

Merhaba sevgili öğrencilerim,
Bugün sizlerle birlikte ders kitabımızdaki 131. sayfada yer alan alıştırmaları çözeceğiz. Bu sorular tam sayılar, mutlak değer ve sıralama gibi önemli konuları tekrar etmemiz için harika bir fırsat. Hazırsanız, kalemlerinizi ve defterlerinizi hazırlayın, başlayalım!
6. Aşağıdaki ifadelerden doğru olanın başına “D”, yanlış olanın başına “Y” yazınız.
Hadi bu ifadeleri tek tek inceleyelim ve doğruluğunu kontrol edelim.
- (Y)Negatif tam sayıların mutlak değeri negatiftir.
Unutmayın çocuklar, mutlak değer bir sayının başlangıç noktasına, yani sıfıra olan uzaklığıdır. Uzaklık hiçbir zaman negatif olamaz. Örneğin, |-5| = 5’tir. Bu yüzden bu ifade yanlıştır.
- (D)Bir tam sayının mutlak değeri kendisinden büyükse o sayı negatif bir tam sayıdır.
Bunu bir deneyelim. Sayımız -8 olsun. Mutlak değeri |-8| = 8’dir. Gerçekten de 8, -8’den büyüktür. Peki pozitif bir sayı alsak? Mesela 7. Mutlak değeri |7| = 7’dir. 7, 7’den büyük değil, eşittir. Demek ki bu kural sadece negatif sayılar için geçerli. Bu ifade doğrudur.
- (Y)-13’ün mutlak değeri 9’un mutlak değerinden küçüktür.
Hemen hesaplayalım. |-13| = 13 ve |9| = 9’dur. 13 sayısı 9’dan küçük müdür? Hayır, tam tersi büyüktür. O zaman bu ifade yanlıştır.
- (D)|-2| ifadesi sayı doğrusu üzerinde -2’nin sıfıra (başlangıç noktasına) olan uzaklığını gösterir.
Bu, mutlak değerin tanımının ta kendisidir! Mutlak değer tam olarak bunu ifade eder. Bu yüzden bu ifade kesinlikle doğrudur.
- (D)Pozitif tam sayıların mutlak değeri sayının kendisine eşittir.
Örnek verelim. |+25| = 25. Gördüğünüz gibi pozitif sayıların mutlak değeri yine kendisidir. Bu ifade de doğrudur.
7. Mutlak değeri 5’ten küçük olan kaç tane tam sayı vardır?
Adım 1: “Mutlak değeri 5’ten küçük” demek, sıfıra olan uzaklığı 5 birimden daha az olan sayıları bulmamız gerekiyor demektir.
Adım 2: Sayı doğrusunu gözümüzün önüne getirelim. Sıfırdan başlayıp 5 birimden daha az uzaklaşalım.
Adım 3: Pozitif yöne gidersek 1, 2, 3, 4 sayılarını buluruz. (5’i alamayız çünkü 5’ten küçük olmalı).
Adım 4: Negatif yöne gidersek -1, -2, -3, -4 sayılarını buluruz.
Adım 5: Bir de sıfırın kendisi var! Sıfırın mutlak değeri sıfırdır ve 5’ten küçüktür.
Sonuç: Bu sayıları sayalım: {4, 3, 2, 1, 0, -1, -2, -3, -4}. Toplamda 9 tane tam sayı vardır.
8. |y| = 15 ise y yerine hangi tam sayılar gelebilir?
Adım 1: Bu soru bize şunu soruyor: “Sıfıra olan uzaklığı 15 birim olan sayılar hangileridir?”
Adım 2: Sayı doğrusunda sıfırdan 15 birim sağa gidersek +15 sayısını buluruz.
Adım 3: Sayı doğrusunda sıfırdan 15 birim sola gidersek -15 sayısını buluruz.
Sonuç: Yani y yerine 15 ve -15 tam sayıları gelebilir.
