6. Sınıf Matematik Ders Kitabı Cevapları Ata Yayınları Sayfa 69
Harika bir çalışma! Merhaba sevgili öğrencilerim, ben sizin 6. Sınıf Matematik öğretmeniniz. Şimdi bana gönderdiğin bu alıştırmaları birlikte, adım adım çözeceğiz. Unutmayın, tam sayılarla çalışmak sayı doğrusunu aklımıza getirdiğimizde çok daha kolaylaşır. Haydi başlayalım!
1. Her bir seçenekteki tam sayıları, küçükten büyüğe doğru sembol kullanarak sıralayınız.
Çözüm: Sevgili çocuklar, tam sayıları sıralarken sayı doğrusunu gözümüzün önüne getirmeliyiz. Sayı doğrusunda soldaki sayılar her zaman sağdaki sayılardan daha küçüktür. Özellikle negatif sayılarda, sayı 0’dan ne kadar uzaklaşırsa o kadar küçülür. Yani -10, -2’den daha küçüktür. Pozitif sayılar ise zaten bildiğimiz gibi büyür. Bu bilgiyi aklımızda tutarak şıkları çözelim.
-
a) -6, -8, 4
Adım 1: En küçük sayıyı bulalım. Negatif sayılar pozitif sayılardan küçüktür. -8 ve -6 arasında, -8 sıfırdan daha uzak olduğu için en küçük odur.
Adım 2: Geriye kalan sayılar -6 ve 4. -6 negatif, 4 ise pozitif olduğu için -6 daha küçüktür.
Adım 3: En büyük sayı ise pozitif olan 4’tür.Sonuç: -8 < -6 < 4
-
b) -5, -7, -2
Adım 1: Hepsi negatif sayı. Sıfırdan en uzak olan en küçüktür. Bu sayı -7’dir.
Adım 2: Geriye -5 ve -2 kaldı. -5, sıfırdan -2’ye göre daha uzaktır, yani daha küçüktür.
Adım 3: En büyük sayı (yani sıfıra en yakın olan) -2’dir.Sonuç: -7 < -5 < -2
-
c) 15, 17, -19
Adım 1: Negatif sayı olan -19, pozitif sayılardan her zaman daha küçüktür. O yüzden en küçük sayımız -19.
Adım 2: Geriye kalan 15 ve 17’yi karşılaştırdığımızda 15’in daha küçük olduğunu biliyoruz.Sonuç: -19 < 15 < 17
-
ç) 0, -3, -1
Adım 1: Negatif sayılar 0’dan küçüktür. -3 ve -1 arasında sıfırdan daha uzak olan -3, en küçük sayıdır.
Adım 2: Sonraki küçük sayı -1’dir.
Adım 3: 0 ise bu üç sayı içindeki en büyük sayıdır.Sonuç: -3 < -1 < 0
-
d) -8, 10, -12
Adım 1: En küçük sayıyı bulmak için negatiflere bakalım: -8 ve -12. Sıfırdan daha uzak olan -12, en küçüktür.
Adım 2: Sonraki sayı diğer negatif olan -8’dir.
Adım 3: En büyük sayı ise pozitif olan 10’dur.Sonuç: -12 < -8 < 10
-
e) -61, -39, -3
Adım 1: Bu sayıların hepsi negatif. Sıfırdan en uzak olan -61, en küçükleri.
Adım 2: Geriye kalan -39 ve -3’ten, sıfıra daha uzak olan -39 daha küçüktür.
Adım 3: Sıfıra en yakın olan -3 ise en büyükleridir.Sonuç: -61 < -39 < -3
2. İfadelerdeki noktalı yerlere uygun karşılaştırma sembolünü yazınız.
Çözüm: Bu soruda da sayıları karşılaştırırken büyüktür (>), küçüktür (<) veya eşittir (=) sembollerini kullanacağız. Unutmayın, pozitif sayılar her zaman negatif sayılardan büyüktür!
-
a) -7 ……. 7
Negatif bir sayı (-7), pozitif bir sayıdan (7) her zaman küçüktür.
Sonuç: -7 < 7
-
b) -8 ……. 7
Yine negatif bir sayı (-8) ile pozitif bir sayıyı (7) karşılaştırıyoruz. Negatif sayı daha küçüktür.
Sonuç: -8 < 7
-
c) -12 ……. 7
-12 negatif, 7 pozitif. Bu yüzden -12 daha küçüktür.
Sonuç: -12 < 7
-
ç) +5 ……. 5
Bir sayının önünde + işareti olması veya olmaması bir şeyi değiştirmez. İkisi de aynı pozitif sayıyı ifade eder.
Sonuç: +5 = 5
-
d) -1 ……. -10
İki negatif sayıyı karşılaştırırken sıfıra daha yakın olan daha büyüktür. -1, sıfıra -10’dan daha yakındır.
Sonuç: -1 > -10
-
e) 5 ……. -8
Pozitif bir sayı (5), negatif bir sayıdan (-8) her zaman büyüktür.
