

Merhaba sevgili öğrencim! Ben Matematik öğretmenin. Seninle bu sayfadaki soruları tek tek, tane tane inceleyeceğiz. Kesirlerle işlemler bazen karışık görünebilir ama adım adım gittiğimizde ne kadar eğlenceli olduğunu göreceksin. Hazırsan arkana yaslan, dikkatini topla ve başlayalım!
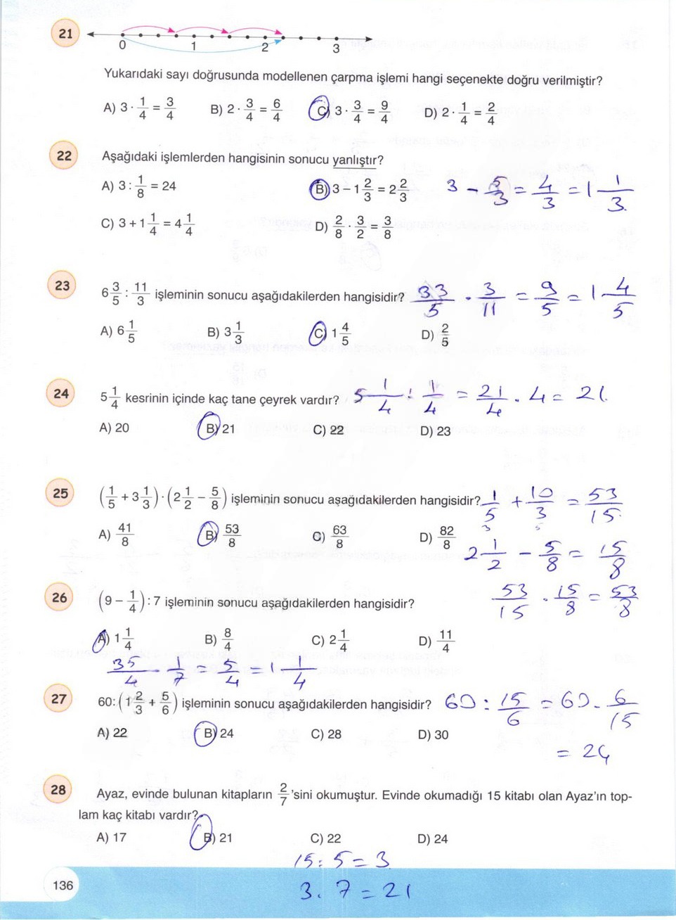
21. Soru: Yukarıdaki sayı doğrusunda modellenen çarpma işlemi hangi seçenekte doğru verilmiştir?
Bu soruda bir sayı doğrusu görüyoruz. Hadi inceleyelim:
- Sayı doğrusunda 0 ile 1 arası 4 eş parçaya bölünmüş. Demek ki her küçük çizgi $frac{1}{4}$ (çeyrek) değerinde.
- Şimdi oklara bakalım. Her bir ok, 0’dan başlayıp 3 küçük çizgi kadar ileri gitmiş. Yani her bir sıçrama $frac{3}{4}$ uzunluğunda.
- Peki kaç tane sıçrama yapılmış? Sayalım: 1, 2, 3 tane ok var.
- Bu durumda işlemimiz: 3 tane $frac{3}{4}$ demektir.
Çözüm Adımları:
Adım 1: Sıçrama büyüklüğü $frac{3}{4}$.
Adım 2: Sıçrama sayısı 3.
Adım 3: İşlem $3 cdot frac{3}{4}$ olur. Sonuç da $frac{9}{4}$’tür.
Şıklara baktığımızda bu işlemi C seçeneğinde görüyoruz.
Doğru Cevap: C
22. Soru: Aşağıdaki işlemlerden hangisinin sonucu yanlıştır?
Burada şıkları tek tek kontrol etmemiz gerekiyor. Dedektif gibi hatalı olanı bulacağız.
Çözüm Adımları:
A Şıkkı: $3 : frac{1}{8} = 24$
Bir sayıyı kesre bölerken birinciyi aynen yazar, ikinciyi ters çevirip çarparız.
$3 cdot frac{8}{1} = 24$. Bu işlem doğru.
