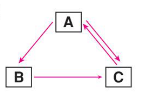
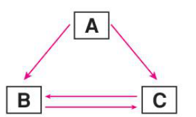
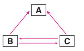
Fen bilimleri öğretmeni sınıf tahtasına;
şeklinde yazdıktan sonra öğrencilerinden Aleyna'dan “Bu canlılar arasında madde döngüsü nasıl gerçekleşir?” sorusunu yöneltmiş ve bunu tahtaya çizmesini istemiştir.

Aleyna aşağıdakilerden hangisini tahtaya çizerse öğretmenin sorusunu doğru cevaplamış olur?
A)
B)
C)
D)

