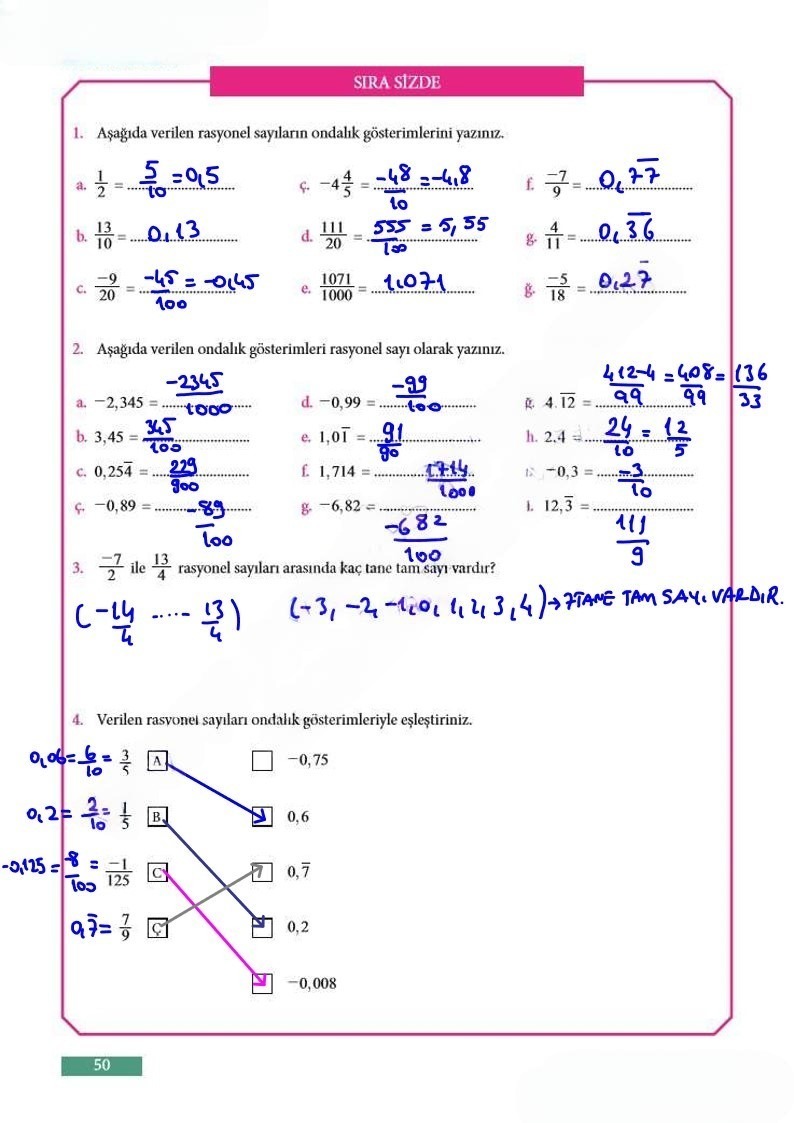
7. Sınıf Matematik Ders Kitabı Cevapları Meb Yayınları Sayfa 50

7. Sınıf Matematik Ders Kitabı Cevapları Meb Yayınları Sayfa 50

Kitap ara