Tüketici canlılarla ilgili,
I. Kendi besinlerini üretemezler.
II. Besin zincirinin en üstünde yer alabilirler.
III. Etçil, otçul ve hem etçil hemde otçul olabilirler.
verilen ifadelerden hangisi ya da hangileri doğrudur?
Aşağıdaki şekilde bir besin ağı gösterilmiştir.

Besin ağındaki türler besin piramidinin hangi basamaklarında bulunur?
Aşağıda bazı canlılar verilmiştir.
I. Yeşil Algler
II. Çimenler
III. Mantarlar
IV. Siyona bakterileri
Yukarıda verilen canlılardan hangileri kendi besinini kendisi üretir?
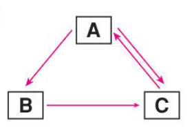
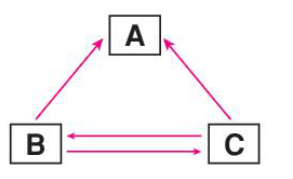
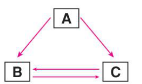
Fen bilimleri öğretmeni sınıf tahtasına;
şeklinde yazdıktan sonra öğrencilerinden Aleyna'dan “Bu canlılar arasında madde döngüsü nasıl gerçekleşir?” sorusunu yöneltmiş ve bunu tahtaya çizmesini istemiştir.

Aleyna aşağıdakilerden hangisini tahtaya çizerse öğretmenin sorusunu doğru cevaplamış olur?
Bir ekosistemdeki besin zincirinde yer alan basamaklar arasında bulunan ilişki ekoloji piramidi ile ifade edilir. Üreticiler ekoloji piramidinin ilk basamağında, 1. derece tüketiciler ikinci basamağında, 2. derece tüketciler ise üçüncü basamağında yer alabilir. Ekoloji piramidinde enerji ihtiyacını üreticilerden elde edilen canlılara otçul, otçullardan elde edilenlere etçil, üretici ve otçullardan elde edilenlere ise hem etçil hem otçul denir.
Yukarıdaki paragrafta anlatılan bir ekoloji piramidi örneği şekilde verilmiştir.

Verilen bilgilere göre bu ekoloji piramidiyle ilgili öğrencilerden hangisinin söylediği ifade yanlıştır?
Aşağıdaki şekilde bir ekosistemdeki enerji akışı verilmiştir.

Bu enerji akışına göre aşağıda verilen ifadelerden hangisi yanlıştır?
