

Merhaba sevgili öğrencim, gönderdiğin “Kazanım Kavrama Testi – 4″teki soruları senin için adım adım, kolayca anlayacağın bir dille çözeceğim. Haydi başlayalım!
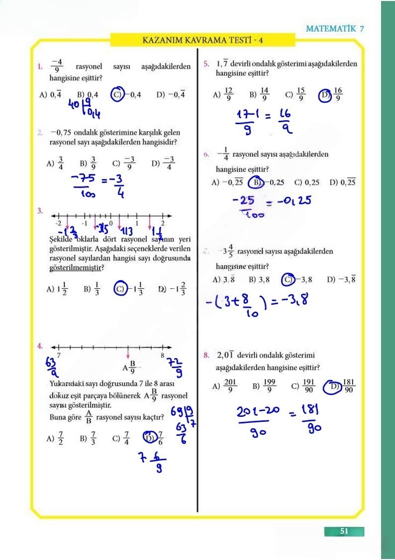
Soru 1:-4/9 rasyonel sayısı aşağıdakilerden hangisine eşittir?
Merhaba, bu soruda bir kesri ondalık sayıya çevirmemiz isteniyor. Bunu yapmak için payı paydaya bölmemiz yeterli.
- Adım 1: İşareti bir kenara bırakıp 4’ü 9’a bölelim. 4’ün içinde 9 olmadığı için 4’ün yanına bir sıfır (0) ekleyip, sonucun başına “0,” yazarız. Şimdi sayımız 40 oldu.
- Adım 2: 40’ın içinde 9 kaç kere var? 4 kere var. (4 x 9 = 36). Kalanımız 4 olur.
- Adım 3: Kalan 4’ün yanına tekrar bir sıfır ekleriz, sayımız yine 40 olur. 40’ın içinde 9 yine 4 kere vardır. Bu işlemin sürekli tekrar ettiğini fark ettin mi? Sonuç sürekli 0,444… şeklinde devam ediyor.
- Adım 4: Sürekli tekrar eden bu tür ondalık sayılara devirli ondalık sayılar deriz. Tekrar eden rakamın (burada 4) üzerine bir çizgi koyarak gösteririz. Yani 0,4̅ şeklinde yazarız.
- Adım 5: Sorudaki sayımız negatif (-4/9) olduğu için bulduğumuz sonucun başına eksi (-) işareti koyarız.
Sonuç: -0,4̅
Doğru cevap D) şıkkıdır.
Soru 2: –0,75 ondalık gösterimine karşılık gelen rasyonel sayı aşağıdakilerden hangisidir?
Bu soruda ise tam tersini yapacağız, ondalık sayıyı kesre çevireceğiz. Çok kolay, izle bakalım!
- Adım 1: Önce sayıyı virgülsüz olarak okuyalım: 75. Bu sayıyı kesrimizin payına yazarız.
- Adım 2: Paydaya ise 1 yazarız ve virgülden sonra kaç tane rakam varsa o kadar sıfır ekleriz. –0,75 sayısında virgülden sonra iki rakam (7 ve 5) var. O zaman paydamız 100 olur. Kesrimiz şimdilik 75/100 oldu.
- Adım 3: Sayımız negatif olduğu için kesrimizin başına eksi işaretini koyalım: –75/100.
- Adım 4: Şimdi bu kesri en sade haline getirmeliyiz. Hem 75’i hem de 100’ü bölebilen en büyük sayıyı düşünelim. Bu sayı 25’tir. Payı ve paydayı 25’e bölelim.
75 ÷ 25 = 3
100 ÷ 25 = 4
Sonuç: –3/4
Doğru cevap D) şıkkıdır.
Soru 3: Şekilde oklarla dört rasyonel sayının yeri gösterilmiştir. Aşağıdaki seçeneklerde verilen rasyonel sayılardan hangisi sayı doğrusunda gösterilmemiştir?
Sayı doğrusunu dikkatlice inceleyerek okların hangi sayılara denk geldiğini bulalım.
- Adım 1: Sayı doğrusundaki tam sayılar arasındaki aralıkların kaç eş parçaya bölündüğüne bakalım. Örneğin 0 ile 1 arası 3 parçaya bölünmüş. Demek ki her bir aralık 1/3‘ü temsil ediyor.
- Adım 2: Şimdi okların gösterdiği sayıları bulalım:
- 0’dan sağa doğru ilk ok, 1/3 sayısını gösteriyor. Bu B) şıkkında var.
- 1 ile 2 arasına bakalım. Bu aralık 2 eş parçaya bölünmüş. Ok tam ortada duruyor. Yani 1 tamı geçmiş ve yarım daha gitmiş. Bu sayı 1 1/2‘dir. Bu da A) şıkkında var.
- Şimdi negatif tarafa bakalım. -1 ile -2 arası 3 eş parçaya bölünmüş. -1’den sola doğru ilk ok, -1 1/3 sayısını gösteriyor. Bu da C) şıkkında var.
- Diğer ok ise -1 ile 0 arasında ve 3 parçaya bölünmüş. Bu okun gösterdiği sayı -1/3’tür ancak bu şıklarda yok.
- Adım 3: Şıkları kontrol ettiğimizde A, B ve C şıklarındaki sayıların sayı doğrusunda oklarla gösterildiğini gördük. Ancak D şıkkındaki -1 2/3 sayısı sayı doğrusunda bir ok ile gösterilmemiştir.
Sonuç: -1 2/3
Doğru cevap D) şıkkıdır.
Soru 4: Yukarıdaki sayı doğrusunda 7 ile 8 arası dokuz eşit parçaya bölünerek A B/9 rasyonel sayısı gösterilmiştir. Buna göre A/B rasyonel sayısı kaçtır?