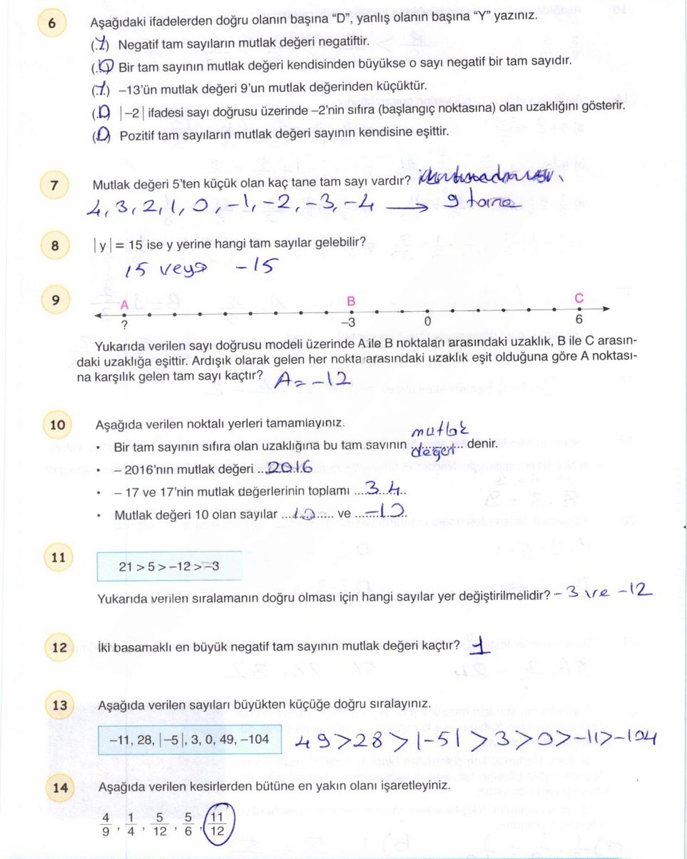
9. Yukarıda verilen sayı doğrusu modeli üzerinde A ile B noktaları arasındaki uzaklık, B ile C arasındaki uzaklığa eşittir. Ardışık olarak gelen her nokta arasındaki uzaklık eşit olduğuna göre A noktasına karşılık gelen tam sayı kaçtır?
Adım 1: Öncelikle bildiğimiz noktalar olan B ve C arasındaki uzaklığı bulalım. B noktası -3’te, C noktası ise 6’dadır. Aradaki uzaklığı bulmak için büyük sayıdan küçük sayıyı çıkarabiliriz: 6 – (-3) = 6 + 3 = 9 birim. Ya da sayı doğrusunda -3’ten 6’ya kadar sayabiliriz, yine 9 birim olduğunu görürüz.
Adım 2: Soruda A ile B arasındaki uzaklığın, B ile C arasındaki uzaklığa eşit olduğu söyleniyor. Demek ki A ile B arası da 9 birimdir.
Adım 3: A noktası, B noktasının solunda yer alıyor. B noktası -3 olduğuna göre, A’yı bulmak için -3’ten 9 birim sola gitmeliyiz. Sola gitmek, sayı doğrusunda çıkarma yapmak demektir.
Adım 4: İşlemi yapalım: -3 – 9 = -12.
Sonuç: A noktasına karşılık gelen tam sayı -12‘dir.
10. Aşağıda verilen noktalı yerleri tamamlayınız.
- Bir tam sayının sıfıra olan uzaklığına bu tam sayının mutlak değeri denir.
- -2016’nın mutlak değeri 2016‘dır. Çünkü |-2016| = 2016.
- -17 ve 17’nin mutlak değerlerinin toplamı 34‘tür. Çünkü |-17| = 17 ve |17| = 17. Toplamları 17 + 17 = 34 eder.
- Mutlak değeri 10 olan sayılar -10 ve 10‘dur.
11. 21 > 5 > -12 > -3. Yukarıda verilen sıralamanın doğru olması için hangi sayılar yer değiştirilmelidir?
Adım 1: Sıralamayı adım adım kontrol edelim.
Adım 2: “21 > 5” ifadesi doğru mu? Evet, doğru.
