

Merhaba sevgili öğrencilerim,
Ben sizin 7. Sınıf Matematik öğretmeninizim. Gönderdiğiniz görseldeki soruları sizin için tek tek, anlaşılır bir dille çözeceğim. Hazırsanız, hadi başlayalım!
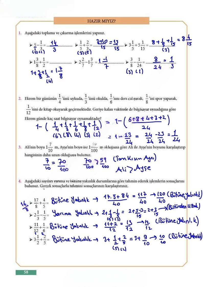
Soru 1: Aşağıdaki toplama ve çıkarma işlemlerini yapınız.
Bu soruda kesirlerle toplama ve çıkarma işlemleri yapacağız. Unutmayın, bu işlemleri yapabilmek için en önemli kuralımız paydaları eşitlemektir.
a) 5 – 1/3 = ?
Adım 1: Burada 5 bir tam sayıdır. Onu paydası 1 olan bir kesir gibi düşünebiliriz: 5/1. Şimdi paydaları eşitlemek için 5/1 kesrini 3 ile genişletelim.
5/1 (3 ile genişlet) = (5 * 3) / (1 * 3) = 15/3
Adım 2: Şimdi işlemi yapabiliriz.
15/3 – 1/3 = (15 – 1) / 3 = 14/3
İsterseniz bunu tam sayılı kesre de çevirebiliriz: 14’ün içinde 3, 4 kere var (4*3=12), kalan ise 2’dir. Yani 4 tam 2/3.
Sonuç: 14/3 veya 4 2/3
b) 1/5 + 2/3 = ?
Adım 1: Paydalarımız 5 ve 3. İkisinin de ortak katı 15’tir. O zaman ilk kesri 3 ile, ikinci kesri 5 ile genişletelim.
1/5 (3 ile genişlet) = 3/15
2/3 (5 ile genişlet) = 10/15
Adım 2: Şimdi paydalar eşitlendiğine göre payları toplayabiliriz.
3/15 + 10/15 = (3 + 10) / 15 = 13/15
Sonuç: 13/15
c) 3 1/5 + 5 1/15 = ?
Adım 1: Önce tam kısımları toplayabiliriz: 3 + 5 = 8. Şimdi kesir kısımlarını toplayalım: 1/5 + 1/15.
Adım 2: Paydaları eşitlememiz gerekiyor. 1/5 kesrini 3 ile genişleterek paydayı 15 yapabiliriz.
1/5 (3 ile genişlet) = 3/15
Adım 3: Kesirleri toplayalım.
3/15 + 1/15 = 4/15
Adım 4: Şimdi tam kısımla kesir kısmını birleştirelim.
Sonuç: 8 4/15
d) 1 3/8 + 1/2 = ?
Adım 1: Paydalarımız 8 ve 2. Ortak paydamız 8 olabilir. 1/2 kesrini 4 ile genişletelim.
1/2 (4 ile genişlet) = 4/8
Adım 2: Şimdi toplama işlemini yapalım.
1 3/8 + 4/8 = 1 (3+4)/8 = 1 7/8
Sonuç: 1 7/8
e) 2 2/7 – 1 3/7 = ?
Adım 1: Bu soruda dikkatli olmalıyız. 2/7’den 3/7’yi çıkaramayız. Tıpkı normal çıkarma işleminde komşudan onluk alır gibi, burada da tam kısımdan bir “bütün” alacağız.
Adım 2: 2 2/7 kesrinden 1 tam alıp kesir kısmına ekleyelim. Aldığımız 1 tam, payda 7 olduğu için 7/7’ye eşittir.
2 2/7 = 1 + 1 + 2/7 = 1 + 7/7 + 2/7 = 1 9/7
Adım 3: Şimdi çıkarma işlemini rahatça yapabiliriz.
1 9/7 – 1 3/7 = (1-1) (9-3)/7 = 0 6/7 = 6/7
Sonuç: 6/7
f) 3/8 – 1/24 = ?
Adım 1: Paydalarımız 8 ve 24. Ortak payda olarak 24’ü kullanabiliriz. 3/8 kesrini 3 ile genişletelim.
3/8 (3 ile genişlet) = 9/24
Adım 2: Şimdi çıkarma işlemini yapalım.
9/24 – 1/24 = (9-1)/24 = 8/24
Adım 3: Sonucu sadeleştirelim. Pay ve paydayı 8’e bölebiliriz.
8 ÷ 8 = 1
24 ÷ 8 = 3
Sonuç: 1/3
Soru 2: Ekrem bir gününün 1/4’ünü uykuda, 1/3’ünü okulda, 1/6’sını ders çalışarak, 1/8’ini spor yaparak, 1/12’sini de kitap okuyarak geçirmektedir. Geriye kalan vaktinde de bilgisayar oynadığına göre Ekrem günde kaç saat bilgisayar oynamaktadır?
Adım 1: Öncelikle Ekrem’in gününün ne kadarını bu aktivitelerle geçirdiğini bulalım. Bunun için verilen tüm kesirleri toplamamız gerekiyor.
1/4 + 1/3 + 1/6 + 1/8 + 1/12
Adım 2: Bu kesirleri toplayabilmek için paydalarını eşitlemeliyiz. 4, 3, 6, 8 ve 12’nin en küçük ortak katı 24’tür. Hepsini 24’te eşitleyelim.
