6. Sınıf Matematik Ders Kitabı Cevapları Öğün Yayınlar Sayfa 134
Merhaba sevgili öğrencilerim,
Ben sizin 6. sınıf Matematik öğretmeniniz. Bana gönderdiğiniz bu güzel testteki soruları şimdi hep birlikte, adım adım çözeceğiz. Takıldığınız yerler olursa hiç çekinmeyin, açıklamaları dikkatlice okuyun. Eminim hepsini kolayca anlayacaksınız. Haydi başlayalım!
Soru 7: Aşağıda verilen tam sayılardan hangisi en küçüktür?
- A) -28
- B) -5
- C) 0
- D) 3
Çözüm:
Sevgili çocuklar, tam sayıları bir sayı doğrusu üzerinde düşündüğümüzde, en solda kalan sayının her zaman en küçük olduğunu unutmayalım. Pozitif sayılar ve 0, her zaman negatif sayılardan daha büyüktür. Negatif sayılarda ise 0’dan ne kadar uzaklaşırsak, yani sayısal olarak ne kadar büyürse, değeri o kadar küçülür. Mesela -28, 0’a -5’ten çok daha uzaktır. Bu yüzden en küçük olan odur.
Adım 1: Verilen sayıları inceleyelim: -28, -5, 0, 3.
Adım 2: Pozitif sayılar (3) ve sıfır (0), negatif sayılardan (-28, -5) her zaman daha büyüktür. Bu yüzden C ve D şıkları en küçük olamaz.
Adım 3: Geriye kalan negatif sayılar -28 ve -5’i karşılaştıralım. Sayı doğrusunda -28, -5’in solunda yer alır. Bu nedenle -28, -5’ten daha küçüktür.
Sonuç: Verilen sayılar arasında en küçüğü -28‘dir.
Doğru Cevap: A
Soru 8: Yandaki karşılaştırmaların kaç tanesinde “>” sembolünü kullanmak doğru olur?
Çözüm:
Bu soruda bize verilen sayı çiftlerinin arasına “büyüktür” işaretini (>) koyduğumuzda hangilerinin doğru olacağını bulmamız isteniyor. Tek tek inceleyelim.
-
-17 … +12: Negatif bir sayı, pozitif bir sayıdan her zaman küçüktür. Yani -17 < +12 olmalı. Bu yüzden buraya “>” gelmez. (Yanlış)
-
-3 … -19: İki negatif sayıdan sıfıra daha yakın olan daha büyüktür. -3, sıfıra -19’dan daha yakındır. Yani -3 > -19. Buraya “>” gelir. (Doğru)
-
+2 … -9: Pozitif bir sayı, negatif bir sayıdan her zaman büyüktür. Yani +2 > -9. Buraya “>” gelir. (Doğru)
-
-32 … -5: İki negatif sayıdan sıfıra daha yakın olan -5’tir. Yani -5 daha büyüktür. -32 < -5 olmalı. Buraya “>” gelmez. (Yanlış)
-
-1 … -24: İki negatif sayıdan sıfıra daha yakın olan -1’dir. Yani -1 daha büyüktür. -1 > -24. Buraya “>” gelir. (Doğru)
Adım 1: Tüm karşılaştırmaları tek tek inceledik.
Adım 2: Doğru olanları sayalım: “-3 > -19”, “+2 > -9” ve “-1 > -24”.
Sonuç: Toplamda 3 tane karşılaştırmada “>” sembolü kullanılır.
Doğru Cevap: C
Soru 9: -5, 3, 8, 0, -9, 25 tam sayılarının küçükten büyüğe doğru sıralanışı aşağıdakilerden hangisidir?
Çözüm:
Sayıları küçükten büyüğe sıralarken önce en küçük olanları, yani negatif sayıları kendi içinde sıralarız. Sonra 0 gelir ve en son pozitif sayıları kendi içinde sıralarız.
Adım 1: Önce negatif sayıları bulalım: -5 ve -9. En küçüğü, sıfırdan en uzak olan -9’dur. O zaman sıralama -9, -5 ile başlamalı.
Adım 2: Negatif sayılardan sonra 0 gelir.
Adım 3: Şimdi pozitif sayıları küçükten büyüğe sıralayalım: 3, 8, 25. Sıralama zaten doğru.
Adım 4: Tüm bulduklarımızı birleştirelim: -9, -5, 0, 3, 8, 25.
Sonuç: Doğru sıralama A şıkkında verilmiştir.
