Bir marangoz, elinde bulunan dikdörtgen şeklindeki cam parçasının kalıbını aşağıdaki gibi birim kareli kâğıdın üzerindeki koordinat sistemine yerleştirmiştir.
Marangoz, bu cam parçasını bir doğru boyunca keserek iki eş parçaya ayıracaktır.

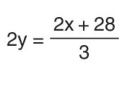
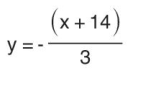
Buna göre aşağıdakilerden hangisi, marangozun seçebileceği doğrunun denklemlerinden biri olamaz?
A)
B)
C)
D)