- 1/4 (6 ile genişlet) = 6/24
- 1/3 (8 ile genişlet) = 8/24
- 1/6 (4 ile genişlet) = 4/24
- 1/8 (3 ile genişlet) = 3/24
- 1/12 (2 ile genişlet) = 2/24
Adım 3: Şimdi bu kesirleri toplayalım.
6/24 + 8/24 + 4/24 + 3/24 + 2/24 = (6+8+4+3+2)/24 = 23/24
Bu, Ekrem’in gününün 23/24’ünü harcadığı anlamına gelir.
Adım 4: Geriye kalan zamanı bulmak için günün tamamından (yani 1’den veya 24/24’ten) bu kesri çıkaralım.
1 – 23/24 = 24/24 – 23/24 = 1/24
Ekrem gününün 1/24’ünü bilgisayar oynayarak geçiriyormuş.
Adım 5: Bir gün 24 saat olduğuna göre, bu sürenin kaç saat ettiğini bulalım.
24 saatin 1/24’ü = 24 * (1/24) = 1 saat
Sonuç: Ekrem günde 1 saat bilgisayar oynamaktadır.
Soru 3: Ali’nin boyu 1 7/10 m, Ayşe’nin boyu ise 1 59/100 m olduğuna göre Ali ile Ayşe’nin boyunu karşılaştırıp hangisinin daha uzun olduğunu bulunuz.
Adım 1: İkisinin de boyunun tam kısmı 1 metre. Bu yüzden kimin daha uzun olduğunu anlamak için kesir kısımlarını karşılaştırmamız yeterli.
Ali’nin kesir kısmı: 7/10
Ayşe’nin kesir kısmı: 59/100
Adım 2: Kesirleri karşılaştırmak için paydalarını eşitlemeliyiz. 7/10 kesrinin paydasını 100 yapmak için 10 ile genişletelim.
7/10 (10 ile genişlet) = (7 * 10) / (10 * 10) = 70/100
Adım 3: Şimdi karşılaştırma yapabiliriz.
Ali: 70/100
Ayşe: 59/100
Paydaları eşit olan kesirlerden payı büyük olan daha büyüktür. 70, 59’dan büyük olduğu için 70/100 > 59/100 olur.
Sonuç: Ali, Ayşe’den daha uzundur.
Soru 4: Aşağıdaki sayıları yarıma ve bütüne yakınlık durumlarına göre tahmin ederek işlemlerin sonuçlarını bulunuz. Gerçek sonuçlarla tahmini sonuçlarınızı karşılaştırınız.
Bu soruda hem tahmin yürüteceğiz hem de gerçek sonucu bulacağız. Eğlenceli bir alıştırma!
a) 17/8 + 4/5
Tahmini Sonuç:
- 17/8 kesri, 16/8’den (yani 2’den) biraz büyük. Tahmin olarak 2 diyelim.
- 4/5 kesri, 5/5’e (yani 1’e) çok yakın. Tahmin olarak 1 diyelim.
- Tahmini toplam: 2 + 1 = 3
Gerçek Sonuç:
Paydaları 40’ta eşitleyelim.
17/8 (5 ile genişlet) = 85/40
4/5 (8 ile genişlet) = 32/40
Toplam: 85/40 + 32/40 = 117/40 veya 2 37/40
Karşılaştırma: Gerçek sonuç 2 37/40, neredeyse 3’e çok yakın. Tahminimiz oldukça başarılı!
b) 2 1/3 – 1 1/5
Tahmini Sonuç:
- 2 1/3 kesri, 2’ye yakındır. Tahmin olarak 2 diyelim.
- 1 1/5 kesri, 1’e yakındır. Tahmin olarak 1 diyelim.
- Tahmini fark: 2 – 1 = 1
Gerçek Sonuç:
Paydaları 15’te eşitleyelim.
2 1/3 = 2 5/15
1 1/5 = 1 3/15
Fark: 2 5/15 – 1 3/15 = 1 2/15
Karşılaştırma: Gerçek sonuç 1 2/15, 1’e çok yakın. Tahminimiz yine çok iyi!
c) 11/12 + 1/6
Tahmini Sonuç:
- 11/12 kesri, 12/12’ye (yani 1’e) çok yakın. Tahmin olarak 1 diyelim.
- 1/6 kesri, 0’a yakın küçük bir sayı. Tahmin olarak 0 diyelim.
- Tahmini toplam: 1 + 0 = 1
Gerçek Sonuç:
Paydaları 12’de eşitleyelim.
1/6 (2 ile genişlet) = 2/12
Toplam: 11/12 + 2/12 = 13/12 veya 1 1/12
Karşılaştırma: Gerçek sonuç 1 1/12, 1’e çok yakın. Harika bir tahmin daha!
d) 3 1/2 + 2/5
Tahmini Sonuç:
- 3 1/2 kesri zaten tam olarak 3 buçuk (3.5).
- 2/5 kesri, 2.5/5’e (yani yarıma) çok yakın. Tahmin olarak yarım (0.5) diyelim.
- Tahmini toplam: 3.5 + 0.5 = 4
Gerçek Sonuç:
Paydaları 10’da eşitleyelim.
3 1/2 = 3 5/10
2/5 = 4/10
Toplam: 3 5/10 + 4/10 = 3 9/10
Karşılaştırma: Gerçek sonuç 3 9/10, 4’e çok çok yakın. Tahminimiz yine isabetli!
Umarım çözümler anlaşılır olmuştur. Anlamadığınız bir yer olursa çekinmeden sorun. Başarılar dilerim