Doğru Cevap: A
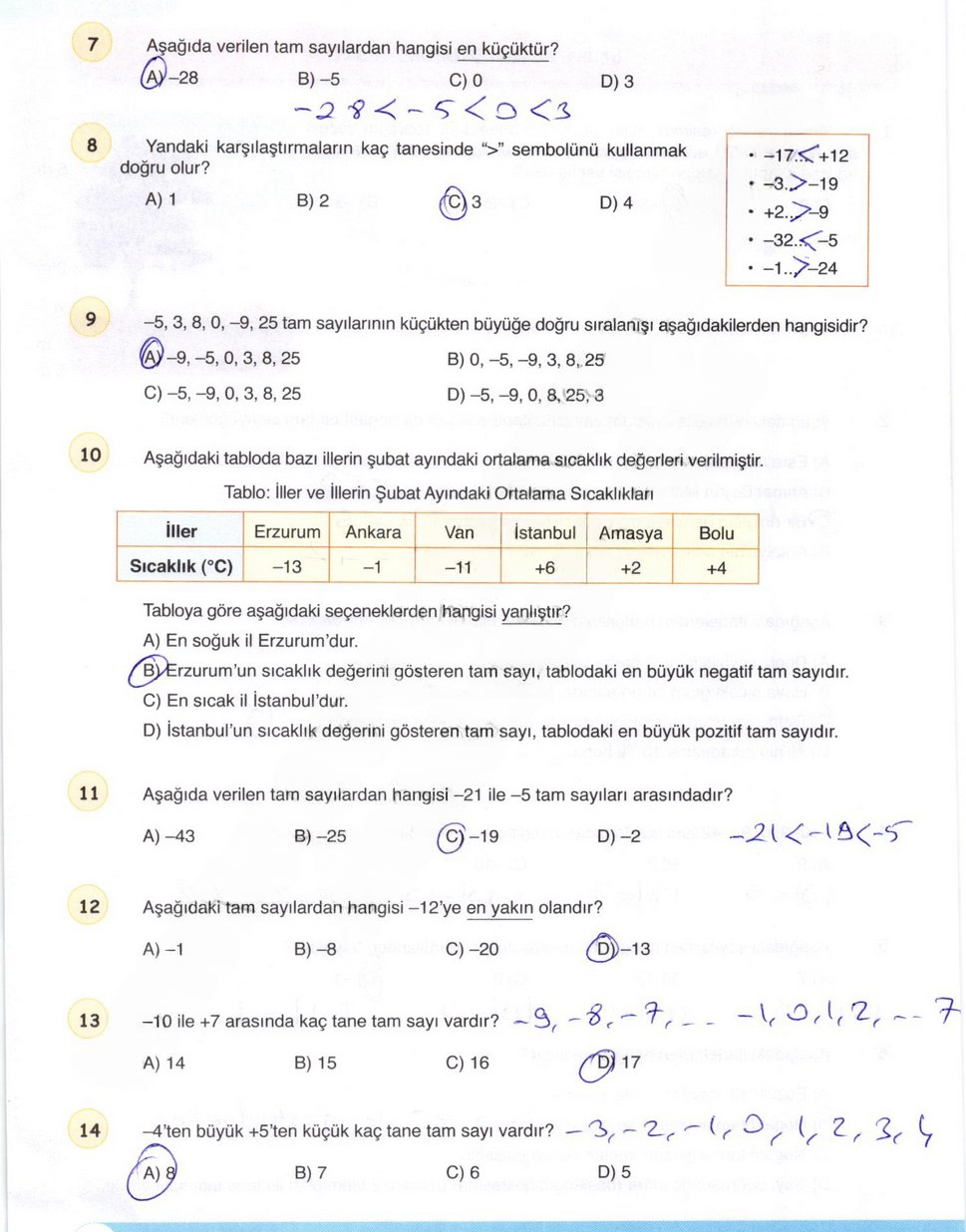
Soru 10: Tabloya göre aşağıdaki seçeneklerden hangisi yanlıştır?
Çözüm:
Bu soruda tablodaki bilgilere bakarak şıklardan hangisinin yanlış olduğunu bulacağız. Her şıkkı dikkatlice kontrol edelim.
Adım 1: Şıkları tek tek inceleyelim.
- A) En soğuk il Erzurum’dur.
Soğuk demek, sıcaklığın en düşük olması demektir. Tablodaki sayılara (-13, -1, -11, +6, +2, +4) baktığımızda en küçük sayının -13 olduğunu görüyoruz. -13 Erzurum’a ait. Bu ifade Doğru. - B) Erzurum’un sıcaklık değerini gösteren tam sayı, tablodaki en büyük negatif tam sayıdır.
