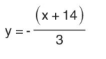
Ailesi, Hasan'ı Rusça öğrenmeye teşvik etmek için Hasan'ın odasının duvarına yandaki gibi 3 adet kelime yazmıştır. Hasan, ailesinin bu isteğini kırmayarak her gün sabit sayıda kelime öğrenip bu kelimeleri yazdığı kâğıtları duvarına yapıştırmıştır. Hasan'ın duvarında 216. günün sonunda yazılı olan kelime sayısı, 212. günde yazılı olan kelime sayısından 28 fazladır.
Buna göre Hasan'ın duvarında, geçen gün sayısına (x) bağlı olarak yazılı olan kelime sayısını (y) veren denklemin iki farklı noktasından geçen doğru ile ilgili aşağıdakilerden hangisi söylenemez?
Doğru
Yanlış
Soru 2
Astronot kıyafetlerinin zor hava koşullarına dayanıklı olması gerektiği için üretici firma tarafından bu kıyafetlere yanıklık testleri yapılmaktadır.
Bu test sırasında astronot kıyafeti yukarıda gösterilen odaya yerleştirilip bu odanın sıcaklığı O °C olana kadar her bir dakikada 2 °C düşürülmüştür.
Astronot kıyafetinin yerleştirildiği odanın sıcaklığının (y) dakika cinsinden zamana (x) göre değişimini gösteren doğru grafiğiyle ilgili olarak aşağıdaki ifadelerden hangisi doğrudur?
Doğru
Yanlış
Soru 3
Orhan aşağıda verilan özdeş kalamlerini tic uca eklaverek hir düzalın çokgen oluşturmuştur.
Ardından bir kalemin boy uzunluğuna x; oluşan çokgenin çevre uzunluğuna ise y diyerek y'nin x'e göre değişimini gösteren bir denklem yazmıştır. Orhan, son olarak bu denklemi bir çizim programına girerek doğru oluşturmuştur.
Buna göre programda oluşan doğru ile ilgili aşağıdakilerden hangisi söylenemez?
Doğru
Yanlış
Soru 4
Bir marangoz, elinde bulunan dikdörtgen şeklindeki cam parçasının kalıbını aşağıdaki gibi birim kareli kâğıdın üzerindeki koordinat sistemine yerleştirmiştir.
Marangoz, bu cam parçasını bir doğru boyunca keserek iki eş parçaya ayıracaktır.
Buna göre aşağıdakilerden hangisi, marangozun seçebileceği doğrunun denklemlerinden biri olamaz?
Doğru
Yanlış
Soru 5
Aşağıda iki farklı hayvanın kg cinsinden kütlesinin (y) aylık (x) değişimini ifade eden denklemler verilmiştir.
Bu denklemleri gösteren doğrular ile ilgili olarak aşağıda verilen ifadelerden hangisi doğrudur?
Doğru
Yanlış
Soru 6
Bir teknoloji mağazası, Tozlu ve Gönç markalarından yapılan toplu tablet satışlarında aşağıda verilen tabloya göre sabit artış ile fiyatlandırma uygulamaktadır.
Tablo: Tablet Sayısına Göre Ödenecek Tutarlar
Buna göre aşağıdaki ifadelerden hangisi yanlıştır?
Doğru
Yanlış
Soru 7
Şevval, kış mevsiminde yanda sıcaklığı gösterilen bir bardak çayı dışarıdaki masanın üstünde unutmuştur. 7,5 saat geçtikten sonra çayın sıcaklığı -10 °C olmustur.
Çayın sıcaklığı (y) ile saat cinsinden geçen zaman (x) arasında doğrusal bir ilişki olduğuna göre bu ilişkiye ait doğru grafiği aşağıdakilerden hangisidir?
Doğru
Yanlış
Soru 8
Kiralamada saatlik ücretlendirme uygulayan bir müzik odasının kiralama ücreti sabit olup 5 TL'dir. Bu müzik odasının kampanyalı bir gündeki saatlik kiralama ücreti, kampanyasız bir gündeki saatlik kiralama ücretinin 3/5 'i kadardır.
Buna göre bu müzik odasının saat cinsinden kiralama sürelerine (x) bağlı ücretlendirmesini (y) gösteren grafik aşağıdakilerden hangisi gibi olabilir?