B Şıkkı: $3 – 1frac{2}{3} = 2frac{2}{3}$
Burada çıkarma işlemi var. Önce tam sayılı kesri bileşik kesre çevirelim. $1frac{2}{3} = frac{5}{3}$ eder.
$3 – frac{5}{3}$ işlemini yapalım. 3’ün paydasında gizli 1 vardır, bunu 3 ile genişletelim: $frac{9}{3}$.
$frac{9}{3} – frac{5}{3} = frac{4}{3}$.
$frac{4}{3}$ kesri $1frac{1}{3}$ yapar. Ancak şıkta $2frac{2}{3}$ denmiş. Bu işlem yanlış!
C Şıkkı: $3 + 1frac{1}{4} = 4frac{1}{4}$
Tam kısımları toplayabiliriz. 3 tam ile 1 tamı topla 4 tam eder. Yanına çeyreği koy: $4frac{1}{4}$. Bu işlem doğru.
D Şıkkı: $frac{2}{8} cdot frac{3}{2} = frac{3}{8}$
Çarpma işleminde sadeleştirme yapabiliriz. Paydaki 2 ile paydadaki 2 birbirini götürür. Geriye $frac{3}{8}$ kalır. Bu işlem doğru.
Bizden yanlış olanı istediği için cevap B şıkkıdır.
Doğru Cevap: B
23. Soru: $6frac{3}{5} : frac{11}{3}$ işleminin sonucu aşağıdakilerden hangisidir?
Kesirlerde bölme işlemi yaparken tam sayılı kesirleri mutlaka bileşik kesre çevirmeliyiz. “Alttakiyle çarp, üsttekiyle topla” kuralını hatırla.
Çözüm Adımları:
Adım 1: $6frac{3}{5}$ kesrini bileşik kesre çevirelim. $(6 cdot 5) + 3 = 33$. Yani $frac{33}{5}$.
Adım 2: İşlemimiz $frac{33}{5} : frac{11}{3}$ haline geldi.
Adım 3: Bölme kuralını uygula: Birinciyi aynen yaz, ikinciyi ters çevir çarp.
$frac{33}{5} cdot frac{3}{11}$
Adım 4: Çarpmadan önce sadeleştirme yapalım. 33 ve 11 sayıları 11’e bölünür. 33 yerine 3, 11 yerine 1 yazarız.
$frac{3}{5} cdot frac{3}{1} = frac{9}{5}$
Adım 5: Şıklarda tam sayılı kesirler var. $frac{9}{5}$’i tam sayılıya çevirelim. 9’un içinde 5, 1 kere var. Kalan 4 olur.
Sonuç: $1frac{4}{5}$
Doğru Cevap: C
24. Soru: $5frac{1}{4}$ kesrinin içinde kaç tane çeyrek vardır?
Bu soru aslında bize “Bu sayıyı çeyreğe ($frac{1}{4}$) böl” diyor. Ya da daha basit düşünelim, bu sayıyı bileşik kesre çevirirsek pay kısmında kaç tane parça olduğunu buluruz.
Çözüm Adımları:
Adım 1: “Çeyrek” demek $frac{1}{4}$ demektir.
Adım 2: $5frac{1}{4}$ kesrini bileşik kesre çevirelim.
$5 cdot 4 = 20$.
$20 + 1 = 21$.
Yani bu kesir $frac{21}{4}$’tür.
Adım 3: $frac{21}{4}$ demek, 21 tane $frac{1}{4}$ (çeyrek) demektir.
Doğru Cevap: B
25. Soru: $(frac{1}{5} + 3frac{1}{3}) cdot (2frac{1}{2} – frac{5}{8})$ işleminin sonucu aşağıdakilerden hangisidir?
İşlem önceliğine göre önce parantez içlerini yapmalıyız. Hadi sırayla gidelim.
Çözüm Adımları:
Adım 1: İlk parantezi yapalım. $(frac{1}{5} + 3frac{1}{3})$
Tam sayılı kesri bileşik yapalım: $3frac{1}{3} = frac{10}{3}$.
$frac{1}{5} + frac{10}{3}$ (Paydaları eşitleyelim. 5’i 3 ile, 3’ü 5 ile genişletelim).
$frac{3}{15} + frac{50}{15} = frac{53}{15}$. (İlk parantezin sonucu)
Adım 2: İkinci parantezi yapalım. $(2frac{1}{2} – frac{5}{8})$
Tam sayılı kesri bileşik yapalım: $2frac{1}{2} = frac{5}{2}$.
