 5: Sonucu yazalım.
Sonuç: -1/10
Doğru cevap A) seçeneğidir.
4. Soru: (-2 1/2) – 1/5 işleminin sonucu kaçtır?
Bu bir çıkarma işlemi. Adımlarımız toplama ile neredeyse aynı. Hadi yapalım!
-
Adım 1: Tam sayılı kesri bileşik kesre çevirelim.
(-2 1/2) = -( (2*2)+1 ) / 2 = -5/2
-
Adım 2: İşlemi yazalım: (-5/2) – 1/5. Şimdi paydaları eşitlemeliyiz. 2 ve 5’in ortak katı 10’dur.
-5/2 kesrini (5) ile genişletelim: (-5 * 5) / (2 * 5) = -25/10
1/5 kesrini (2) ile genişletelim: (1 * 2) / (5 * 2) = 2/10 -
Adım 3: İşlemi yeni haliyle yazalım.
-25/10 – 2/10
-
Adım 4: Payları çıkaralım.
-25 – 2 = -27
-
Adım 5: Sonucu yazalım.
Sonuç: -27/10
Doğru cevap D) seçeneğidir.
5. Soru: (-7/2) + 0,7 işleminin sonucu kaçtır?
Burada bir kesir ve bir ondalık sayı var. Bu tür sorularda ya ikisini de kesre ya da ikisini de ondalık sayıya çeviririz. Ondalık sayıya çevirmek daha kolay görünüyor.
- Adım 1: -7/2 kesrini ondalık sayıya çevirelim. Bunun için 7’yi 2’ye böleriz. 7 ÷ 2 = 3,5. İşareti de eksi olduğu için -3,5 olur.
-
Adım 2: Şimdi işlemi ondalık sayılarla yazalım.
-3,5 + 0,7
-
Adım 3: Toplama işlemini yapalım. İşaretler farklı olduğu için büyük sayıdan küçük sayıyı çıkarıp büyüğün işaretini koyarız.
3,5 – 0,7 = 2,8. Büyük olan 3,5’in işareti eksi olduğu için sonuç -2,8 olur.
Doğru cevap B) seçeneğidir.
6. Soru: (-3 9/10) + 3,6 işleminin sonucu kaçtır?
Bu soru da bir önceki gibi. Yine ondalık sayılara çevirmek en kolayı olacak.
-
Adım 1: Tam sayılı kesri ondalık sayıya çevirelim. 9/10 zaten “onda dokuz” yani 0,9 demektir.
(-3 9/10) = -3,9
-
Adım 2: İşlemi yeni haliyle yazalım.
-3,9 + 3,6
-
Adım 3: Yine işaretler zıt. Büyükten küçüğü çıkarıp büyüğün işaretini alalım.
3,9 – 3,6 = 0,3. Büyük olan 3,9’un işareti eksi olduğu için sonuç -0,3 olur.
Doğru cevap A) seçeneğidir.
7. Soru: (-5 2/3) – (-2) işleminin sonucu kaçtır?
Çocuklar, bu soruda çok önemli bir kural var! İki eksi yan yana gelince ne oluyordu? Artı! Yani bir negatif sayıdan başka bir negatif sayıyı çıkarmak, aslında o sayının pozitifini eklemektir.
-
Adım 1: İşlemi basitleştirelim. “- (-2)” ifadesi “+2” olur.
İşlemimiz şuna dönüştü: (-5 2/3) + 2
-
Adım 2: Şimdi bir tam sayılı kesir ile bir tam sayıyı topluyoruz. En kolay yolu, tam kısımları kendi arasında toplamaktır.
Tam kısımlar: -5 ve +2. Toplarsak -5 + 2 = -3 olur.
Kesir kısmı ise değişmez: 2/3. -
Adım 3: Sonucu birleştirelim.
Sonuç: -3 2/3
Doğru cevap A) seçeneğidir.
8. Soru: 3/4 sayısının toplama işlemine göre tersi A, -2/3 sayısının toplama işlemine göre tersi B olduğuna göre A-B kaçtır?
“Toplama işlemine göre tersi” ne demekti, hatırlayalım. Bir sayının sadece işaretini değiştirmek demekti. Yani pozitifse negatif, negatifse pozitif yapmak.
-
Adım 1: A sayısını bulalım. 3/4’ün toplama işlemine göre tersi, işaretini değiştirmektir.
A = -3/4
-
Adım 2: B sayısını bulalım. -2/3’ün toplama işlemine göre tersi, yine işaretini değiştirmektir.
B = +2/3
-
Adım 3: Şimdi bizden istenen A – B işlemini yapalım.
(-3/4) – (2/3)
-
Adım 4: Paydaları eşitlememiz gerekiyor. 4 ve 3’ün ortak katı 12’dir.
-3/4 kesrini (3) ile genişletelim: (-3 * 3) / (4 * 3) = -9/12
2/3 kesrini (4) ile genişletelim: (2 * 4) / (3 * 4) = 8/12 -
Adım 5: İşlemi yeni haliyle yapalım.
-9/12 – 8/12 = (-9 – 8) / 12 = -17/12
Doğru cevap A) seçeneğidir.