Sonuç: 5 > -8
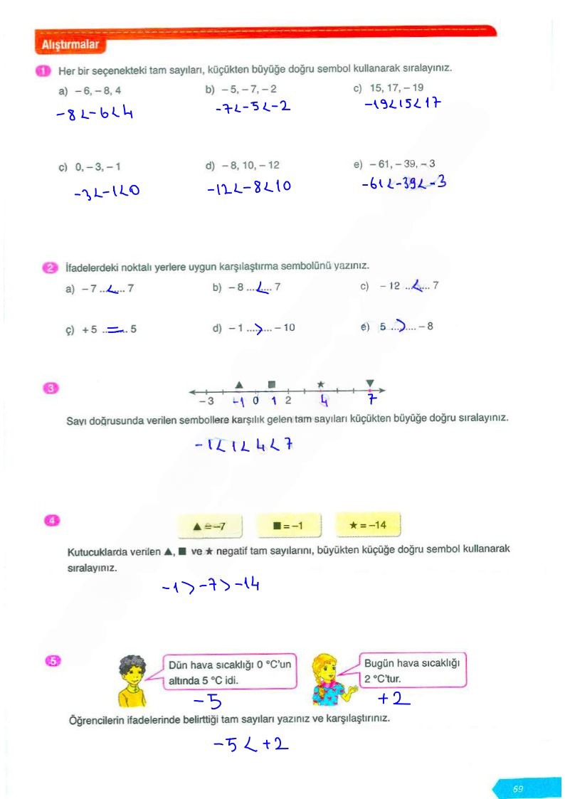
3. Sayı doğrusunda verilen sembollere karşılık gelen tam sayıları küçükten büyüğe doğru sıralayınız.
Çözüm: Harika bir soru! Önce sayı doğrusundaki şekillerin hangi sayılara denk geldiğini bulalım, sonra da sıralayalım.
Adım 1: Sembollerin değerlerini bulalım.
- ▲ (Üçgen): 0’ın bir birim solunda. O zaman değeri -1‘dir.
- ■ (Kare): 0’ın bir birim sağında. O zaman değeri 1‘dir.
- ★ (Yıldız): 2’nin iki birim sağında. 2+2=4. O zaman değeri 4‘tür.
- ▼ (Ters Üçgen): 2’nin dört birim sağında. 2+4=6. O zaman değeri 6‘dır.
Adım 2: Şimdi bulduğumuz sayıları (-1, 1, 4, 6) küçükten büyüğe doğru sıralayalım. Sayı doğrusunda zaten soldan sağa doğru sıralanmış durumdalar.
Sonuç: -1 < 1 < 4 < 6
4. Kutucuklarda verilen ▲, ■ ve ★ negatif tam sayılarını, büyükten küçüğe doğru sembol kullanarak sıralayınız.
Çözüm: Bu soruda dikkat etmemiz gereken şey, bizden büyükten küçüğe doğru sıralama yapmamızın istenmesi. Hadi verilen değerlere bakalım.
Adım 1: Sembollerin değerlerini yazalım.
- ▲ = -7
- ■ = -1
- ★ = -14
Adım 2: Bu negatif sayıları büyükten küçüğe sıralayalım. Hatırlayın, negatif sayılarda sıfıra en yakın olan en büyüktür.
- Bu sayılardan sıfıra en yakın olan -1’dir. Dolayısıyla en büyük sayı odur.
- Sonra -7 gelir.
- Sıfıra en uzak olan -14 ise en küçüktür.
Sıralamamız: -1 > -7 > -14
Adım 3: Şimdi bu sıralamayı sayılar yerine sembollerle yazalım.
Sonuç: ■ > ▲ > ★
5. Öğrencilerin ifadelerinde belirttiği tam sayıları yazınız ve karşılaştırınız.
Çözüm: Bu soruda günlük hayattan bir ifadeyi matematik diline çevireceğiz. Çok keyifli!
Adım 1: Öğrencilerin ifadelerini tam sayı olarak yazalım.
- Erkek öğrenci: “Dün hava sıcaklığı 0 °C’un altında 5 °C idi.” diyor. Sıfırın altı, negatif demektir. Yani dünkü sıcaklık -5 °C.
- Kız öğrenci: “Bugün hava sıcaklığı 2 °C‘tur.” diyor. Bu, pozitif bir değerdir. Yani bugünkü sıcaklık +2 °C (veya sadece 2 °C).
Adım 2: Şimdi bu iki tam sayıyı (-5 ve 2) karşılaştıralım.
Negatif bir sayı olan -5, pozitif bir sayı olan 2’den her zaman daha küçüktür.
Sonuç: -5 < 2
Harika iş çıkardınız çocuklar! Gördüğünüz gibi tam sayılar konusu oldukça kolay ve zevkli. Anlamadığınız bir yer olursa sormaktan çekinmeyin. Bir sonraki dersimizde görüşmek üzere!