$frac{5}{2} – frac{5}{8}$ (Paydaları eşitleyelim. 2’yi 4 ile genişletelim).
$frac{20}{8} – frac{5}{8} = frac{15}{8}$. (İkinci parantezin sonucu)
Adım 3: Şimdi bu iki sonucu çarpalım.
$frac{53}{15} cdot frac{15}{8}$
Dikkatli bak! Paydada bir 15, payda bir 15 var. Bunlar birbirini sadeleştirir (yok eder).
Geriye $frac{53}{8}$ kalır.
Doğru Cevap: B
26. Soru: $(9 – frac{1}{4}) : 7$ işleminin sonucu aşağıdakilerden hangisidir?
Yine önce parantez içini yapacağız. Bir tam sayıdan bir kesri çıkaracağız.
Çözüm Adımları:
Adım 1: Parantez içi $(9 – frac{1}{4})$.
Pratik yol: 9 ile 4’ü çarp, 1’i çıkar. $(9 cdot 4) – 1 = 36 – 1 = 35$. Payda aynen kalır.
Yani parantezin içi $frac{35}{4}$ olur.
Adım 2: Şimdi bölme işlemini yapalım. $frac{35}{4} : 7$
7 sayısının altında gizli 1 vardır ($frac{7}{1}$). Bölme kuralı gereği ikinciyi ters çevirip çarpıyoruz.
$frac{35}{4} cdot frac{1}{7}$
Adım 3: Sadeleştirme yapalım. 35’i 7’ye bölersek 5 kalır.
Sonuç $frac{5}{4}$ olur.
Adım 4: Şıklarda tam sayılı kesir var. $frac{5}{4} = 1frac{1}{4}$’tür.
Doğru Cevap: A
27. Soru: $60 : (1frac{2}{3} + frac{5}{6})$ işleminin sonucu aşağıdakilerden hangisidir?
Önce parantez içindeki toplama işlemini halletmemiz lazım. Paydalar farklı, dikkat et!
Çözüm Adımları:
Adım 1: Parantez içi $(1frac{2}{3} + frac{5}{6})$.
Önce $1frac{2}{3}$’ü bileşik kesre çevirelim: $frac{5}{3}$.
İşlem $frac{5}{3} + frac{5}{6}$ oldu. Paydaları eşitlemek için $frac{5}{3}$’ü 2 ile genişletelim: $frac{10}{6}$.
Şimdi toplayalım: $frac{10}{6} + frac{5}{6} = frac{15}{6}$.
Adım 2: Şimdi ana işleme dönelim: $60 : frac{15}{6}$
Bölme kuralı: Birinciyi aynen yaz, ikinciyi ters çevir çarp.
$60 cdot frac{6}{15}$
Adım 3: Sadeleştirme yapalım. 60 sayısı 15’e tam bölünür. $60 : 15 = 4$.
Geriye $4 cdot 6$ kaldı.
$4 cdot 6 = 24$.
Doğru Cevap: B
28. Soru: Ayaz, evinde bulunan kitapların $frac{2}{7}$’sini okumuştur. Evinde okumadığı 15 kitabı olan Ayaz’ın toplam kaç kitabı vardır?
Bu bir “parçadan bütüne gitme” sorusu. Mantığını kurarsak çok kolay çözülür.
Çözüm Adımları:
Adım 1: Ayaz kitapların $frac{2}{7}$’sini okumuş. Kitapların tamamı $frac{7}{7}$’dir.
Adım 2: Okumadığı kısmı bulalım. $frac{7}{7} – frac{2}{7} = frac{5}{7}$.
Demek ki kitapların $frac{5}{7}$’si okunmamış.
Adım 3: Soruda bize okumadığı kitap sayısının 15 olduğu söylenmiş.
Yani 7 parçadan 5 tanesi 15 kitaba eşitmiş.
Adım 4: 1 parçayı bulmak için 15’i 5’e böleriz.
$15 : 5 = 3$. (Her bir parça 3 kitap demek)
Adım 5: Toplam kitap sayısı 7 parçaydı. O zaman 3 ile 7’yi çarparız.
$3 cdot 7 = 21$ kitap.
Doğru Cevap: B