Adım 3: “5 > -12” ifadesi doğru mu? Evet, pozitif bir sayı her zaman negatif bir sayıdan büyüktür. Bu da doğru.
Adım 4: “-12 > -3” ifadesi doğru mu? Hayır! Negatif sayılarda sıfıra daha yakın olan sayı daha büyüktür. -3, sıfıra -12’den daha yakındır. Dolayısıyla -3 > -12 olmalıdır.
Sonuç: Sıralamanın doğru olması için -12 ile -3 sayılarının yer değiştirmesi gerekir. Doğru sıralama: 21 > 5 > -3 > -12 şeklinde olmalıdır.
12. İki basamaklı en büyük negatif tam sayının mutlak değeri kaçtır?
Adım 1: İki basamaklı negatif tam sayıları düşünelim: -10, -11, -12, … , -99.
Adım 2: Bu sayılar içinde en büyük olanı hangisidir? Unutmayın, negatif sayılarda sıfıra en yakın olan en büyüktür. Bu sayı -10‘dur.
Adım 3: Şimdi bu sayının mutlak değerini bulalım: |-10|.
Sonuç: |-10| = 10‘dur.
13. Aşağıda verilen sayıları büyükten küçüğe doğru sıralayınız. (-11, 28, |-5|, 3, 0, 49, -104)
Adım 1: Sıralama yapmadan önce, içinde mutlak değer olan ifadeyi normal sayıya çevirelim. |-5| = 5.
Adım 2: Şimdi sayılarımız şunlar oldu: -11, 28, 5, 3, 0, 49, -104.
Adım 3: En büyük sayıyı bulmak için önce pozitif sayılara bakalım: 28, 5, 3, 49. Bunların en büyüğü 49‘dur. Sonra 28, sonra 5 (yani |-5|), sonra da 3 gelir.
Adım 4: Pozitif sayılardan sonra 0 gelir.
Adım 5: Son olarak negatif sayılara bakalım: -11, -104. Sıfıra daha yakın olan -11, -104’ten daha büyüktür.
Sonuç: Sayıları büyükten küçüğe doğru sıraladığımızda sonuç şu şekilde olur:
49 > 28 > |-5| > 3 > 0 > -11 > -104
14. Aşağıda verilen kesirlerden bütüne en yakın olanı işaretleyiniz. (4/9, 1/4, 5/12, 5/6, 11/12)
Adım 1: Bir kesrin bütüne (yani 1’e) ne kadar yakın olduğunu anlamak için, bütünden ne kadar eksik olduğuna bakabiliriz. Bunu bir pastanın ne kadarının yendiğini düşünerek hayal edelim. Bütüne en yakın olan, pastadan en küçük dilimin eksik olduğu durumdur.
Adım 2: Her bir kesrin bütüne ne kadar eksiği var, bulalım:
- 4/9: Bütün olması için 5/9’a daha ihtiyacı var.
- 1/4: Bütün olması için 3/4’e daha ihtiyacı var. (Bu bayağı eksik)
- 5/12: Bütün olması için 7/12’ye daha ihtiyacı var.
- 5/6: Bütün olması için 1/6’ya daha ihtiyacı var. (Bayağı yakın)
- 11/12: Bütün olması için 1/12’ye daha ihtiyacı var. (Çok çok yakın!)
Adım 3: Şimdi bu eksik parçaları karşılaştıralım: 5/9, 3/4, 7/12, 1/6, 1/12. En küçük parça hangisi? Bir pastayı 12’ye bölüp bir dilimini almak mı (1/12) daha küçük bir parça olur, yoksa 6’ya bölüp bir dilimini almak mı (1/6)? Elbette 1/12’lik dilim daha küçüktür.
Sonuç: Bütüne en az eksiği olan, yani en küçük parçaya ihtiyacı olan kesir 11/12’dir. Bu yüzden bütüne en yakın kesir 11/12‘dir.
Umarım hepsi anlaşılmıştır. Anlamadığınız bir yer olursa çekinmeden sorun. İyi çalışmalar dilerim!