Erzurum’un sıcaklığı -13. Tablodaki negatif sayılar: -13, -1, -11. Bu negatif sayılardan en büyüğü, sıfıra en yakın olan -1’dir. Ama şıkta -13’ün en büyük negatif sayı olduğu söyleniyor. Bu ifade Yanlış. - C) En sıcak il İstanbul’dur.
Sıcak demek, sıcaklığın en yüksek olması demektir. Tablodaki sayılara baktığımızda en büyük sayının +6 olduğunu görüyoruz. +6 İstanbul’a ait. Bu ifade Doğru. - D) İstanbul’un sıcaklık değerini gösteren tam sayı, tablodaki en büyük pozitif tam sayıdır.
İstanbul’un sıcaklığı +6. Tablodaki pozitif sayılar: +6, +2, +4. Bu sayıların en büyüğü +6’dır. Bu ifade Doğru.
Sonuç: Yanlış olan ifade B seçeneğindedir.
Doğru Cevap: B
Soru 11: Aşağıda verilen tam sayılardan hangisi -21 ile -5 tam sayıları arasındadır?
Çözüm:
Bir sayının -21 ile -5 arasında olması demek, o sayının -21’den büyük ve -5’ten küçük olması demektir. Sayı doğrusunu gözümüzün önüne getirelim.
Adım 1: Şıkları kontrol edelim.
- A) -43: -43, -21’den küçüktür. Arasında değildir.
- B) -25: -25, -21’den küçüktür. Arasında değildir.
- C) -19: -19, -21’den büyüktür ve -5’ten küçüktür. Evet, bu sayı aradığımız aralıktadır.
- D) -2: -2, -5’ten büyüktür. Arasında değildir.
Sonuç: -21 ile -5 arasında olan sayı -19‘dur.
Doğru Cevap: C
Soru 12: Aşağıdaki tam sayılardan hangisi -12’ye en yakın olandır?
Çözüm:
Bir sayıya en yakın olanı bulmak için, aralarındaki farka bakmamız gerekir. Farkı en az olan sayı, en yakın olan sayıdır.
Adım 1: Her şıktaki sayının -12 ile arasındaki farkı (mesafeyi) bulalım.
- A) -1: -1 ile -12 arasında 11 sayı fark vardır.
- B) -8: -8 ile -12 arasında 4 sayı fark vardır.
- C) -20: -20 ile -12 arasında 8 sayı fark vardır.
- D) -13: -13 ile -12 arasında sadece 1 sayı fark vardır.
Adım 2: Bulduğumuz farkları karşılaştıralım: 11, 4, 8, 1. En küçük fark 1’dir.
Sonuç: -12’ye en yakın olan sayı -13‘tür.
Doğru Cevap: D
Soru 13: -10 ile +7 arasında kaç tane tam sayı vardır?
Çözüm:
“Arasında” dendiği için -10 ve +7 sayılarını saymayacağız. Bu aralıktaki sayıları yazıp sayalım.
Adım 1: -10’dan büyük tam sayıları yazmaya başlayalım: -9, -8, -7, -6, -5, -4, -3, -2, -1.
Adım 2: Sıfırı da unutmayalım: 0.
Adım 3: Şimdi de +7’den küçük pozitif tam sayıları yazalım: 1, 2, 3, 4, 5, 6.
Adım 4: Şimdi tüm bu sayıların kaç tane olduğunu bulalım.
- Negatif sayılar: 9 tane
- Sıfır: 1 tane
- Pozitif sayılar: 6 tane
Adım 5: Hepsini toplayalım: 9 + 1 + 6 = 16.
Sonuç: -10 ile +7 arasında 16 tane tam sayı vardır.
Doğru Cevap: C
Soru 14: -4’ten büyük +5’ten küçük kaç tane tam sayı vardır?
Çözüm:
Bu soru da bir önceki gibi. -4’ten büyük ve +5’ten küçük olan tam sayıları bulup saymamız gerekiyor.
Adım 1: Bu aralıktaki sayıları listeleyelim. -4’ten büyük dediği için -3 ile başlarız. +5’ten küçük dediği için 4’te bitiririz.
Sayılarımız: -3, -2, -1, 0, 1, 2, 3, 4
Adım 2: Şimdi bu listedeki sayıları sayalım.
Saydığımızda listede tam 8 tane sayı olduğunu görürüz.
Sonuç: -4’ten büyük +5’ten küçük 8 tane tam sayı vardır.
Doğru Cevap: A
Umarım tüm çözümleri ve açıklamaları anlamışsınızdır. Matematik pratik yaparak öğrenilir, bol bol soru çözmeyi unutmayın! Başarılar dilerim!