Bu soru biraz kafa karıştırıcı görünebilir ama aslında çok basit. Sadece sayı doğrusunu doğru okumamız gerekiyor.
- Adım 1: Sayı doğrusunda 7 ile 8 arasının 9 eşit parçaya bölündüğü söyleniyor. Bu, her bir parçanın 1/9‘u temsil ettiği anlamına gelir.
- Adım 2: Okun hangi noktayı gösterdiğini bulalım. 7 tam sayısından başlayarak sağa doğru parçaları sayalım: 1, 2, 3, 4, 5, 6, 7. Ok, 7. çizgiyi gösteriyor.
- Adım 3: Bu durumda okun gösterdiği sayı, 7 tam ve 7/9 kesridir. Yani sayımız 7 7/9‘dur.
- Adım 4: Soruda bu sayı bize A B/9 olarak verilmiş. Bu iki ifadeyi karşılaştırırsak:
A = 7
B = 7 - Adım 5: Soru bizden A/B rasyonel sayısını bulmamızı istiyor. A ve B yerine bulduğumuz değerleri yazalım: 7/7.
- Adım 6: Bir sayının kendisine bölümü her zaman 1’dir. Yani 7/7 = 1.
Sonuç: 1
Öğretmen Notu: Sevgili öğrencim, bu soruda bulduğumuz sonuç 1’dir. Ancak şıklara baktığımızda 1 seçeneği bulunmuyor. Bu durum, soruda veya şıklarda bir baskı hatası olabileceğini gösteriyor. Ama sorunun doğru çözüm yolu kesinlikle budur. Bazen test kitaplarında böyle hatalar olabiliyor, önemli olan senin doğru yöntemi bilmen.
Soru 5: 1,7̅ devirli ondalık gösterimi aşağıdakilerden hangisine eşittir?
Devirli ondalık sayıları kesre çevirmek için çok pratik bir kuralımız var. Hadi uygulayalım!
- Adım 1: Kuralımız şöyle: (Sayının tamamı – Devretmeyen kısım) / (Virgülden sonra devreden basamak sayısı kadar 9)
- Adım 2: Sayımızın tamamını (virgülü ve devir çizgisini görmeden) yazalım: 17.
- Adım 3: Sayının devretmeyen kısmını yazalım: 1.
- Adım 4: Bu değerleri formülde yerine koyup payı bulalım: 17 – 1 = 16.
- Adım 5: Paydayı bulalım. Virgülden sonra devreden sadece bir rakam var (7). O halde paydaya bir tane 9 yazarız. Paydamız 9 oldu.
Sonuç:16/9
Doğru cevap D) şıkkıdır.
Soru 6: –1/4 rasyonel sayısı aşağıdakilerden hangisine eşittir?
Yine bir kesri ondalık sayıya çevirme sorusu. Bunun için paydayı 10, 100, 1000 gibi 10’un kuvveti yapmaya çalışabiliriz. Bu en kolay yoldur.
- Adım 1: Kesrimiz 1/4. Paydası 4. 4’ü kaçla çarparsak 100 yapar? 25 ile!
- Adım 2: Bir kesri genişletirken hem payını hem de paydasını aynı sayıyla çarpmamız gerektiğini unutma.
1 × 25/4 × 25 = 25/100
- Adım 3:25/100 kesri “yüzde yirmi beş” olarak okunur ve 0,25 olarak yazılır.
- Adım 4: Sorudaki asıl sayımız negatif olduğu için (-1/4), sonucumuz da negatif olacaktır.
Sonuç: –0,25
Doğru cevap B) şıkkıdır.
Soru 7: -3 4/5 rasyonel sayısı aşağıdakilerden hangisine eşittir?
Bu bir tam sayılı kesir. Bunu ondalık sayıya çevirirken tam kısmı ayırıp sadece kesir kısmıyla ilgilenebiliriz.
- Adım 1: Kesir kısmını alalım: 4/5. Paydasını 10 yapabilir miyiz? Evet, 2 ile çarparak!
- Adım 2: Kesri 2 ile genişletelim:
4 × 2/5 × 2 = 8/10
- Adım 3:8/10 kesri 0,8‘e eşittir.
- Adım 4: Şimdi başında bekleyen tam kısmımızı (yani -3’ü) ekleyelim. -3 tam ve 0,8 ondalık kısmını birleştirirsek sayımız -3,8 olur.
Sonuç: –3,8
Doğru cevap C) şıkkıdır.
Soru 8: 2,01̅ devirli ondalık gösterimi aşağıdakilerden hangisine eşittir?
Bu soruda da devirli sayıları kesre çevirme kuralımızı kullanacağız ama bu sefer virgülden sonra devretmeyen bir basamak da var. Kuralımız biraz değişiyor.
- Adım 1: Kuralımızı hatırlayalım: (Sayının tamamı – Devretmeyen kısım) / (Virgülden sonra devreden basamak sayısı kadar 9, devretmeyen basamak sayısı kadar 0)
- Adım 2: Sayının tamamı (virgülü ve çizgiyi görmeden): 201.
- Adım 3: Devretmeyen kısım (devreden 1’i kapatınca geriye kalan sayı): 20.
- Adım 4: Payımızı hesaplayalım: 201 – 20 = 181.
- Adım 5: Paydayı bulalım. Virgülden sonra devreden bir rakam var (1), o yüzden bir tane 9 yazarız. Virgülden sonra devretmeyen bir rakam var (0), o yüzden bir tane 0 yazarız. Paydamız 90 olur.
Sonuç:181/90
Doğru cevap D) şıkkıdır.
Umarım çözümler anlaşılır olmuştur. Anlamadığın bir yer olursa çekinmeden sorabilirsin. Başarılar dilerim!
