

Merhaba sevgili öğrencim, ben 6. sınıf matematik öğretmeniniz. Gönderdiğin görseldeki soruları senin için analiz ettim ve şimdi adım adım, kolayca anlayacağın bir dille çözeceğim. Haydi başlayalım!
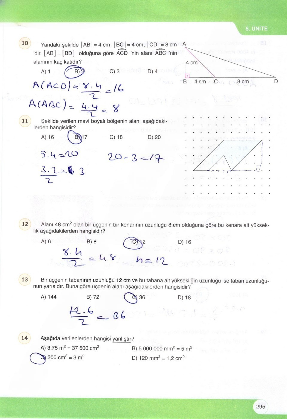
Soru 10: Yandaki şekilde |AB| = 4 cm, |BC| = 4 cm, |CD| = 8 cm ‘dir. [AB] ⊥ [BD] olduğuna göre ACD üçgeninin alanı ABC üçgeninin alanının kaç katıdır?
a) 1
b) 2
c) 3
d) 4
Bu soruyu çözmek için önce her iki üçgenin de alanını ayrı ayrı bulmamız gerekiyor. Üçgenin alan formülünü hatırlayalım: Alan = (Taban x Yükseklik) / 2
Adım 1: ABC üçgeninin alanını bulalım.
Bu üçgen bir dik üçgen. Dik üçgenlerde dik kenarlardan biri taban, diğeri yükseklik olur.
- Taban (BC) = 4 cm
- Yükseklik (AB) = 4 cm
Alan(ABC) = (4 cm x 4 cm) / 2 = 16 / 2 = 8 cm²
Adım 2: ACD üçgeninin alanını bulalım.
Bu üçgenin tabanını CD kenarı olarak alabiliriz. Bu tabana ait yükseklik ise A köşesinden tabana inen dikmedir. Şekle dikkatli bakarsan, AB doğru parçasının BD’ye dik olduğunu görürsün. Bu demektir ki, AB aynı zamanda ACD üçgeninin CD tabanına ait yüksekliğidir.
- Taban (CD) = 8 cm
- Yükseklik (AB) = 4 cm
Alan(ACD) = (8 cm x 4 cm) / 2 = 32 / 2 = 16 cm²
Adım 3: Alanları karşılaştıralım.
Soru bizden ACD üçgeninin alanının, ABC üçgeninin alanının kaç katı olduğunu bulmamızı istiyor. Bunun için büyük alanı küçük alana bölmemiz yeterli.
Kat = Alan(ACD) / Alan(ABC) = 16 / 8 = 2
Sonuç olarak, ACD üçgeninin alanı ABC üçgeninin alanının 2 katıdır.
Doğru cevap B) 2 seçeneğidir.
Soru 11: Şekilde verilen mavi boyalı bölgenin alanı aşağıdakilerden hangisidir?
a) 16
b) 17
c) 18
d) 20
Bu tür noktalı kağıt üzerindeki şekillerin alanını bulmanın en kolay yolu, şeklin içindeki tam kareleri ve yarım kareleri (üçgenleri) saymaktır.
Adım 1: Tam kareleri sayalım.
Şeklin içine tam olarak sığan birim kareleri saydığımızda 12 tane tam kare olduğunu görüyoruz.
Adım 2: Yarım kareleri (üçgenleri) sayalım.
Şeklin kenarlarında, birim karelerin köşegenle ikiye bölünmesiyle oluşmuş üçgenler var. Bunları sayalım. Dikkatlice saydığımızda toplamda 10 tane yarım kare (üçgen) olduğunu görüyoruz.
Adım 3: Toplam alanı hesaplayalım.
İki tane yarım kare, bir tane tam kare eder. O zaman 10 tane yarım karenin kaç tam kare ettiğini bulmak için 10’u 2’ye böleriz.
10 yarım kare = 10 / 2 = 5 tam kare
Şimdi bulduğumuz tam kare sayılarını toplayalım.
Toplam Alan = (Tam kareler) + (Yarım karelerden gelenler) = 12 + 5 = 17 birimkare
Mavi boyalı bölgenin alanı 17 birimkaredir.
Doğru cevap B) 17 seçeneğidir.
