
Şekilde verilen devrede A₁ A₂ ve A₃ ampermetrelerindeki akım değerleri arasındaki ilişki aşağıdakilerden hangisinde doğru verilmiştir?
A)
B)
C)
D)

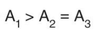
Şekilde verilen devrede A₁ A₂ ve A₃ ampermetrelerindeki akım değerleri arasındaki ilişki aşağıdakilerden hangisinde doğru verilmiştir?
A)
B)
C)
D)
Henüz yayınlanmış cevap yok. İlk cevabı sen yaz.