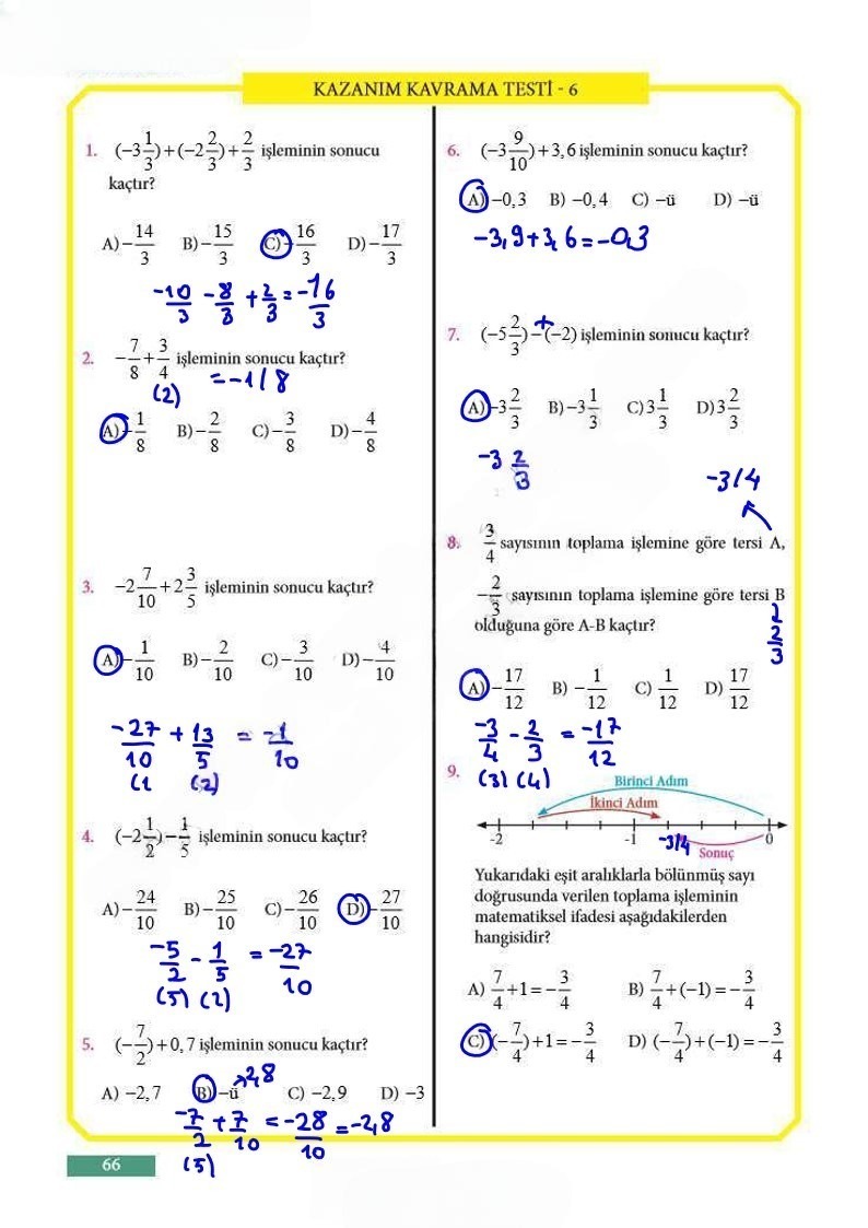
9. Soru: Yukarıdaki eşit aralıklarla bölünmüş sayı doğrusunda verilen toplama işleminin matematiksel ifadesi aşağıdakilerden hangisidir?
Sayı doğrusu soruları aslında bir hikaye anlatır. Biz de bu hikayeyi okuyup matematik diline çevireceğiz.
- Adım 1: Sayı doğrusunu inceleyelim. 0 ile -1 arası 4 eşit parçaya bölünmüş. Demek ki her bir aralık 1/4 birim.
- Adım 2: İlk oku (Birinci Adım) takip edelim. Ok, 0’dan başlayıp sola doğru gitmiş. Nereye kadar? -1’i yani -4/4’ü geçmiş ve 3 birim daha gitmiş. Toplamda 7 birim sola gitmiş. Yani ilk sayımız -7/4‘tür.
- Adım 3: İkinci oku (İkinci Adım) takip edelim. Bu ok, ilk okun bittiği yerden (-7/4’ten) başlamış ve sağa doğru gitmiş. Sağa gitmek toplama demektir. Kaç birim gitmiş? Sayalım: 1, 2, 3, 4 birim. Her birim 1/4 olduğuna göre, 4 * (1/4) = 1 tam sağa gitmiş. Yani ikinci sayımız +1‘dir.
-
Adım 4: İşlemi birleştirelim. İlk hareketimiz -7/4, ikinci hareketimiz +1.
İşlem: (-7/4) + 1
-
Adım 5: Sonucu (pembe ok) kontrol edelim. Sonuç oku 0’ın solunda 3. çizgide durmuş. Bu nokta -3/4‘tür.
Yani işlemimiz: (-7/4) + 1 = -3/4
Şıklara baktığımızda bu ifadenin C) seçeneğinde olduğunu görüyoruz.
Umarım tüm çözümler anlaşılır olmuştur. Unutmayın, bol bol pratik yaparak bu konuları çok daha iyi öğrenebilirsiniz. Başarılar dilerim!