Soru 12: Alanı 48 cm² olan bir üçgenin bir kenarının uzunluğu 8 cm olduğuna göre bu kenara ait yükseklik aşağıdakilerden hangisidir?
a) 6
b) 8
c) 12
d) 16
Bu soruda bize alanı ve tabanı vermiş, yüksekliği bulmamızı istiyor. Yine üçgenin alan formülünü kullanacağız ama bu sefer tersten gideceğiz.
Adım 1: Bildiklerimizi formülde yerine yazalım.
Alan formülümüz: Alan = (Taban x Yükseklik) / 2
Bize verilenler:
- Alan = 48 cm²
- Taban = 8 cm
- Yükseklik = ? (Buna “h” diyelim)
48 = (8 x h) / 2
Adım 2: Yüksekliği (h) bulmak için denklemi çözelim.
Formülde bölme işleminin tersi çarpmadır. Önce her iki tarafı 2 ile çarparak bölme işleminden kurtulalım.
48 x 2 = 8 x h
96 = 8 x h
Şimdi “8 ile neyi çarparsak 96 eder?” diye düşüneceğiz. Bunun için 96’yı 8’e bölmemiz yeterli.
h = 96 / 8
h = 12 cm
Demek ki, bu kenara ait yükseklik 12 cm imiş.
Doğru cevap C) 12 seçeneğidir.
Soru 13: Bir üçgenin tabanının uzunluğu 12 cm ve bu tabana ait yüksekliğin uzunluğu ise taban uzunluğunun yarısıdır. Buna göre üçgenin alanı aşağıdakilerden hangisidir?
a) 144
b) 72
c) 36
d) 18
Bu soruda alanı bulmamız için gereken bilgileri bize adım adım vermiş. Biz de bu adımları takip edelim.
Adım 1: Yüksekliği bulalım.
Soruda yükseklik için “taban uzunluğunun yarısıdır” deniyor.
- Taban = 12 cm
- Yükseklik = 12 / 2 = 6 cm
Adım 2: Alanı hesaplayalım.
Artık hem tabanı hem de yüksekliği biliyoruz. Alan formülünde yerine koyalım.
Alan = (Taban x Yükseklik) / 2
Alan = (12 cm x 6 cm) / 2
Alan = 72 / 2
Alan = 36 cm²
Üçgenimizin alanı 36 cm²‘dir.
Doğru cevap C) 36 seçeneğidir.
Soru 14: Aşağıda verilenlerden hangisi yanlıştır?
a) 3,75 m² = 37 500 cm²
b) 5 000 000 mm² = 5 m²
c) 300 cm² = 3 m²
d) 120 mm² = 1,2 cm²
Bu soruda alan ölçü birimleri arasındaki dönüşümleri kontrol etmemiz gerekiyor. Önemli bir kuralı hatırlayalım: Alan ölçüleri 100’er 100’er büyür ve küçülür. Yani bir üst birime çevirirken 100’e böleriz, bir alt birime çevirirken 100 ile çarparız. Metrekareden santimetrekareye 2 basamak olduğu için 100×100=10.000 ile işlem yaparız.
Adım 1: Şıkları tek tek kontrol edelim.
- A) 3,75 m² = 37 500 cm²
Metrekareyi (m²) santimetrekareye (cm²) çevirirken 10.000 ile çarparız.
3,75 x 10.000 = 37500. Bu ifade doğrudur. - B) 5 000 000 mm² = 5 m²
Milimetrekareyi (mm²) metrekareye (m²) çevirirken 1.000.000’a böleriz (cm² için 100’e, m² için bir daha 10.000’e).
5.000.000 / 1.000.000 = 5. Bu ifade doğrudur. - C) 300 cm² = 3 m²
Santimetrekareyi (cm²) metrekareye (m²) çevirirken 10.000’e böleriz.
300 / 10.000 = 0,03. Ama şıkta 3 m² denmiş. Bu ifade yanlıştır. - D) 120 mm² = 1,2 cm²
Milimetrekareyi (mm²) santimetrekareye (cm²) çevirirken 100’e böleriz.
120 / 100 = 1,2. Bu ifade doğrudur.
Yanlış olan ifadeyi bulduk.
Doğru cevap C) 300 cm² = 3 m² seçeneğidir.
Umarım çözümler anlaşılır olmuştur. Anlamadığın bir yer olursa çekinmeden sorabilirsin. Başarılar dilerim!
